Estudiar 1 Torres

Description

Simulador de Examen
leonardotorres19
Quiz by leonardotorres19, updated more than 1 year ago
leonardotorres19
Created by leonardotorres19 over 9 years ago
552
0

Resource summary

Question 1

Question
¿CÓMO SE CONOCE TAMBIÉN AL CONTROLADOR LÓGICO PROGRAMABLE MUY UTILIZADO EN APLICACIONES DE AUTOMATIZACIÓN INDUSTRIAL?
Answer
  • PLC
  • PMU
  • PC
  • RTU

Question 2

Question
¿A QUE DISPOSITIVO CONTROLADOR MUY UTILIZADO EN LA AUTOMATIZACIÓN INDUSTRIAL CORRESPONDEN LAS SIGLAS EN INGLÉS PLC?
Answer
  • PROGRAMMABLE LOGIC CONTROLLER.
  • POWER LINE CARRIER.
  • PHASE LINE CONTROL.
  • PHASOR LINE CURRENT.

Question 3

Question
¿DE QUÉ ESTRUCTURA PRINCIPAL SE COMPONE EL CONTROLADOR LÓGICO PROGRAMABLE (PLC)?
Answer
  • SENSORES, MÓDULO DE ENTRADAS, PROGRAMA DEL PLC, UNIDAD CENTRAL, MÓDULO DE SALIDAS, ACTUADORES.
  • RATÓN, UNIDAD CENTRAL DE PROCESO, IMPRESORA, TECLADO.
  • ENTRADA DE VIDEO, UNIDAD ARITMÉTICO LÓGICA, MODULO DE SALIDAS, PUERTO ETHERNET.
  • MÓDULO DE COMUNICACIÓN, UNIDAD CENTRAL, PANTALLA.

Question 4

Question
¿A QUÉ TIPO DE FUNCIÓN LÓGICA CORRESPONDE LA TABLA DE VERDAD DE LA FIGURA?
Answer
  • NOT – NEGACIÓN
  • AND - CONJUNCIÓN
  • I – IDENTIDAD
  • OR - DISYUNCIÓN

Question 5

Question
¿A QUÉ TIPO DE FUNCIÓN LÓGICA CORRESPONDE LA TABLA DE VERDAD DE LA FIGURA?
Answer
  • AND – Conjunción
  • NOT – Negación
  • I – Identidad
  • OR - Disyunción

Question 6

Question
¿A QUÉ TIPO DE FUNCIÓN LÓGICA CORRESPONDE EL DIAGRAMA DE CIRCUITOS DE LA FIGURA?
Answer
  • AND – Conjunción
  • NOT – Negación
  • I – Identidad
  • OR – Disyunción

Question 7

Question
¿A QUÉ TIPO DE FUNCIÓN LÓGICA CORRESPONDE LA TABLA DE VERDAD DE LA FIGURA?
Answer
  • OR – Disyunción
  • AND – Conjunción
  • NOT – Negación
  • I – Identidad

Question 8

Question
¿A QUÉ TIPO DE FUNCIÓN LÓGICA CORRESPONDE EL DIAGRAMA DE CIRCUITOS DE LA FIGURA?
Answer
  • OR – Disyunción
  • AND – Conjunción
  • NOT – Negación
  • I – Identidad

Question 9

Question
¿QUÉ DISPOSITIVO DE AUTOMATIZACIÓN MUESTRA LA FIGURA?
Answer
  • PLC LOGO SIEMENS; 8 ENTRADAS / 4 SALIDAS LÓGICAS DE RELÉ; ALIMENTACIÓN 24 VCC.
  • PLC SIEMENS; 8 ENTRADAS / 4 SALIDAS LÓGICAS; ALIMENTACIÓN 24 VCC.
  • PLC SIEMENS; 10 ENTRADAS / 8 SALIDAS LÓGICAS; ALIMENTACIÓN 120 VAC.
  • PLC LOGO SIEMENS; 8 ENTRADAS / 4 SALIDAS LÓGICAS; ALIMENTACIÓN 12 VCC.

