Matura Übungen Funktionale Abhängigkeiten

Description

Übungsquiz zu Funktionen
erwin.premstalle
Quiz by erwin.premstalle, updated more than 1 year ago
erwin.premstalle
Created by erwin.premstalle over 9 years ago
447
8

Resource summary

Question 1

Question
Im Folgenden sind Darstellungen von Kurven und Geraden gegeben. Aufgabenstellung: Kreuzen Sie diejenige(n) Abbildung(en) an, die Graph(en) einer reellen Funktion f: x ->f(x ) ist/sind!

Question 2

Question
Eine reelle Funktion f: [– 3 ; 3 ] → R kann in einem Koordinatensystem als Graph dargestellt werden. Aufgabenstellung: Kreuzen Sie die beiden Diagramme an, die einen möglichen Graphen der Funktion f zeigen!

Question 3

Question
Die in der nachstehenden Abbildung dargestellte Polynomfunktion 2. Grades beschreibt die Höhe (in m) eines senkrecht nach oben geworfenen Körpers in Abhängigkeit von der Zeit (in s). Aufgabenstellung: Kreuzen Sie die zutreffende(n) Aussage(n) an!
Answer
  • Der Körper befindet sich nach einer Sekunde und nach vier Sekunden in 20 m Höhe.
  • Nach fünf Sekunden ist der Körper in derselben Höhe wie zu Beginn der Bewegung.
  • Der Körper erreicht maximal 30 m Höhe.
  • Der Körper befindet sich nach 4,8 Sekunden in einer Höhe von 10 m.
  • Der Körper befindet sich nach ca. 2,5 Sekunden in der maximalen Höhe.

Question 4

Question
Gegeben sind die Graphen der Funktionen f, g und h. Kreuzen Sie die beiden zutreffenden Aussagen an!
Answer
  • g(1) > g(3)
  • h(1) > h(3)
  • f(1) = g(1)
  • h(1) = g(1)
  • f(1) < f(3)

Question 5

Question
Die nachstehende Abbildung zeigt den Graphen einer Polynomfunktion f, die vom Grad 4 ist. Aufgabenstellung: Kreuzen Sie die beiden für die Funktion f zutreffenden Aussagen an!
Answer
  • Die Funktion besitzt drei Wendepunkte.
  • Die Funktion ist symmetrisch bezüglich der y-Achse.
  • Die Funktion ist streng monoton steigend für x ∈ [0; 4].
  • Die Funktion besitzt einen Wendepunkt, der gleichzeitig auch Tiefpunkt ist.
  • Die Funktion hat drei Nullstellen.

Question 6

Question
Gegeben ist die Funktion f mit f(x) = x³ – 2 x + 3.
Answer

Question 7

Question
Gegeben ist die Gerade mit der Gleichung y = –2x + 4. Auf dieser Geraden liegen die Punkte A = (xA |yA ) und B = (xB |yB ). Ergänzen Sie die Textlücken im folgenden Satz durch Ankreuzen der jeweils richtigen Satzteile so, dass eine mathematisch korrekte Aussage entsteht! Wenn xA < xB ist, gilt[blank_start]____________[blank_end], weil die Gerade [blank_start]_________[blank_end]ist.
Answer
  • yA<yB
  • yA=yB
  • yA>yB
  • monoton steigend
  • monoton fallend
  • konstant

Question 8

Question
Welcher der unten angegebenen Punkte gibt die Koordinaten des Schnittpunktes korrekt an? Kreuzen Sie den zutreffenden Punkt an!
Answer
  • S = (1|1)
  • S = (a|1)
  • S = (1|a)
  • S = (a|a)
  • S = (0|a)
  • S = (1|1/a )

Question 9

Question
In der untenstehenden Graphik wird das Wanderungssaldo – das entspricht der Differenz von Zuwanderung und Abwanderung – dargestellt. Zusätzlich werden ab dem Jahr 1995 Zu- und Abwanderung durch Graphen von Funktionen dargestellt. Ab dem Jahre 2012 sind die angegebenen Zahlen als prognostische Werte zu interpretieren. Angegeben wird jeweils die Anzahl derjenigen Personen, die bundesweit nach Österreich zu bzw. abgewandert sind. Kreuzen Sie die beiden zutreffenden Aussagen an!
Answer
  • Werden die Graphen der Funktionen „Zuwanderung“ und „Abwande- rung“ bis 1960 weitergezeichnet, verläuft der Graph der Zuwanderungs- funktion stets oberhalb des Graphen der Abwanderungsfunktion.
  • Es gibt Jahre, in denen sich die Zuwanderungs- und die Abwande- rungszahlen um weniger als 5 000 voneinander unterscheiden.
  • Wird der Graph der Abwanderungsfunktion bis 1960 gezeichnet, ver- läuft er genau achtmal unterhalb der Nulltausenderlinie.
  • Wenn die Graphen der Zuwanderungs- und der Abwanderungsfunktion über einen längeren Zeitraum parallel verlaufen, bleibt der Wanderungs- saldo in diesem Zeitraum konstant.
  • Ab 2020 wird eine lineare Abnahme der Abwanderungszahlen prognos- tiziert, d. h., die jährliche prozentuelle Abnahme der Abwanderungszah- len wird als konstant angenommen.

