Biology 111

Description

Quiz questions to study for the final exam.
Nicole Berozsky
Quiz by Nicole Berozsky, updated more than 1 year ago
Nicole Berozsky
Created by Nicole Berozsky over 10 years ago
63
0

Resource summary

Question 1

Question
A cell has enough available ATP to meet its needs for about 30 seconds. What is likely to happen when an athlete exhausts his or her ATP supply?
Answer
  • ATP is transported into the cell from the circulatory system.
  • Other cells take over, and the muscle cells that have used up their ATP cease to function.
  • Catabolic processes are activated that generate more ATP.
  • He or she has to sit down and rest.

Question 2

Question
A number of systems for pumping ions across membranes are powered by ATP. Such ATP-powered pumps are often called ATPases, although they do not often hydrolize ATP unless they are simultaneously transporting ions. Because small increases in calcium ions in the cytosol can trigger a number of different intracellular reactions, cells keep the cytosolic calcium concentration quite low under normal conditions, using ATP-powered calcium pumps. For example, muscle cells transport calcium from the cytosol into the membranous system called the sarcoplasmic reticulum (SR). If resting muscle cell's cytosol has a free calcium ion concentration of 10^(-7) while the concentration in the SR is 10^(-2), then how is the ATPase acting?
Answer
  • ATPase activity must be opening a channel for the calcium ions to diffuse back into the SR along the concentration gradient.
  • ATPase activity must be pumping calcium from the cytosol to the SR against the concentration gradient.
  • ATPase activity must be powering an inflow of calcium from the outside of the cell into the SR.
  • ATPase activity must be transferring Ⓟi to the SR to enable this to occur.

Question 3

Question
Cell membranes are asymmetrical. Which of the following statements is the most likely explanation for the membrane's asymmetrical nature?
Answer
  • The two sides of a cell membrane face different environments and carry out different functions.
  • Since the cell membrane forms a border between one cell and another in tightly packed tissues such as epithelium, the membrane must be asymmetrical.
  • Since cell membranes communicate signals from one organism to another, the cell membranes must be asymmetrical.
  • Proteins only function on the cytoplasmic side of the cell membrane, which results in the membrane's asymmetrical nature.

Question 4

Question
Fatty acids usually have an even number of carbons in their structures. They are catabolized by a process called beta-oxidation. The end products of the metabolic pathway are acetyl groups of acetyl CoA molecules. These acetyl groups ________.
Answer
  • directly enter the energy-yielding stages of glycolysis.
  • directly enter the electron transport chain.
  • are directly decarboxylated by pyruvate dehydrogenase.
  • directly enter the citric acid cycle.

Question 5

Question
If one strand of a DNA molecule has the sequence of bases 5'ATTGCA3', the other complementary strand would have the sequence ______.
Answer
  • 3'UAACGU5'
  • 5'UGCAAU3'
  • 5'TAACGT3'
  • 5'TGCAAT3'

Question 6

Question
In solution, why do hydrolysis reactions occur more readily than condensation reactions?
Answer
  • Hydrolysis raises G, or Gibbs free energy.
  • Hydrolysis increases entropy and is endergonic.
  • Hydrolysis increases entropy and is exergonic.
  • Hydrolysis decreases entropy and is exergonic.

Question 7

Question
Living organisms increase in complexity as they grow, resulting in a decrease in the entropy of an organism. How does this relate to the second law of thermodynamics?
Answer
  • As a consequence of growing, organisms cause a greater increase in entropy in their environment than the decrease in entropy associated with their growth.
  • Living organisms are able to transform energy into entropy.
  • Life obeys the second law of thermodynamics because the decrease in entropy as the organism grows is exactly balanced by an increase in the entropy of the universe.
  • Living organisms do not obey the second law of thermodynamics, which states that entropy must increase with time.

Question 8

Question
Proton pumps are used in various ways by members of every domain of organisms: Bacteria, Archaea, and Eukarya. What does this probably mean?
Answer
  • Proton pumps are necessary to all cell membranes.
  • Cells of each domain evolved proton pumps independently when oceans became more acidic.
  • Proton gradients across a membrane were used by cells that were the common ancestor of all three domains of life.
  • The high concentration of protons in the ancient atmosphere must have necessitated a pump mechanism.