Question 10

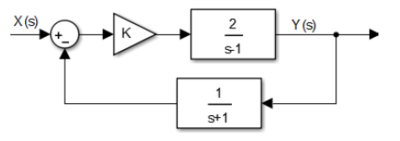
Question
SIENDO I1 = 1, I2 = 0 E I3 = 1 EN EL DIAGRAMA DE BLOQUES DEL PLC LOGO MOSTRADO EN LA FIGURA, ¿CUÁNTO SERIA EL VALOR DE Q1?
Answer
  • 1
  • 0
  • X
  • 2

Question 11

Question
¿A QUÉ FUNCIÓN BÁSICA DEL PLC LOGO CORRESPONDE LA FIGURA?
Answer
  • AND
  • NOR
  • NOT
  • XOR

Question 12

Question
¿A QUÉ FUNCIÓN BÁSICA DEL PLC LOGO CORRESPONDE LA FIGURA?
Answer
  • NAND
  • NOR
  • NOT
  • XOR

Question 13

Question
¿A QUÉ FUNCIÓN BÁSICA DEL PLC LOGO CORRESPONDE LA FIGURA?
Answer
  • NOR
  • NOT
  • OR
  • AND

Question 14

Question
¿A QUÉ FUNCIÓN BÁSICA DEL PLC LOGO CORRESPONDE LA FIGURA?
Answer
  • NOT
  • NAND
  • XOR
  • AND

Question 15

Question
¿A QUÉ FUNCIÓN BÁSICA DEL PLC LOGO CORRESPONDE LA FIGURA?
Answer
  • OR
  • NOR
  • NOT
  • AND

Question 16

Question
¿A QUÉ FUNCIÓN BÁSICA DEL PLC LOGO CORRESPONDE LA FIGURA?
Answer
  • XOR
  • OR
  • NOT
  • AND

Question 17

Question
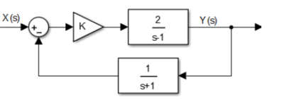
SIENDO I1 = 1, I2 = 1 E I3 = 0 EN EL DIAGRAMA DE BLOQUES DEL PLC LOGO MOSTRADO EN LA FIGURA, ¿CUÁNTO SERIA EL VALOR DE Q1?
Answer
  • 0
  • 1
  • X
  • 2

Question 18

Question
¿QUÉ INDICA EL RECUADRO MARCADO EN LA FIGURA DEL PLC LOGO?
Answer
  • LOS BORNES DE ALIMENTACIÓN DEL PLC.
  • LAS ENTRADAS.
  • LAS SALIDAS.
  • EL TECLADO.

Question 19

Question
¿QUÉ INDICA EL RECUADRO MARCADO EN LA FIGURA DEL PLC LOGO?
Answer
  • LAS ENTRADAS.
  • LAS SALIDAS.
  • LOS BORNES DE ALIMENTACIÓN DEL PLC.
  • EL TECLADO.

Question 20

Question
¿QUÉ INDICA EL RECUADRO MARCADO EN LA FIGURA DEL PLC LOGO?
Answer
  • LAS SALIDAS.
  • LAS ENTRADAS.
  • LOS BORNES DE ALIMENTACIÓN DEL PLC.
  • EL TECLADO.

Question 21

Question
¿CÓMO SE LLAMA EL SOFTWARE CON EL CUAL SE PUEDE PROGRAMAR EL PLC LOGO DE SIEMENS?
Answer
  • LOGOSOFT COMFORT.
  • WINCC.
  • LABVIEW.
  • INTOUCH.

Question 22

Question
¿CÓMO SE CONOCE AL CONTROLADOR CONTINUO PID?
Answer
  • CONTROLADOR CONTINUO PROPORCIONAL, INTEGRAL, DERIVATIVO.
  • CONTROLADOR CONTINUO PROPORCIONAL, INVERSO, DECLARATIVO.
  • CONTROLADOR CONTINUO DE POTENCIA INVERSA DERIVADA.
  • CONTROLADOR CONTINUO PROPOSICIONAL, INTEGRO, DERIVATIVO.