Question 10

Question
Betrachten Sie die lineare Funktion f(x) = k ∙ x+d. Kreuzen Sie die beiden zutreffenden Aussagen betreffend lineare Funktionen dieser Form an
Answer
  • Jede lineare Funktion mit k = 0 schneidet jede Koordinatenachse mindestens einmal.
  • Jede lineare Funktion mit d ≠ 0 hat genau eine Nullstelle
  • Jede lineare Funktion mit d = 0 und k ≠ 0 lässt sich als direktes Verhältnis interpretieren.
  • Der Graph einer linearen Funktion mit k = 0 ist stets eine Gerade.
  • Zu jeder Geraden im Koordinatensystem lässt sich eine lineare Funktion aufstellen.

Question 11

Question
Gegeben ist eine reelle Funktion f mit f(x) = 3x + 2. Aufgabenstellung: Kreuzen Sie die beiden Eigenschaften an, die auf die Funktion f zutreffen!
Answer
  • f(x + 1) = f(x) + 3
  • f(x + 1) = f(x) + 2
  • f(x + 1) = 3 · f(x)
  • f(x + 1) = 2 · f(x)
  • f(x2 ) – f(x1 ) = 3 · (x2 – x1 ) für x1 , x2 ∈ R und x 1 ≠ x 2

Question 12

Question
Temperaturen werden bei uns in °C (Celsius) gemessen; in einigen anderen Ländern ist die Messung in °F (Fahrenheit) üblich. Die Gerade f stellt den Zusammenhang zwischen °C und °F dar. Welche der folgenden Aussagen können Sie der Abbildung entnehmen? Kreuzen Sie die beiden zutreffenden Aussagen an!

Question 13

Question
Reale Sachverhalte können durch eine lineare Funktion f(x) = k · x + d mathematisch modelliert werden. Aufgabenstellung: In welchen Sachverhalten ist eine Modellierung mittels einer linearen Funktion sinnvoll möglich? Kreuzen Sie die beiden zutreffenden Sachverhalte an!
Answer
  • der zurückgelegte Weg in Abhängigkeit von der Zeit bei einer gleichbleibenden Geschwindigkeit von 30 km/h
  • die Einwohnerzahl einer Stadt in Abhängigkeit von der Zeit, wenn die Anzahl der Einwohner/innen in einem bestimmten Zeitraum jährlich um 3 % wächst
  • Der Flächeninhalt eines Quadrates in Abhängigkeit von der Seitenlänge
  • Die Stromkosten in Abhängigkeit von der verbrauchten Energie (in kWh) bei einer monatlichen Grundgebühr von € 12 und Kosten von € 0,4 pro kWh
  • die Fahrzeit in Abhängigkeit von der Geschwindigkeit für eine bestimmte Entfernung

Question 14

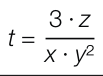
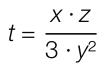
Question
t ist indirekt proportional zu x und y². Aufgabenstellung: Welche der angegebenen Formeln beschreiben diese Abhängigkeiten? Kreuzen Sie die beiden zutreffenden Formeln an!

Question 15

Question
Gegeben sind Ausschnitte der Graphen von fünf Polynomfunktionen f 1 bis f 5 . Die Ausschnitte enthalten alle Extrem- und Wendepunkte der Graphen
Answer
  • Die Polynomfunktion f 1 hat den Grad 2.
  • Die Polynomfunktion f 2 hat den Grad 2.
  • Die Polynomfunktion f 3 hat den Grad 4.
  • Die Polynomfunktion f 4 hat den Grad 3.
  • Die Polynomfunktion f 5 hat den Grad 3.

Question 16

Question
Gegeben ist eine Polynomfunktion f dritten Grades. Aufgabenstellung: Kreuzen Sie diejenige(n) Abbildung(en) an, die einen möglichen Funktionsgraphen von f zeigt/zeigen

Question 17

Question
Die folgenden Aussagen beschreiben Eigenschaften von Polynomfunktionen f Kreuzen Sie die zutreffende(n) Aussage(n) an!
Answer
  • Jede Polynomfunktion dritten Grades hat genau eine Wendestelle.
  • Jede Polynomfunktion vierten Grades hat mindestens eine Nullstelle.
  • Jede Polynomfunktion, die zwei lokale Extremstellen hat, ist mindestens vom Grad 3.
  • Jede Polynomfunktion, die genau zwei lokale Extremstellen hat, hat mindestens eine Wendestelle.
  • Jede Polynomfunktion, deren Grad größer als 3 ist, hat mindestens eine lokale Extremstelle.