Question 9

Question
The membranes of winter wheat are able to remain fluid when it is extremely cold by _____.
Answer
  • increasing the percentage of cholesterol molecules in the membranes
  • decreasing the number of hydrophobic proteins in the membrane
  • cotransport of glucose and hydrogen
  • increasing the percentage of unsaturated phospholipids in the membrane

Question 10

Question
The synthesis of ATP by oxidative phosphorylation, using the energy released by movement of protons across the membrane down their electrochemical gradient, is an example of ______.
Answer
  • allosteric regulation
  • active transport
  • a reaction with a positive delta G
  • an endergonic reaction coupled to an exergonic reaction

Question 11

Question
Which of the following processes includes all others?
Answer
  • passive transport
  • osmosis
  • facilitated diffusion
  • transport of an ion down its electrochemical gradient

Question 12

Question
Why is glycolysis considered to be one of the first metabolic pathways to have evolved?
Answer
  • It requires the presence of membrane-enclosed cell organelles found only in eukaryotic cells.
  • It is found in prokaryotic cells but not in eukaryotic cells.
  • It does not involve organelles or specialized structures, does not require oxygen, and is present in most organisms.
  • It produces much less ATP than does oxidative phosphorylation.

Question 13

Question
A localized group of organisms that belong to the same species is called a
Answer
  • biosystem
  • community
  • population
  • ecosystem
  • family

Question 14

Question
Organisms interact with their environments, exchanging matter and energy. For example, plant chloroplasts convert the energy of sunlight into
Answer
  • the energy of motion
  • carbon dioxide and water
  • the potential energy of chemical bonds
  • oxygen
  • kinetic energy

Question 15

Question
The main source of energy for producers in an ecosystem is
Answer
  • light energy
  • kinetic energy
  • thermal energy
  • chemical energy
  • ATP

Question 16

Question
Which of the following types of cells utilize deoxyribonucleic acid (DNA) as their genetic material but do not have their DNA encased within a nuclear envelope?
Answer
  • animal
  • plant
  • archaea
  • fungi
  • protists

Question 17

Question
To understand the chemical basis of inheritance, we must understand the molecular structure of DNA. This is an example of the application of which concept to the study of biology?
Answer
  • evolution
  • emergent properties
  • reductionism
  • the cell theory
  • feedback regulation

Question 18

Question
Once labor begins in childbirth, contractions increase in intensity and frequency until delivery. The increasing labor contractions of childbirth are an example of which type of regulation?
Answer
  • a bioinformatic system
  • positive feedback
  • negative feedback
  • feedback inhibition
  • enzymatic catalysis

Question 19

Question
When the body's blood glucose level rises, the pancreas secretes insulin and, as a result, the blood glucose level declines. When the blood glucose level is low, the pancreas secretes glucagon and, as a result, the blood glucose level rises. Such regulation of the blood glucose level is the result of
Answer
  • catalytic feedback
  • positive feedback
  • negative feedback
  • bioinformatic regulation
  • protein-protein interactions

Question 20

Question
The elongation of the leading strand during DNA replication
Answer
  • Proceeds away from the replication fork
  • Depends upon the action of DNA polymerase
  • Proceeds in the 3' to 5' direction
  • Does not require a template strand

Question 21

Question
What does the reactivity of an atom depend on?
Answer
  • Number of valence shells in the atom.
  • Number of orbitals found in the atom.
  • Number of electrons in each orbital in the atom.
  • Presence of unpaired electrons in the outer valance shell of the atom.
  • Presence of the hybridized orbitals in the atom.

Question 22

Question
A covalent chemical bond is one in which...
Answer
  • electrons are removed from one atom and transferred to another atom so that the two atoms become oppositely charged.
  • protons and neutrons are shared by two atoms so as to satisfy the requirements of both atoms.
  • outer-shell electrons of two atoms are shared so as to satisfactorily fill the outer electron shell of both atoms.
  • outer-shell electrons of an atom are transferred to the inner electron shells of another atom.
  • the inner-shell electrons of one atom are transferred to the outer-shell of another atom.

