null
US
Sign In
Sign Up for Free
Sign Up
We have detected that Javascript is not enabled in your browser. The dynamic nature of our site means that Javascript must be enabled to function properly. Please read our
terms and conditions
for more information.
Next up
Copy and Edit
You need to log in to complete this action!
Register for Free
5162379
The general feedback structure
Description
the general feedback structure
No tags specified
gain of feedback amplifier
feedback amplifier
amplifier
integrated electronics
negative feedback
universität
Quiz by
shen0109
, updated more than 1 year ago
More
Less
Created by
shen0109
over 9 years ago
24
0
0
Resource summary
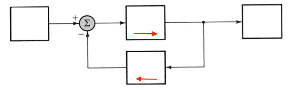
Question 1
Question
complete the general structure of the feedback amplifier
Image:
fb2c3e26-0e8e-4689-a569-810271b3c4c3 (image/png)
Answer
Input Source Xs
Mixer
Feedback signal Xf =
Basic Amplifier A
Feedback Network
Xi = Xs - Xf
Output Signal Xo = A Xi
Xo
External Load
Question 2
Question
In the signal-flow diagram, the A is?
Image:
2515e3d3-a5d9-4e12-b6bc-0baa97d2e6c8 (image/png)
Answer
Basic Amplifier Open-loop Gain (without feedback)
Loop Gain
Closed-loop Gain
Amount of feedback
Question 3
Question
In the signal-flow diagram, the (1+A
Image:
b1a9e5a1-4383-4fcd-bca6-30202591fa98 (image/png)
Answer
Feedback Factor
Loop Gain
Amount of feedback
Closed-loop Gain
Show full summary
Hide full summary
Want to create your own
Quizzes
for
free
with GoConqr?
Learn more
.
Similar
operation regions of IC component
shen0109
negative feedback and its importance in biology
freya hinks
Feedback Topology
shen0109
Studying the human body
meredith healey garraway
Summary of Relationships for the 4 Feedback-Amplifier Topologies
shen0109
Semiconductor Devices and their Applications
Susanna Marian C
Browse Library