P5 Quiz

Description

GCSE Physics (P5 - Electric Circuits) Quiz on P5 Quiz, created by Leah Firmstone on 27/11/2015.
Leah Firmstone
Quiz by Leah Firmstone, updated more than 1 year ago
Leah Firmstone
Created by Leah Firmstone almost 10 years ago
32
2

Resource summary

Question 1

Question
Electric current is the flow of electric charge.
Answer
  • True
  • False

Question 2

Question
When two objects are rubbed together and become charged, what moves between them?
Answer
  • Protons
  • Neutrons
  • Electrons

Question 3

Question
When two plastic rods are rubbed and brought together, they attract each other. This is because:
Answer
  • One is positively charged and the other is negatively charged
  • They are both positively charged
  • They are both negatively charged

Question 4

Question
Jackie rubs a balloon against Sam's hair. The hair sticks to the balloon. When Jackie removes the balloon, Sams hair stands on end for a few minutes, then slowly falls back down again. Explain what happens to each object. The balloon and the hair are [blank_start]insulators[blank_end]. When the balloon is [blank_start]rubbed[blank_end] against the hair, [blank_start]electrons[blank_end] are transferred from the balloon to the hair, meaning the balloon is [blank_start]positively[blank_end] charged and the hair is [blank_start]negatively[blank_end] charged. The hair sticks to the balloon as the objects are [blank_start]oppositely[blank_end] charged and opposite charges [blank_start]attract[blank_end]. As the strands of hair have the [blank_start]same[blank_end] charge they [blank_start]repel[blank_end], causing them to stand on end. The hair slowly begins to fall back down again as the strands of hair begin to be [blank_start]discharged[blank_end].
Answer
  • insulators
  • rubbed
  • electrons
  • positively
  • negatively
  • oppositely
  • attract
  • repel
  • discharged
  • same

Question 5

Question
Metals are good electrical conductors because they have free atoms. This means there are lots of charges free to move. Insulators have no charges free to move, which is why they do not conduct electricity.
Answer
  • True
  • False

Question 6

Question
In an electrical [blank_start]circuit[blank_end], all the components have charges that are [blank_start]free[blank_end] to move. When a circuit is made, the cell ([blank_start]battery[blank_end]) causes these free charges to move. They move in a [blank_start]continuous[blank_end] loop around the circuit, transferring electrical energy into light and [blank_start]heat[blank_end] at the bulb. The electrons carry a [blank_start]negative[blank_end] charge, so will flow from the negative [blank_start]terminal[blank_end] of the cell towards the [blank_start]positive[blank_end] terminal. The strength of an electric current is measured in [blank_start]amperes[blank_end], usually shortened to amps. Amps are a measure of how much electric charge is flowing round the circuit per [blank_start]second[blank_end].
Answer
  • circuit
  • free
  • battery
  • continuous
  • heat
  • negative
  • terminal
  • positive
  • second
  • amperes

Question 7

Question
What is the unit for measuring electric current?
Answer
  • Ampere (A)
  • Joule (J)
  • Volt (V)

Question 8

Question
Does an ammeter need to be connected in series or parallel to the component?
Answer
  • Series
  • Parallel

Question 9

Question
What does this circuit symbol show?
Answer
  • An Ammeter
  • A Voltmeter
  • A Variable Resistor

Question 10

Question
The size of a [blank_start]current[blank_end] in a circuit depends on the [blank_start]voltage[blank_end] of the battery and the resistance of the [blank_start]components[blank_end] in the circuit. Voltage can be thought of as the '[blank_start]push[blank_end]' it exerts on charges in the circuit. A [blank_start]bigger[blank_end] voltage means a bigger 'push', resulting in a [blank_start]larger[blank_end] current. The scientific term for voltage is potential [blank_start]difference[blank_end]. It refers to the difference in [blank_start]energy[blank_end] per unit charge. An electric current flows when charged [blank_start]particles[blank_end] called electrons move through a [blank_start]conductor[blank_end]. The moving electrons can collide with the [blank_start]atoms[blank_end] of the conductor. This is called resistance and it makes it [blank_start]harder[blank_end] for current to flow. These collisions make the conductor [blank_start]hot[blank_end]. It is this that makes a lamp filament hot enough to [blank_start]glow[blank_end].
Answer
  • current
  • voltage
  • components
  • push
  • bigger
  • larger
  • difference
  • energy
  • particles
  • conductor
  • atoms
  • harder
  • hot
  • glow

Question 11

Question
Resistance is measured in ohms, Ω. The greater the number of ohms, the greater the resistance. The current flowing through a resistor at a constant temperature is directly proportional to the voltage across the resistor.
Answer
  • True
  • False

Question 12

Question
A 6 V battery is joined to a lamp. The current is 2 A. What is the resistance of the lamp?
Answer
  • 12 ohms
  • 6 ohms
  • 3 ohms