Question 23

Question
Which of the following is the best example of gene expression?
Answer
  • A frog adapts to variation in its environmental temperature.
  • Mouse fur color results from pigment formed by gene-encoded enzymes.
  • DNA is replicated during the S phase of the cell cycle.

Question 24

Question
What results from an unequal sharing of electrons between atoms?
Answer
  • A nonpolar covalent bond.
  • A polar covalent bond.
  • An ionic bond.
  • A hydrogen bond.
  • A hydrophobic interaction.

Question 25

Question
Which bonds must be broken for water to vaporize?
Answer
  • Ionic bonds
  • Nonpolar covalent bonds
  • Polar covalent bonds
  • Hydrogen bonds
  • Covalent bonds

Question 26

Question
One liter of a solution of pH has how many more hydrogen ions (H+) than 1L of a solution of pH 6?
Answer
  • 4 times more
  • 400 times more
  • 4,000 times more
  • 10,000 times more
  • 100,000 times more

Question 27

Question
Observe the structure of glucose and fructose in the figure. These two molecules are...
Answer
  • geometric isomers
  • enantiomers
  • structural isomers
  • nonisotopic isomers

Question 28

Question
Polymers of polysaccharides, fats and proteins are all synthesized from monomers by which process?
Answer
  • Connecting monosaccharides together (condensation reactions)
  • The addition of water to each monomer (hydrolysis)
  • The removal of water (dehydration reactions)
  • Ionic bonding of the monomers
  • The formation of disulfide between monomers

Question 29

Question
The 20 different amino acids found in polypeptides exhibit different chemical and physical properties because of different
Answer
  • Carboxyl groups attached to an alpha (α) carbon
  • Amino groups attached to an alpha (α) carbon
  • Side chains (R groups)
  • Alpha (α) carbons
  • Asymmetric carbons

Question 30

Question
The tertiary structure of a protein is the...
Answer
  • bonding together of several polypeptide chains by weak bonds.
  • order in which amino acids are joined in a polypeptide chain.
  • unique three-dimensional shape of the fully folded polypeptide.
  • organization of a polypeptide chain into a a-helix or B-pleated sheet.

Question 31

Question
Which of the following best describes the flow of information in eukaryotic cells?
Answer
  • DNA → RNA → Proteins
  • RNA → Proteins → DNA
  • Proteins → DNA → RNA
  • RNA → DNA → Proteins
  • DNA → Proteins → RNA

Question 32

Question
Which of the following are nitrogenous bases found in DNA?
Answer
  • thymine
  • adenine
  • uracil
  • guanine
  • cytosine

Question 33

Question
Which of the following types of molecules are the major structural components of the cell's membrane?
Answer
  • Phospholipids
  • Cellulose
  • Nucleic Acids
  • Proteins
  • Cholesterol
  • Glycoproteins

Question 34

Question
The movement of a substance across a biological membrane against its concentration gradient with the help of energy input is...
Answer
  • Diffusion
  • Active transport
  • Osmosis
  • Facilitated diffusion
  • Exocytosis

Question 35

Question
The sodium-potassium is called an electrogenic pump because it...
Answer
  • Pumps equal quantities of Na+ and K+ across the membrane.
  • Pumps hydrogen ions out of cells.
  • Contributes to the membrane potential.
  • Ionizes sodium and potassium atoms.
  • Is used to drive the transport of other molecules against a concentration gradient.

Question 36

Question
Which term most precisely describes the cellular process of breaking down large molecules into smaller ones?
Answer
  • Catalysis
  • Metabolism
  • Anabolism
  • Dehydration
  • Catabolism

Question 37

Question
Which of the following statements regarding ATP is (are) correct?
Answer
  • ATP serves as a main energy shuttle inside cells.
  • ATP drives endergonic reactions in the cell by the enzymatic transfer of the phosphate group to specific reactants.
  • The regeneration of ATP from ADP and phosphate is an endergonic reaction.

