null
US
Sign In
Sign Up for Free
Sign Up
We have detected that Javascript is not enabled in your browser. The dynamic nature of our site means that Javascript must be enabled to function properly. Please read our
terms and conditions
for more information.
Next up
Copy and Edit
You need to log in to complete this action!
Register for Free
4954678
TEST DE TRIGONOMETRIA/ JUAN DAVID OROZCO- JOHNATAN LOPEZ
Description
Quiz on TEST DE TRIGONOMETRIA/ JUAN DAVID OROZCO- JOHNATAN LOPEZ, created by Juan David Orozco on 26/03/2016.
Quiz by
Juan David Orozco
, updated more than 1 year ago
More
Less
Created by
Juan David Orozco
over 9 years ago
76
1
0
Resource summary
Question 1
Question
Señale la gráfica que representa correctamente la ubicación de un angulo de referencia.
Answer
a)
Image:
5bf10dd7-7ce8-4f4a-b855-4d3efdd777ca (image/png)
b)
Image:
e9507fe5-620f-4d6d-af0d-45a3652a44a8 (image/png)
c)
Image:
5fad7260-4bd4-4f14-90e1-1d344897677e (image/png)
d)
Image:
5aa4c169-eab3-4c18-a157-b0b51b77e336 (image/png)
Question 2
Question
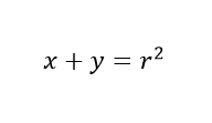
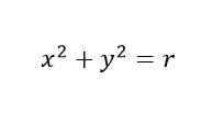
Señale a continuación la ecuación de la circunferencia unitaria:
Answer
a)
Image:
fded424a-03a6-49ce-8789-24882b3e0dc2 (image/png)
b)
Image:
ebfb93b3-b269-426c-bcce-9219319f31d2 (image/png)
c)
Image:
eba38aed-b3df-433e-adb8-cf069c9f2b62 (image/png)
d)
Image:
3505741e-9e48-49a6-9d8d-b83292c18f5a (image/png)
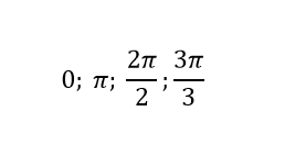
Question 3
Question
Señale a continuación el conjunto de los ángulos cuadrantales
Answer
a)
Image:
c253bdad-3b36-4dc0-b555-730bcc89a307 (image/png)
b)
Image:
0493c56a-fe24-40d1-8fad-beccbc0144eb (image/png)
c)
Image:
c868096d-62b4-461e-a4d6-60c58e44b78f (image/png)
d)
Image:
798fdb8d-5159-4caa-b2ff-262eb127d957 (image/png)
Question 4
Question
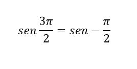
Señale a continuación la expresión verdadera:
Answer
a)
Image:
23a309b5-4f1e-4686-8f84-6f1d7c447003 (image/png)
b)
Image:
d8dc418f-97af-4802-9bd5-7985ce30a073 (image/png)
c)
Image:
f4e91d40-8410-4abc-bf80-b31fe27e8532 (image/png)
d)
Image:
c143381f-deaa-4599-9730-eed31efacfc8 (image/png)
Question 5
Question
Señale a continuación el conjunto de los ángulos notables:
Answer
a)
Image:
ceeb85d0-1131-41e8-a2c2-e83f43ab1855 (image/png)
b)
Image:
fdacca0e-693e-4081-a686-df6477ed3467 (image/png)
c)
Image:
f11ef9b5-31c1-4235-9230-9d8a05c066ce (image/png)
d)
Image:
0ae05387-9319-485d-ac9a-1c3a861bd89a (image/png)
Show full summary
Hide full summary
Want to create your own
Quizzes
for
free
with GoConqr?
Learn more
.
Similar
Browse Library