null
US
Sign In
Sign Up for Free
Sign Up
We have detected that Javascript is not enabled in your browser. The dynamic nature of our site means that Javascript must be enabled to function properly. Please read our
terms and conditions
for more information.
Next up
Copy and Edit
You need to log in to complete this action!
Register for Free
3782451
Evaluating Expressions Practice
Description
Evaluating expressions
No tags specified
expressions
simplify
unit 2
Quiz by
Bailey Hildebran
, updated more than 1 year ago
More
Less
Created by
Bailey Hildebran
about 10 years ago
102
0
0
Resource summary
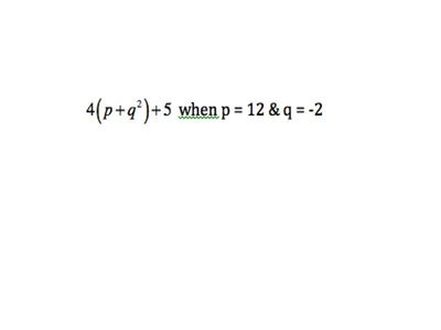
Question 1
Question
Evaluate the expression 
Image:
81395608-5d57-4709-99b1-cb93d9e96bf8 (image/jpeg)
Answer
37
69
57
49
Question 2
Question
Evaluate the expression
Image:
879735b5-2353-42d7-a1e9-e7deb791185e (image/jpeg)
Answer
155
-61
-489
-169
Question 3
Question
Evaluate the expression
Image:
1787bdd4-a148-4cdf-9b1f-6fea90010cdc (image/jpeg)
Answer
-5
2
-7
0
Show full summary
Hide full summary
Want to create your own
Quizzes
for
free
with GoConqr?
Learn more
.
Similar
Exponents Practice
Bailey Hildebran
GCSE AQA Biology - Unit 2
James Jolliffe
Chemistry 2
Peter Hoskins
Physics 2
Peter Hoskins
Function and Structure of DNA
Elena Cade
P2 Radioactivity and Stars
dfreeman
Psychology subject map
Jake Pickup
AQA AS Biology Unit 2 DNA and Meiosis
elliedee
Plant and animal cells
Tyra Peters
Roles of Education
Isobel Wagner
Break-even Analysis - FLASH CARDS
Harshad Karia
Browse Library