Question 38

Question
In addition to ATP, what are the end products of glycolysis?
Answer
  • CO2 and H2O
  • CO2 and pyruvate
  • NADH and pyruvate
  • CO2 and NADH
  • H2O, FADH2, and citrate

Question 39

Question
The primary role of oxygen in cellular respiration is to...
Answer
  • Yield energy in the form of ATP as it is passed down the respiratory chain.
  • Act as an acceptor for the electrons and hydrogen.
  • Combine with carbon, forming CO2.
  • Combine with lactate, forming pyruvate.
  • Catalyze the reactions of glycolysis.

Question 40

Question
From the perspective of the cell receiving the message, the three stages of cell signaling are...
Answer
  • The paracrine, local, and synaptic stages
  • Signal reception, signal transduction, and cellular response
  • Signal reception, nucleus disintegration, and new cell generation
  • The alpha, beta, and gamma stages
  • Signal reception, cellular response, and cell division

Question 41

Question
Which of the following is/are true of ligand-gated ion channels?
Answer
  • They are important in the nervous system.
  • They lead to changes in sodium and calcium concentration in cells.
  • They open or close in response to a chemical signal.

Question 42

Question
Which of the following is true of the process of meiosis?
Answer
  • Two diploid cells result
  • Four diploid cells result
  • Four haploid cells result
  • Four autosomes result
  • Four chiasmata result

Question 43

Question
What was the most significant conclusion that Gregor Mendel drew from his experiments with pea plants?
Answer
  • There is considerable genetic variation in garden peas.
  • Traits are inherited in discrete units, and are not the results of "blending".
  • Recessive genes occur more frequently in the F1 than do dominant ones.
  • Genes are composed of DNA.
  • An organism that is homozygous for many recessive traits is at a disadvantage.

Question 44

Question
The leading and the lagging strands differ in that
Answer
  • The leading strand is synthesized in the same direction as the movement of the replication fork, and the lagging strand is synthesized in the opposite direction
  • The leading strand is synthesized by adding nucleotides to the 3' end of the growing strand, and the lagging strand is synthesized by adding nucleotides to the 5' end.
  • The leading strand is synthesized continuously, whereas the lagging strand is synthesized in short fragments that are ultimately stitched together.

Question 45

Question
RNA polymerase and DNA polymerase differ in that
Answer
  • RNA polymerase uses RNA as a template and DNA polymerase uses a DNA template
  • RNA polymerase binds to single-stranded DNA and DNA polymerase binds to double-stranded DNA
  • RNA polymerase is much more accurate than DNA polymerase
  • RNA polymerase can initiate RNA synthesis but DNA polymerase requires a primer to initiate DNA synthesis.
  • RNA polymerase does not need to separate the two strands of DNA in order to synthesize an RNA copy, whereas DNA polymerase must unwind the double helix before it can replicate the DNA.

Question 46

Question
A frameshift mutation could result from...
Answer
  • a base insertion only
  • a base deletion only
  • a base substitution only
  • deletion of three consecutive bases
  • either an insertion or a deletion of a base

Question 47

Question
Thylakoids are present in chloroplasts.
Answer
  • True
  • False

Question 48

Question
The presence of cholesterol in the plasma membranes of some animals
Answer
  • enables the membrane to stay fluid more easily when cell temperature drops.
  • enables the animal to remove hydrogen atoms from saturated phospholipids.
  • enables the animal to add hydrogen atoms to unsaturated phospholipids.
  • makes the membrane less flexible, allowing it to sustain greater pressure from within the cell.
  • makes the animal more susceptible to circulatory disorders.

Question 49

Question
According to the fluid mosaic model of cell membranes, which of the following is a true statement about membrane phospholipids?
Answer
  • They can move laterally along the plane of the membrane.
  • They frequently flip-flop from one side of the membrane to the other.
  • They occur in an uninterrupted bilayer, with membrane proteins restricted to the surface of the membrane.
  • They are free to depart from the membrane and dissolve in the surrounding solution.
  • They have hydrophilic tails in the interior of the membrane.