Question 18

Question
Gegeben ist die Polynomfunktion 3. Grades f(x) = ax³ + bx² + cx + d (a, b, c, d ∈ R , a ≠ 0) Aufgabenstellung: Wie viele reelle Nullstellen kann diese Funktion besitzen? Kreuzen Sie die beiden zutreffenden Aussagen an!
Answer
  • keine
  • mindestens eine
  • höchstens drei
  • genau vier
  • unendlich viele

Question 19

Question
Die angegebenen Funktionsgleichungen beschreiben exponentielle Zusammenhänge. Aufgabenstellung: Kreuzen Sie die beiden Funktionsgleichungen an, die eine exponentielle Abnahme beschreiben!

Question 20

Question
Welche der nachstehenden Aussagen über die Parameter a, b, c und d sind zutreffend? Kreuzen Sie die beiden zutreffenden Aussagen an!
Answer
  • a > c
  • b > d
  • a < c
  • b < d
  • a = c

Question 21

Question
Gegeben ist die Exponentialfunktion f mit f(x) =exp(x) e hoch x. Kreuzen Sie die zutreffende(n) Aussage(n) an!
Answer
  • Die Steigung der Tangente an der Stelle x = 0 des Graphen hat den Wert 0.
  • Wird das Argument x um 1 erhöht, dann steigen die Funktionswerte auf das e-Fache.
  • Die Steigung der Tangente an der Stelle x = 1 des Graphen hat den Wert e.
  • Wird das Argument x um 1 vermindert, dann sinken die Funktionswerte auf das 1/e-Fache.
  • Der Graph von f hat an jeder Stelle eine positive Krümmung.

Question 22

Question
Die Funktion f mit f(x) = 100 · 2^x (2 hoch x) beschreibt einen exponentiellen Wachstumsprozess. Wie verändert sich der Funktionswert, wenn x um 1 erhöht wird? Aufgabenstellung: Kreuzen Sie die beiden zutreffenden Aussagen an! Der Funktionswert f(x+1) ist ...
Answer
  • um 1 größer als f(x)
  • doppelt so groß wie f(x)
  • um 100 größer als f(x)
  • um 200 größer als f(x)
  • um 100 % größer als f(x)

Question 23

Question
Gegeben ist eine reelle Funktion f mit der Gleichung Kreuzen Sie die für die Funktion f zutreffende(n) Aussage(n) an!

Question 24

Question
Der radioaktive Zerfall des Iod-Isotops 131 I verhält sich gemäß der Funktion N mit t in Tagen Kreuzen Sie diejenige(n) Gleichung(en) an, mit der/denen die Halbwertszeit des Isotops in Tagen berechnet werden kann!

Question 25

Question
Die Formel N(t) beschreibt ein exponentielles Wachstum. Kreuzen Sie die zutreffende(n) Aussage(n) an!
Answer
  • Die relative Zunahme ist in gleichen Zeitintervallen gleich groß.
  • Die absolute Zunahme ist in gleichen Zeitintervallen gleich groß.
  • Die relative Zunahme ist unabhängig von N0 .
  • Die relative Zunahme ist abhängig von a.
  • Die absolute Zunahme ist abhängig von a.

Question 26

Question
Gegeben ist die Funktion f mit f(x) = sin(x). Kreuzen Sie von den gegebenen Graphen von Ableitungsfunktionen f' denjenigen an, der zur Funktion f gehört!

Question 27

Question
Gegeben ist die Funktion f mit f(x) = cos(x). Aufgabenstellung: Kreuzen Sie von den gegebenen Graphen von Ableitungsfunktionen f' denjenigen an, der zur Funktion f gehört!
Show full summary Hide full summary

Similar

Mathe Quiz
JohannesK
Statistik Theorie
Clara Vanessa
Asymptoten
Franziska W.
Funktionen Einführung und Geradenfunktionen
Tahir Celikkol
Differenzialrechnung (Analysis) Zusammenfassung
Antonia C
Neurobiologie Übersicht
Laura Overhoff
Mathe Themen
barbara91
Stochastik
barbara91
Mathe Themen Abitur 2016
henrythegeek
Analysis - Abiturvorbereitung Mathe
c.aciksoez
Vektorendefinition
Sinan 2000