Question 23

Question
¿Qué es medir?
Answer
  • PARA CONOCER LA NATURALEZA DE UN SUCESO FÍSICO.
  • ES COMPARARNOS DE MANERA CUANTITATIVA, PARA MEJORAR EL ENTORNO QUE NOS RODEA.
  • ES COMPARAR UNA CANTIDAD DESCONOCIDA CON UNA CANTIDAD QUE USAMOS COMO REFERENCIA.
  • ES COMPRENDE EL ENTORNO QUE NOS RODEA A TRAVÉS DE LA OBSERVACIÓN.

Question 24

Question
¿Cómo lo describiría usted a un sensor?
Answer
  • ES EL ELEMENTO QUE MIDE LA SEÑAL ANALÓGICA.
  • ES EL DISPOSITIVO QUE TRANSFORMA EL FENÓMENO FÍSICO EN SEÑAL ELÉCTRICA DE CORRIENTE O VOLTAJE.
  • SON INSTRUMENTOS PARA MEDIR SEÑALES DIGITALES.
  • COMO EL APARATO QUE PERMITE MANIPULAR EL PROCESO.

Question 25

Question
¿CÓMO COMPARARÍA USTED UNA SEÑAL ANALÓGICA DE UNA DIGITAL?
Answer
  • POR SU ESTADO Y RAZÓN EN UNA SEÑAL ANALÓGICA
  • POR SU FORMA, NIVEL Y FRECUENCIA EN UNA SEÑAL DIGITAL
  • POR EL FENÓMENO FÍSICO A SENSAR
  • POR SU ESTADO Y RAZÓN EN UNA SEÑAL DIGITAL

Question 26

Question
¿CUÁL ES LA IDEA PRINCIPAL DE RESOLUCIÓN DE UN SENSOR?
Answer
  • LLEVAR UNA SEÑAL ANALÓGICA A DIGITAL EN DEPENDENCIA DEL NÚMERO DE BITS
  • DISCRETIZAR UNA SEÑAL DIGITAL
  • COMPARAR DOS TIPOS DE SEÑALES, PARA LLEVARLA AL TRANSDUCTOR
  • MEJORAR UN TIPO DE SEÑAL ANALÓGICA

Question 27

Question
¿CÓMO EXPLICARÍA USTED EL TEOREMA DE NYQUIST?
Answer
  • ESTE TEOREMA SEÑALA QUE LA FRECUENCIA MÍNIMA DEBE SER POR LO MENOS EL DOBLE DE LA MÁXIMA FRECUENCIA DE INTERÉS.
  • CÓMO LOS POLOS Y CEROS QUE SE ENCUENTRAN DENTRO DE UN CÍRCULO DEFINIDO POR UN VECTOR UNIDAD.
  • CÓMO LA VELOCIDAD DE MUESTREO AL SENSAR DATOS CON UNA DAQ.
  • CÓMO EL TIEMPO DE RESPUESTA DE UN PROCESO CUANDO SE MIDE UNA MAGNITUD FÍSICA.

Question 28

Question
¿POR QUÉ ES IMPORTANTE ACONDICIONAR UNA SEÑAL?
Answer
  • PARA EVITAR LOS ERRORES DE LECTURA POR FALLAS DEL SENSOR
  • PARA PERMITIR QUE UNA SEÑAL SEA ACEPTABLE PARA UN DISPOSITIVO.
  • POR LA CANTIDAD DE DATOS QUE SE MUESTREAN EN UN PROCESO CUANDO LA RESOLUCIÓN ES ALTA.
  • PORQUE SIEMPRE SE DEBE FILTRAR UNA SEÑAL PARA QUE LOS DATOS SEAN CONFIABLES.

Question 29

Question
¿QUÉ SIGNIFICA GANANCIA DE RUIDO?
Answer
  • ES EL VALOR POR EL QUE SE DEBE MULTIPLICAR EN LOS CIRCUITOS QUE UTILIZAN UN FILTRO PASO BAJO.
  • ES EL VALOR QUE ENTREGA UNA CELDA DE CARGA, EL MOMENTO DE REALIZAR UNA MEDICIÓN.
  • TAMBIÉN CONOCIDA COMO VOLTAJE DE RUIDO ES LA MISMA QUE LA GANANCIA DEL AMPLIFICADOR.
  • ES EL VALOR QUE SE DEBE TOMAR EN CUENTA EL MOMENTO DE ACONDICIONAR UN CIRCUITO.