Question 50

Question
What kinds of molecules pass through a cell membrane most easily?
Answer
  • large and hydrophobic
  • small and hydrophobic
  • large polar
  • ionic
  • monosaccharides such as glucose

Question 51

Question
Which of the following would likely move through the lipid bilayer of a plasma membrane most rapidly?
Answer
  • CO2
  • an amino acid
  • glucose
  • K+
  • starch

Question 52

Question
Molecules with which functional groups may form polymers via dehydration reactions?
Answer
  • hydroxyl groups
  • carbonyl groups
  • carboxyl groups

Question 53

Question
Which of these molecules is not formed by dehydration reactions?
Answer
  • Fatty acids
  • Disaccharides
  • DNA
  • Protein
  • Amylose

Question 54

Question
Which of these classes of biological molecules consist of both small molecules and macromolecular polymers?
Answer
  • lipids
  • carbohydrates
  • proteins
  • nucleic acids

Question 55

Question
Which of the following is not a polymer?
Answer
  • glucose
  • starch
  • cellulose
  • chitin
  • DNA

Question 56

Question
How many molecules of water are needed to completely hydrolyze a polymer that is 11 monomers long?
Answer
  • 12
  • 11
  • 10
  • 9
  • 8

Question 57

Question
Which of the following are polysaccharides?
Answer
  • lactose
  • glycogen
  • chitin
  • cellulose
  • amylopectin

Question 58

Question
The bonding of two amino acid molecules to form a larger molecule requires which of the following?
Answer
  • Removal of a water molecule
  • Addition of a water molecule
  • Formation of a glycosidic bond
  • Formation of a hydrogen bond
  • Both removal of a water molecule and formation of a hydrogen bond

Question 59

Question
Upon chemical analysis, a particular polypeptide was found to contain 100 amino acids. How many peptide bonds are present in this protein?
Answer
  • 101
  • 100
  • 99
  • 98
  • 97

Question 60

Question
What methods may be used to elucidate the structures of purified proteins?
Answer
  • X-ray crystallography
  • bioinformatics
  • analysis of amino acid sequence of small fragments
  • NMR spectroscopy

Question 61

Question
One of the primary functions of RNA molecules is to
Answer
  • transmit genetic information to offspring.
  • function in the synthesis of proteins.
  • make a copy of itself, thus ensuring genetic continuity.
  • act as a pattern or blueprint to form DNA.
  • form the genes of higher organisms.

Question 62

Question
The element present in all organic molecules is
Answer
  • Hydrogen
  • Oxygen
  • Carbon
  • Nitrogen
  • Phosphorus

Question 63

Question
Differences among organisms are caused by...
Answer
  • large differences in elemental composition from organism to organism.
  • differences in the types and relative amounts of organic molecules synthesized by each organism.
  • differences in the elements that bond with carbon in each organism.
  • differences in the sizes of the organic molecules in each organism.
  • differences in inorganic compounds present in each organism.

Question 64

Question
A carbon atom is most likely to form what kind of bond(s) with other atoms?
Answer
  • ionic
  • hydrogen
  • covalent
  • covalent bonds and hydrogen bonds
  • ionic bonds, covalent bonds, and hydrogen bonds

Question 65

Question
Why are hydrocarbons insoluble in water?
Answer
  • The majority of their bonds are polar covalent carbon-to-hydrogen linkages.
  • The majority of their bonds are nonpolar covalent carbon-to-hydrogen linkages.
  • They are hydrophilic.
  • They exhibit considerable molecular complexity and diversity.
  • They are lighter than water.

Question 66

Question
How many structural isomers are possible for a substance having the molecular formula C₄H₁₀?
Answer
  • 1
  • 2
  • 4
  • 3
  • 11

Question 67

Question
Which of the following statements correctly describes cis-trans isomers?
Answer
  • They have variations in arrangement around a double bond.
  • They have an asymmetric carbon that makes them mirror images.
  • They have the same chemical properties.
  • They have different molecular formulas.
  • Their atoms and bonds are arranged in different sequences.

Question 68

Question
Research indicates that ibuprofen, a drug used to relieve inflammation and pain, is a mixture of two enantiomers; that is, molecules that
Answer
  • have identical chemical formulas but differ in the branching of their carbon skeletons.
  • are mirror images of one another.
  • exist in either linear chain or ring forms.
  • differ in the location of their double bonds.

