Protein section 5

Description

1st year Biochemistry and molecular biology Quiz on Protein section 5, created by MrSujg on 27/11/2015.
MrSujg
Quiz by MrSujg, updated more than 1 year ago
MrSujg
Created by MrSujg about 10 years ago
319
6

Resource summary

Question 1

Question
The study of the rates of enzyme catalysed reactions is called..
Answer
  • enzyme kinetics
  • enzyme thermodynamics
  • enzyme Vmax
  • enzymatics

Question 2

Question
The simplest way to investigate reaction rate is to monitor [blank_start]increase[blank_end] in reaction product against time. This can be done at a variety of [blank_start]substrate[blank_end] concentrations and the initial velocity of the reaction determined. Eventually the reaction will reach a plateau when the reaction equilibrium has been attained. In reality enzyme kinetics is more readily understood if we only consider the [blank_start]forward[blank_end] reaction and we define V0 as the number of [blank_start]moles[blank_end] of product formed per second when the reaction is just beginning at t ~0
Answer
  • increase
  • decrease
  • substrate
  • enzyme
  • forward
  • backwards
  • moles
  • grams
  • litres

Question 3

Question
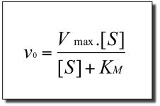
add labels to the enzyme kinetics equation
Answer
  • enzyme
  • substrate
  • enzyme.substrate complex
  • Product
  • rate constants

Question 4

Question
What are the preconditions of the enzyme kinetics equation
Answer
  • Initial velocities (v0), ie [P] = 0
  • [S]>>[E]
  • pKa=pH
  • Constant enzyme concentration

Question 5

Question
when is this equation useful?
Answer
  • when looking at enzyme kinetics
  • when calculating Kd
  • when substrate concentration is smallet than the enzyme concentration
  • When calculating the colume of the substrate added

Question 6

Question
Label the Michaelis-Menten Relationship
Answer
  • Rectangular hyperbola
  • KM the Michaelis constant
  • [S]
  • V0

Question 7

Question
The Michaelis constant is a measure of the affinity of the enzyme for its substrate and is expressed as..
Answer
  • Km
  • Kd
  • Kcat
  • Kw
  • Kc
  • Vmax

Question 8

Question
Kcat is...
Answer
  • The catalytic constant
  • The Michaelis constant
  • The catabolic constant
  • The compressed anabolic temperature constant

Question 9

Question
A low KM means a low affinity of enzyme for substrate
Answer
  • True
  • False

Question 10

Question
How can you find Kcat?
Answer
  • kcat = Vmax/[Eo]
  • kcat=Vmax*[Eo]
  • kcat=Vo/[Eo]
  • kcat=Vo*[Eo]
  • kcat=(Vmax*[S]) / ([S]+Km)

Question 11

Question
kcat is the number of substrate molecules transformed per molecule of enzyme per second (units are s-1) or i.e...
Answer
  • turnover number
  • equilibrium number
  • catalytic number
  • transformation number
  • critical number

Question 12

Question
Label each column
Answer
  • Enzymes
  • Km (mol.L-1)
  • kcat (s-1)

Question 13

Question
Enzymes are capable of working on a number of substrates, some better than others. The efficiency of these enzymes depends both on kcat and on KM.
Answer
  • True
  • False

Question 14

Question
The specificity constant is defined as..
Answer
  • kcat/KM
  • kcat
  • KM
  • Vmax
  • Vo
  • Kd/kcat

Question 15

Question
The [blank_start]higher[blank_end] the kcat and [blank_start]the lower[blank_end] the KM the bigger the specificity constant. The best substrate for an enzyme will have the [blank_start]highest[blank_end] specificity constant. This constant also describe the [blank_start]catalytic[blank_end] efficiency of enzymes.
Answer
  • higher
  • lower
  • the lower
  • the higher
  • highest
  • lowest
  • catalytic
  • catabolic

Question 16

Question
What is the name of this equation?
Answer
  • Lineweaver-Burk plot
  • The Michaelis-Menten Relationship
  • Enzyme kinetics

Question 17

Question
Label the Lineweaver plot
Answer
  • 1/Vo
  • 1/[S]
  • 1/Vmax
  • -1/Km