Question 30

Question
¿QUÉ ES ESCALAR UNA SEÑAL ANALÓGICA?
Answer
  • ES MULTIPLICAR POR UN VALOR QUE LO DETERMINA EL RANGO DEL SENSOR.
  • ES INSERTAR UN VALOR EN CORRIENTE O VOLTAJE, EN OTRO VALOR QUE SEA RECONOCIBLE POR NOSOTROS Y POR EL PROGRAMA.
  • PORQUE LAS SEÑALES ANALÓGICAS ESTÁN EN LOS RANGOS DE 0 A 20 MA.
  • PARA EVITAR EMPLEAR DATOS ENTEROS POSITIVOS.

Question 31

Question
¿CUÁLES ELEMENTOS CONFORMAN UN SISTEMA DE ADQUISICIÓN DE DATOS SAD?
Answer
  • SENSORES, PLC Y UNA PC O LAP TOP
  • SENSORES Y LAS TARJETAS DE ADQUISICIÓN DE DATOS
  • SOFTWARE DE DESARROLLO DE APLICACIÓN Y LA DAQ
  • HARDWARE DE MEDICIÓN Y SOFTWARE DE DESARROLLO DE APLICACIÓN

Question 32

Question
¿CÓMO COMPARARÍA USTED UN FILTRO DE RUIDO DE UNO PASO BAJO?
Answer
  • LOS FILTROS DE RUIDO SON DIGITALES Y LOS PASO BAJO NO PUEDEN SER IMPLEMENTADOS DIGITALMENTE
  • EL FILTRO PASO BAJO MEJORA LA PRESENCIA DE RUIDO BLANCO EN LAS SEÑALES, MIENTRAS QUE EL FILTRO DE RUIDO NO PUEDE CORREGIR ESTE TIPO SE PERTURBACIONES
  • EL FILTRO DE RUIDO SE USA EN SEÑALES DE CC MIENTRAS QUE EL PASO BAJO PARA SEÑALES DE CA
  • EN QUE EL FILTRO DE RUIDO SE COLOCA ANTES DEL SENSOR Y PASO BAJO DESPUÉS DEL SENSOR PARA CORREGIR EL EFECTO DE SEÑALES INDESEADAS

Question 33

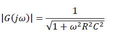
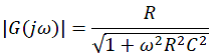
Question
¿QUÉ SIGNIFICA CADA UNO DE LOS PARÁMETROS DE LA ECUACIÓN , CUANDO SE REALIZA UNA MEDICIÓN CON UN SENSOR?
Answer
  • K ES LA GANANCIA DEL SENSOR Y TS ES EL TIEMPO QUE ALCANZA EL 90 % DE ESTABILIZACIÓN DEL SISTEMA, CUANDO SON DE PRIMER ORDEN
  • K ES LA GANANCIA DEL SENSOR, CONSTANTE DE TIEMPO DEL TRANSMISOR, N ORDEN DEL POLINOMIO
  • TS ES EL 63,2% DE ESTABILIZACIÓN DEL SISTEMA, PARA SISTEMAS DE GRADO SUPERIOR
  • LA GANANCIA K Y EL TIEMPO DE RESPUESTA DEL SISTEMA TS NO APORTAN NINGUNA INFORMACIÓN, SOLO LA GRÁFICA DE COMPORTAMIENTO

Question 34

Question
¿CUÁL ES LA DIFERENCIA ENTRE UN TERMISTOR Y UN RTD?
Answer
  • EN QUE LOS TERMISTORES MIDEN LA TEMPERATURA BASADOS EN SEMICONDUCTORES Y LOS RTD EN CONDUCTORES
  • LA DIFERENCIA PRINCIPAL ESTÁ EN QUE SOLAMENTE EL RTD ES UN RESISTOR VARIABLE CON LA TEMPERATURA
  • EN EL TIPO DE MATERIAL QUE FORMA LA RESISTENCIA VARIABLE
  • EN EL RANGO DE MEDIDA Y TIPO DE SEÑAL QUE ENTREGA