Question 69

Question
A compound contains hydroxyl groups as its predominant functional group. Which of the following statements is true concerning this compound?
Answer
  • It lacks an asymmetric carbon, and it is probably a fat or lipid.
  • It should dissolve in water.
  • It should dissolve in a nonpolar solvent.
  • It won't form hydrogen bonds with water.
  • It is hydrophobic.

Question 70

Question
Which two functional groups are always found in amino acids?
Answer
  • ketone
  • methyl
  • amino
  • carbonyl
  • carboxyl
  • hydroxyl
  • sulfhydryl

Question 71

Question
Why are human sex hormones considered to be lipids?
Answer
  • They are essential components of cell membranes.
  • They are not soluble in water.
  • They are made of fatty acids.
  • They are hydrophilic compounds.
  • They contribute to atherosclerosis.

Question 72

Question
All of the following contain amino acids except...
Answer
  • hemoglobin
  • cholesterol
  • abtibodies
  • enzymes
  • insulin

Question 73

Question
Which of the following descriptions best fits the class of molecules known as nucleotides?
Answer
  • A nitrogenous base and a phosphate group.
  • A nitrogenous base and a pentose sugar.
  • A nitrogenous base, a phosphate group, and a pentose sugar.
  • A phosphate group and an adenine or uracil.
  • A pentose sugar and a purine or pyrimidine.

Question 74

Question
A primary objective of cell fractionation is to...
Answer
  • view the structure of cell membranes.
  • sort cells based on their size and weight.
  • determine the size of various organelles.
  • separate the major organelles so that their particular functions can be determined.
  • separate lipid-soluble from water-soluble molecules.

Question 75

Question
All of the following are part of a prokaryotic cell except...
Answer
  • DNA
  • a cell wall
  • a plasma membrane
  • ribosomes
  • an endoplasmic reticulum

Question 76

Question
Which of the following is a major cause of the size limits for certain types of cells?
Answer
  • Limitation on the strength and integrity of the plasma membrane as cell size increases.
  • The difference in plasma membranes between prokaryotes and eukaryotes.
  • Evolutionary progression in cell size; more primitive cells have smaller sizes.
  • The need for a surface area of sufficient area to support the cell's metabolic needs.
  • Rigid cell walls that limit cell size expansion.

Question 77

Question
Which organelle or structure is absent in plant cells?
Answer
  • mitochondria
  • golgi vesicles
  • microtubules
  • centrosomes
  • peroxisomes

Question 78

Question
Large numbers of ribosomes are present in cells that specialize in producing which of the following molecules?
Answer
  • lipids
  • glycogen
  • proteins
  • cellulose
  • nucleic acids

Question 79

Question
Tay-Sachs disease is a human genetic abnormality that results in cells accumulating and becoming clogged with very large and complex lipids. Which cellular organelle must be involved in this condition?
Answer
  • the endoplasmic reticulum
  • the Golgi apparatus
  • the lysosome
  • mitochondria
  • membrane-bound ribosomes

Question 80

Question
Which organelle is the primary site of ATP synthesis in eukaryotic cells?
Answer
  • lysosome
  • vacuole
  • mitochondrion
  • Golgi apparatus
  • peroxisome

Question 81

Question
Which of the following is true for anabolic pathways?
Answer
  • They do not depend on enzymes.
  • They are usually highly spontaneous chemical reactions.
  • They consume energy to build up polymers from monomers.
  • They release energy as they degrade polymers to monomers.

Question 82

Question
Which of the following is the smallest closed system?
Answer
  • a cell
  • an organism
  • an ecosystem
  • Earth
  • the universe

Question 83

Question
Which of the following is true of metabolism in its entirety in all organisms?
Answer
  • Metabolism depends on a constant supply of energy from food.
  • Metabolism depends on an organisms adequate hydration.
  • Metabolism uses all of an organism's resources.
  • Metabolism consists of all the energy transformation reactions in an organism.