Question 18

Question
Inhibitors can also be very useful substances used as pharmaceuticals. Examples would be [blank_start]penicillin[blank_end] which inhibits the enzyme responsible for cell wall biosynthesis in certain bacteria [blank_start]and aspirin (methyl salicylate)[blank_end] which binds to and inhibits cyclooxygenase enzymes.
Answer
  • penicillin
  • aspirin (methyl salicylate)
  • and aspirin (methyl salicylate)
  • and penicillin

Question 19

Question
There are two types of inhibition, REVERSIBLE and IRREVERSIBLE. Reversible inhibition is said to be [blank_start]COMPETITIVE[blank_end] whereas irreversible inhibition [blank_start]can be NON-COMPETITIVE or UNCOMPETITIVE.[blank_end]
Answer
  • COMPETITIVE
  • NON-COMPETITIVE OR UNCOMPETITIVE
  • can be NON-COMPETITIVE OR UNCOMPETITIVE.
  • can be COMPETITIVE

Question 20

Question
This inhibition is...
Answer
  • Reversible Competitive
  • Reversible Non-competitive
  • Irreversible Uncompetitive
  • Irreversible Non-competitive
  • Irreversible Competitive

Question 21

Question
In competitive inhibition KM is [blank_start]increased[blank_end] but Vmax remains unaltered. An example of competitive inhibition is inhibition of succinate dehydrogenase by malonate. Malonate competes with succinate for [blank_start]binding[blank_end] at the active site but cannot be converted to fumerate. [blank_start]Increasing[blank_end] the concentration of succinate competes out the inhibitor.
Answer
  • increased
  • decreased
  • binding
  • inhibition
  • Increasing
  • Decreasing

Question 22

Question
This inhibition is...
Answer
  • Reversible competitive
  • Irreversible competitive
  • Irreversible uncompetitive
  • Reversible uncompetitive
  • Reversible non-competitive
  • Irreversible non-competitive

Question 23

Question
In uncompetitive inhibition KM is [blank_start]unaltered or appears reduced[blank_end] and Vmax is [blank_start]dramatically reduced[blank_end] There is no requirement for the inhibitor to resemble the structure of the [blank_start]substrate[blank_end]. The inhibitor does not bind to free enzyme only to [blank_start]ES complexed[blank_end] enzyme. It is believed that these type of inhibitors distort the active site region [blank_start]preventing[blank_end] further substrate turnover.
Answer
  • unaltered or appears reduced
  • increased
  • dramatically reduced
  • increased
  • substrate
  • enzyme
  • ES complexed
  • S
  • preventing
  • inducing

Question 24

Question
This inhibition is..
Answer
  • Reversible Non-competitive
  • Reversible competitive
  • Irreversible Non-competitve
  • Irreversible competitive
  • Reversible uncompetitive
  • Irreversible uncompetitive

Question 25

Question
A non-competitive inhibitor binds to both the free E and the ES complex and the effect of this is to [blank_start]lower[blank_end] the effective number of enzyme molecules. The rsult is [blank_start]a decrease[blank_end] in Vmax as a result of changes in [blank_start]kcat[blank_end]. Vmax is [blank_start]reduced[blank_end] and KM is not normally effected
Answer
  • lower
  • increase
  • a decrease
  • an increase
  • kcat
  • Km
  • Vo
  • Kd
  • reduced
  • increased

Question 26

Question
What are the EXAMPLES OF IRREVERSIBLE ENZYME INHIBITORS
Answer
  • Aspirin
  • Cyanide
  • Penicillin
  • Retinol
  • Haemoglobin
  • Paracetamol
Show full summary Hide full summary

Similar

Protein section 3
MrSujg
Protein section 1
MrSujg
Carbohydrates
kevinlinkovoor
DNA Basics
Sarah Juliette B
Сells and development lecture 1 +organelles
MrSujg
DNA questions not from the lectures
MrSujg
Protein section 2
MrSujg
Biology- Genes, Chromosomes and DNA
Laura Perry
Biology AQA 3.1.3 Cells
evie.daines
Biology AQA 3.2.5 Mitosis
evie.daines
Biology AQA 3.1.3 Osmosis and Diffusion
evie.daines