Question 35

Question
¿CUÁL SERÁ LA SEÑAL EN MA QUE ENTREGA UN TRANSMISOR DE PRESIÓN QUE MIDE 32.2 KG/CM2EN UN RANGO CALIBRADO DE 0 – 70 KG/CM2, SI EL TRANSMISOR ENTREGA SU SEÑAL EN UN RANGO 4-20 MA DE CD?
Answer
  • 43.75KG/CM2
  • 9.56 KG/CM2
  • 43,75 MA
  • 9,14 MA

Question 36

Question
¿CUÁL SERÍA PARA USTED EL RANGO Y EL ALCANCE EN UN TRANSMISOR DE PRESIÓN ELECTRÓNICO DE 0.5-25BAR, CON UNA SEÑAL DE SALIDA DE 4 A 20MA?
Answer
  • EL RANGO ES DE 0.5-25BAR Y EL ALCANCE ES DE 16 MA
  • EL RANGO ES DE 16 MA Y EL ALCANCE ES DE 24.5 BAR
  • EL RANGO ES DE 0.5-25BAR Y EL ALCANCE ES DE 24.5 BAR
  • EL RANGO Y EL ALCANCE SON DE 0.5-25 BAR

Question 37

Question
¿CUÁNDO ES CONVENIENTE EXPRESAR EN % UN VALOR MEDIDO?
Answer
  • CUANDO EL PUNTO DE OPERACIÓN ES SIGNIFICATIVAMENTE DIFERENTE DE CERO
  • CUANDO EL RANGO DE MEDICIÓN DEL SENSOR ES MUY GRANDE
  • CUANDO EL TIPO DE SEÑAL ES ANALÓGICO DE CORRIENTE
  • CUANDO EL TIPO DE SEÑAL ES DIGITAL DE 0 A 5V

Question 38

Question
Se determina la constante de tiempo aproximada de un termómetro introduciéndolo en un recipiente y anotando el tiempo que tarde en alcanzar el 63% de la lectura final. Si al hacer esta medida se obtiene un tiempo de 28 s, ¿Qué retardo tendrá dicho termómetro al medir la temperatura de un baño que cambia cíclicamente a razón de 2 veces cada minuto?
Answer
  • 28 S
  • 0.209 RAD/S
  • 12 S
  • 6.7 S

Question 39

Question
¿La salida de un controlador está en el rango de 0 a 10 V, expresar la salida de 4.5 V como un valor de porcentaje?
Answer
  • 45 %
  • 75%
  • 35%
  • 40%

Question 40

Question
Los parámetros de operación de la velocidad de un motor son mínima velocidad de operación de 100RPM, Máxima velocidad de operación 1500 RPM, Set point velocidad 1000RPM, Velocidad actual del motor 980 RPM ¿Determine el % del error?
Answer
  • 20 RPM
  • 62.857%
  • 64.286%
  • 1.429%

Question 41

Question
SE DISPONDE DE UNA RTD DE PLATINO DE 100 QUE TIENEN UN COEFICIENTE DE DISIPACIÓN TÉRMICA DE 6 MW/K EN AIRE Y DE 100 MW/K EN AGUA. SI SE DESEA QUE EL ERROR POR AUTOCALENTAMIENTO SEA INFERIOR A 0.1 OC ¿Cuánta corriente puede circular por la resistencia según que esté en el aire o inmersa en agua?
Answer
  • 10 MA
  • 6 MA
  • 15 MA
  • 12 MA

Question 42

Question
UN INSTRUMENTO DE CAUDAL DE UN FLUIDO INDICÓ CAUDAL = 12,3208 L/MIN CON UNA INCERTIDUMBRE DE µ=0,03428 L/MIN ¿Calcular el rango que el caudal real se encontrara, con alto grado de probabilidad?
Answer
  • 12,32112 L/MIN ± 0,03412 L/MIN
  • 12,321 L/MIN ± 0,034 L/MIN
  • 12,32143 L/MIN ± 0,03443 L/MIN
  • 12,33 L/MIN ± 0,03 L/MIN