Question 84

Question
A chemical reaction that has a positive ΔG is correctly described as...
Answer
  • endergonic
  • endothermic
  • exergonic
  • spontaneous

Question 85

Question
Why is ATP an important molecule in metabolism?
Answer
  • Its hydrolysis provides an input of free energy for exergonic reactions.
  • It provides energy coupling between exergonic and endergonic reactions.
  • Its terminal phosphate group contains a strong covalent bond that, when hydrolyzed, releases free energy.
  • Its terminal phosphate bond has higher energy than the other two.
  • It is one of the four building blocks for DNA synthesis.

Question 86

Question
Which of the following statements is true concerning catabolic pathways?
Answer
  • They combine molecules into more energy-rich molecules.
  • They supply energy, primarily in the form of ATP, for the cell's work.
  • They are endergonic.
  • They are spontaneous and do not need enzyme catalysis.

Question 87

Question
When chemical, transport, or mechanical work is done by an organism, what happens to the heat generated?
Answer
  • It is used to power yet more cellular work.
  • It is used to store energy as more ATP.
  • It is used to generate ADP from nucleotide precursors.
  • It is lost to the environment.

Question 88

Question
The active site of an enzyme is the region that
Answer
  • binds allosteric regulators of the enzyme.
  • is involved in the catalytic reaction of the enzyme.
  • binds noncompetitive inhibitors of the enzyme.
  • is inhibited by the presence of a coenzyme or a cofactor.

Question 89

Question
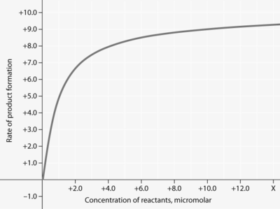
For the enzyme-catalyzed reaction shown in the figure, which of these treatments will cause the greatest increase in the rate of the reaction, if the initial reactant concentration is 1.0 micromolar?
Answer
  • doubling the activation energy needed
  • cooling the reaction by 10°C
  • doubling the concentration of the reactants to 2.0 micromolar
  • doubling the enzyme concentration
  • increasing the concentration of reactants to 10.0 micromolar, while reducing the concentration of enzyme by 1/2

Question 90

Question
This question is based on the reaction A + B ↔ C + D shown in the figure. Which of the following terms best describes the forward reaction in the figure?
Answer
  • endergonic, ∆G > 0
  • exergonic, ∆G < 0
  • endergonic, ∆G < 0
  • exergonic, ∆G > 0
  • chemical equilibrium, ∆G = 0

Question 91

Question
The oxygen consumed during cellular respiration is involved directly in which process or event?
Answer
  • glycolysis
  • accepting electrons at the end of the electron transport chain
  • the citric acid cycle
  • the oxidation of pyruvate to acetyl CoA
  • the phosphorylation of ADP to form ATP

Question 92

Question
Where are the proteins of the electron transport chain located?
Answer
  • cytosol
  • mitochondrial outer membrane
  • mitochondrial inner membrane
  • mitochondrial intermembrane space
  • mitochondrial matrix

Question 93

Question
In any ecosystem, terrestrial or aquatic, what group(s) is (are) always necessary?
Answer
  • autotrophs and heterotrophs
  • producers and primary consumers
  • photosynthesizers
  • autotrophs
  • green plants

Question 94

Question
In photosynthetic cells, synthesis of ATP by the chemiosmotic mechanism occurs during...
Answer
  • photosynthesis only
  • respiration only
  • both photosynthesis and respiration
  • neither photosynthesis nor respiration
Show full summary Hide full summary

Similar

Biology AQA 3.1.3 Cells
evie.daines
Biology AQA 3.2.5 Mitosis
evie.daines
Biology AQA 3.1.3 Osmosis and Diffusion
evie.daines
Biology- Genes, Chromosomes and DNA
Laura Perry
Biology- Genes and Variation
Laura Perry
Enzymes and Respiration
I Turner
GCSE AQA Biology - Unit 2
James Jolliffe
GCSE AQA Biology 1 Quiz
Lilac Potato
Using GoConqr to study science
Sarah Egan
Cells and the Immune System
Eleanor H
GCSE Biology AQA
isabellabeaumont