Question 13

Question
When [blank_start]components[blank_end] are connected in [blank_start]series[blank_end], their total resistance is the sum of their individual resistances. For example, if a 2 Ω resistor, a 1 Ω resistor and a 3 Ω resistor are connected side by side, their total resistance is 2 + 1 + 3 = [blank_start]6[blank_end] Ω. If you [blank_start]increase[blank_end] the number of lamps in a series circuit, the total [blank_start]resistance[blank_end] will increase and less current will flow. The resistance in a circuit can also be altered using [blank_start]variable[blank_end] resistors. For example, these components may be used in dimmer switches, or to control the volume of a CD player.
Answer
  • components
  • series
  • 6
  • increase
  • resistance
  • variable

Question 14

Question
At low temperatures, the resistance of a thermistor is high and little current can flow through them At high temperatures, the resistance of a thermistor is low and more current can flow through them
Answer
  • True
  • False

Question 15

Question
In the dark and at low light levels, the resistance of an LDR is low and more current can flow through it In bright light, the resistance of an LDR is high and little current can flow through it
Answer
  • True
  • False

Question 16

Question
If there is a change in the resistance of one component then this will result in a change in the potential differences across all of the other components in the circuit.
Answer
  • True
  • False

Question 17

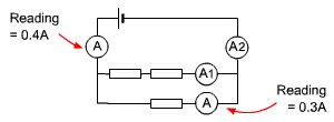
Question
What is the reading on the ammeter labelled A1 in this circuit?
Answer
  • 0.4 A
  • 0.3 A
  • 0.1 A

Question 18

Question
A [blank_start]voltage[blank_end] is produced when a magnet is moving into a coil of wire. This process is called electromagnetic [blank_start]induction[blank_end]. The direction of the induced voltage is [blank_start]reversed[blank_end] when the magnet is moved out of the coil again. It can also be reversed if the other pole of the magnet is moved into the [blank_start]coil[blank_end]. If the coil is part of a [blank_start]complete[blank_end] circuit then a current will be induced in the circuit. It is not practical to [blank_start]generate[blank_end] large amounts of electricity by passing a magnet in and out of a coil of wire. Instead, generators induce a current by [blank_start]spinning[blank_end] a coil of wire inside a magnetic field, or by spinning a [blank_start]magnet[blank_end] inside a coil of wire. As this happens, a [blank_start]potential[blank_end] difference is produced between the ends of the coil, which causes a [blank_start]current[blank_end] to flow. When a wire is moved in the magnetic field of a [blank_start]generator[blank_end], the movement, magnetic field and current are all at right angles to each other. If the wire is moved in the [blank_start]opposite[blank_end] direction, the induced current also moves in the opposite direction. Remember that one side of a coil in a generator moves [blank_start]up[blank_end] during one half turn, and then down during the next half turn. This means that as a coil is rotated in a magnetic field, the induced current [blank_start]reverses[blank_end] direction every [blank_start]half turn[blank_end]. This is called [blank_start]alternating[blank_end] current (AC).
Answer
  • voltage
  • induction
  • reversed
  • coil
  • complete
  • generate
  • spinning
  • magnet
  • potential
  • current
  • generator
  • opposite
  • up
  • reverses
  • half turn
  • alternating

Question 19

Question
Which of the following will increase the voltage induced across a circuit?
Answer
  • Using a magnet with a stronger magnetic field
  • Having an iron core inside the coil
  • Having more turns of wire in the coil
  • Rotating the coil or magnet faster
  • Rotating the coil/magnet in the opposite direction
  • Using a bigger magnet

Question 20

Question
What is the voltage of mains electricity in the UK?
Answer
  • 230V
  • 240V
  • 12V
  • 120V

Question 21

Question
Transformers do not work with DC supplies.
Answer
  • True
  • False

Question 22

Question
Why do power stations use generators that produce [blank_start]AC[blank_end] current? As it is [blank_start]necessary[blank_end] to use transformers to increase the voltage of electricity before it is transported using the [blank_start]national[blank_end] grid. The [blank_start]voltage[blank_end] in power lines is kept very high an the current very [blank_start]low[blank_end] to reduce the amount of [blank_start]wasted[blank_end] energy. If a high current was passing through the [blank_start]tine[blank_end] cables (which have high [blank_start]resistance[blank_end]) lots of energy would be transferred to [blank_start]thermal[blank_end] energy as there would be lots of collisions. By keeping the current low, we [blank_start]minimise[blank_end] heat loss and wasted energy.
Answer
  • necessary
  • national
  • low
  • wasted
  • thin
  • resistance
  • thermal
  • minimise
  • voltage
  • AC

Question 23

Question
The ratio between the voltages in the coils is the same as the ratio of the number of turns in the coils. Primary voltage / secondary voltage = turns on primary / turns on secondary
Answer
  • True
  • False
Show full summary Hide full summary

Similar

AQA Physics P1 Quiz
Bella Statham
GCSE AQA Physics - Unit 3
James Jolliffe
Using GoConqr to study science
Sarah Egan
GCSE AQA Physics 1 Energy & Efficiency
Lilac Potato
Waves
kate.siena
Forces and their effects
kate.siena
Junior Cert Physics formulas
Sarah Egan
Forces and motion
Catarina Borges
OCR Physics P4 Revision
Dan Allibone
P2 Radioactivity and Stars
dfreeman
Physics 1A - Energy
Zaki Rizvi