Question 43

Question
¿Cuál es el concepto de máquina hidráulica?
Answer
  • Es aquella en que el fluido que intercambia su energía no varía sensiblemente de densidad en su paso a través de la máquina, por lo cual en el diseño y estudio se hace la hipótesis de la densidad es constante
  • Es aquella en que el fluido en su paso a través de la máquina varía sensiblemente de densidad y volumen específico, el cual en el diseño y estudio de la máquina ya no puede suponerse constante
  • Es aquella en que el fluido que intercambia su energía no varía sensiblemente de viscosidad en su paso a través de la máquina y por tanto se asume constante.
  • Ninguna de las anteriores

Question 44

Question
¿Cómo se clasifican las máquinas hidráulicas de acuerdo al principio fundamental de funcionamiento?
Answer
  • Turbomáquinas y máquinas de desplazamiento positivo
  • Rotativas y alternativas
  • Rotativas y volumétricas
  • Máquinas de corriente y volumétricas

Question 45

Question
¿Cuáles son los planos de representación de una turbomaquinaria?
Answer
  • Plano o corte meridional y el plano o corte transversal
  • Plano superior e inferior
  • Plano lateral izquierdo y derecho
  • Plano superior y corte transversal

Question 46

Question
¿Cuáles son las velocidades que permiten deducir la ecuación de Euler?
Answer
  • c1-2: Velocidades absolutas de una partícula de un fluido a la entrada y salida del álabe u1-2: Velocidades periféricas a la entrada y salida w1-2: Velocidades relativas a la entrada y salida
  • c1-2: Velocidades absolutas de una partícula de un fluido a la entrada y salida del álabe w1-2: Velocidades relativas a la entrada y salida
  • u1-2: Velocidades periféricas a la entrada y salida w1-2: Velocidades relativas a la entrada y salida
  • c1-2: Velocidades absolutas de una partícula de un fluido a la entrada y salida del álabe u1-2: Velocidades periféricas a la entrada y salida

Question 47

Question
¿Cuál es la ecuación que define el principio de funcionamiento de las turbomáquinas (primera forma de ecuación de Euler)?
Answer
  • H_u=±(u_1 c_(1u )-u_2 c_2u)/g
  • H_u=±(u_2 c_(2u )-u_1 c_1u)/g
  • H_u=±(u_1 c_(2u )-u_2 c_1u)/g
  • H_u=±(u_2 c_(1u )-u_1 c_2u)/g

Question 48

Question
¿Cómo se clasifican las turbomáquinas según la dirección del flujo en el rodete?
Answer
  • Radiales, axiales y semiaxial (radio-axial o de flujo mixto)
  • Radiales y axiales
  • Radiales y semiaxiales
  • Semiaxiles

Question 49

Question
¿Cuál es la definición de las bombas?
Answer
  • Bomba es una máquina que absorbe energía mecánica y restituye al líquido que la atraviesa energía hidráulica
  • Bomba es una máquina que absorbe energía hidráulica y restituye energía mecánica
  • Bomba es una máquina que absorbe energía eléctrica y restituye energía hidráulica
  • Bomba es una máquina que absorbe energía hidráulica y restituye energía eléctrica

Question 50

Question
¿Cuáles son los elementos constitutivos de una bomba radial de eje horizontal?
Answer
  • Rodete, Corona directriz, Caja espiral y Tubo difusor troncónico
  • Corona directriz, Caja espiral y Tubo difusor troncónico
  • Rodete, Caja espiral y Tubo difusor troncónico
  • Rodete y Corona directriz

Question 51

Question
¿Cómo se clasifican los rodetes según la forma de sujeción de los álabes?
Answer
  • Cerrado de simple aspiración Cerrado de doble aspiración Semiabierto de simple aspiración Abierto de doble aspiración
  • Cerrado de simple aspiración Cerrado de doble aspiración
  • Semiabierto de simple aspiración Abierto de doble aspiración
  • Cerrado de simple aspiración Abierto de doble aspiración

Question 52

Question
¿Cuál es el propósito del sistema difusor de una bomba?
Answer
  • Transformar la energía dinámica que da el rodete en energía de presión con el mínimo de pérdidas posible
  • Transformar la energía dinámica que da el rodete en energía cinética con el mínimo de pérdidas posible
  • Transformar la energía dinámica que da el rodete en energía cinética con el máximo de pérdidas posible
  • Transformar la energía dinámica que da el rodete en energía de presión con el máximo de pérdidas posible

Question 53

Question
Explica cuál de las afirmaciones es la correcta
Answer
  • Las bombas rotodinámicas no son autocebantes. Las bombas de émbolo y en general todas las de desplazamiento positivo, si.
  • Las bombas rotodinámicas si son autocebantes..
  • Por lo general las bombas de émbolo y en general todas las de desplazamiento positivo, no son autocebantes
  • Las bombas rotodinámicas a veces son autocebantes

Question 54

Question
Todas las pérdidas en las bombas se pueden clasificar en:
Answer
  • Pérdidas hidráulicas Pérdidas volumétricas Pérdidas mecánicas
  • Pérdidas hidráulicas
  • Pérdidas volumétricas
  • Pérdidas hidráulicas Pérdidas volumétricas

Question 55

Question
Cuál de los siguientes conceptos se corresponde con las pérdidas hidráulicas
Answer
  • Disminuyen la energía específica útil que la bomba comunica al fluido y consecuentemente la altura útil
  • Constituyen una salpicadura de fluido al exterior, que se escapa por el juego entre la carcasa y el eje de la bomba, que la atraviesa
  • Son pérdidas rozamiento y accionamiento
  • Rozamiento de la pared exterior del rodete con el fluido que le rodea

Question 56

Question
¿Qué efectos perjudiciales produce la cavitación en las bombas?
Answer
  • Disminución de rendimiento y erosión
  • Sobrecalentamiento
  • Pérdidas volumétricas
  • Ninguna de las anteriores

Question 57

Question
¿Cuáles son los factores en inciden en la cavitación?
Answer
  • Tipo de bomba (Número específico de revoluciones) Instalación de la bomba Condiciones de servicio de la bomba
  • Tipo de bomba (Número específico de revoluciones)
  • Instalación de la bomba
  • Condiciones de servicio de la bomba

Question 58

Question
Para que no se produzca cavitación de sebe cumplir:
Answer
  • Altura de aspiración sea mayor que el NPSH
  • Altura de aspiración sea igual al NPSH
  • Altura de aspiración sea menor que el NPSH
  • Ninguna de las anteriores

Question 59

Question
¿Cuáles son las razones por las que puede producirse el golpe de ariete?
Answer
  • Parada brusca de la bomba sin cerrar previamente la válvula de impulsión Corte imprevisto de corriente en el funcionamiento de la bomba
  • Aumento del caudal de impulsión
  • Aumento de pérdidas en la tubería de aspiración
  • Aumento de la temperatura del líquido bombeado

Question 60

Question
¿Una turbina puede definirse como?
Answer
  • Turbomáquina motora absorbe energía del fluido y restituye energía mecánica
  • Turbomáquina generadora absorbe energía del fluido y restituye energía mecánica
  • Turbomáquina motora absorbe energía mecánica y restituye energía al fluido.
  • Turbomáquina generadora absorbe energía mecánica y restituye energía al fluido.

Question 61

Question
Las turbinas según el grado de reacción se clasifican en:
Answer
  • Turbinas de acción y reacción
  • Turbinas de acción
  • Turbinas de reacción
  • Ninguna de las anteriores

Question 62

Question
La importancia relativa de la potencia útil Pa, altura neta H y el número de revoluciones en la forma del rodete se expresa por medio de:
Answer
  • Número específico de revoluciones
  • Caudal máximo
  • Potencia de la turbina
  • Altura neta

Question 63

Question
Una bomba de agua que proporciona un caudal de 1200 m3/h tiene una tubería de aspiración de 400 mm y una de impulsión de 375 mm. El vacuómetro conectado en la tubería de aspiración situado 80 mm por debajo del eje de la máquina marca una depresión de 2 m de columna de agua y el manómetro situado 500 mm por encima del eje de la bomba marca una sobrepresión de 12 m de columna de agua. Calcular la altura útil que da la bomba
Answer
  • 14,6
  • 10,5
  • 20,3
  • 25,7

Question 64

Question
Una bomba centrífuga, en que no se consideran las pérdidas ni se tiene en cuenta el estrechamiento del flujo producido por el espesor de los álabes, tiene las siguientes dimensiones: D1 = 75mm; D2 = 300 mm; b1 = b2 = 50 mm; β1 = 45° ; β2= 60°. La entrada en los álabes es radial (caso ordinario en las bombas centrífugas). La bomba gira a 500 rpm. El fluido bombeado es agua. El caudal bombeado es:
Answer
  • 23,1 l/s
  • 30,1 l/s
  • 15 l/s
  • 18 l/s

Question 65

Question
Para una bomba centrífuga dada ¿Cuánto cambia la capacidad, si la velocidad de rotación del impulsor disminuye a la mitad?
Answer
  • DISMINUYE A LA MITAD
  • DISMINUYE A LA CUARTA PARTE
  • DUPLICA LA CAPACIDAD
  • NO VARIA

Question 66

Question
Para una bomba centrífuga dada ¿cuánto cambia la carga total, si la velocidad de rotación del impulsor disminuye a la mitad?
Answer
  • DISMINUYE EN UN FACTOR DE 4
  • DISMINUYE EN UN FACTOR DE 2
  • AUMENTA EN UN FACTOR DE 2
  • NO CAMBIA

Question 67

Question
Para una bomba centrífuga dada ¿cuánto cambia la potencia requerida para mover la bomba, si la velocidad de rotación del impulsor disminuye a la mitad?
Answer
  • DISMINUYE EN UN FACTOR DE 8
  • DISMINUYE EN UN FACTOR DE 4
  • AUMENTA EN UN FACTOR DE 4
  • AUMENTA EN UN FACTOR DE 8

Question 68

Question
La velocidad específica de una bomba que opera a 1750 rpm, y que envía 12000 gal/min de agua a una carga total de 300 pies es:
Answer
  • 2659
  • 3715
  • 1826
  • 2250

Question 69

Question
Si suponemos que una bomba dada requiere 7.50 pies de NPSH cuando opera a 3500 rpm ¿si opera a 2850 rpm su NPSH requerido seria?
Answer
  • 4.97 pies
  • 6.1 pies
  • 5.5 pies
  • 4.2 pies

Question 70

Question
Una bomba centrífuga suministra 0,071 m3/s contra una altura de carga de 7,60 m a 1450 rpm y requiere una potencia de 6,7 kw. Si se reduce la velocidad a 1200 rpm. Si suponemos el mismo rendimiento, su caudal sería:
Answer
  • 0,059 m3/s
  • 0,045 m3/s
  • 0,065 m3/s
  • 0,055 m3/s

Question 71

Question
Una bomba centrífuga suministra 0,071 m3/s contra una altura de carga de 7,60 m a 1450 rpm y requiere una potencia de 6,7 kW. Si se reduce la velocidad a 1200 rpm. Si suponemos el mismo rendimiento, su altura de carga sería:
Answer
  • 5,2 m
  • 4,5 m
  • 6,5 m
  • 4,0 m

Question 72

Question
Una bomba centrífuga suministra 0,071 m3/s contra una altura de carga de 7,60 m a 1450 rpm y requiere una potencia de 6,7 kw. Si se reduce la velocidad a 1200 rpm. Si suponemos el mismo rendimiento, su potencia sería:
Answer
  • 3,8 kW
  • 3,1 kW
  • 5,5 kW
  • 6,0 kW

Question 73

Question
En una bomba que trabaja con agua fría el manómetro de impulsión situado a 10 m por encima del eje de la bomba marca una altura de presión de 80 m.c.a. El vacuómetro situado 50 cm por debajo del eje de la bomba marca una presión relativa de 200 Torr. Por la diferencia de diámetros entre las tuberías de aspiración e impulsión se crea una altura dinámica de ½ m. La altura útil de la bomba es:
Answer
  • 93,72 m
  • 80,50 m
  • 73,7 m
  • 110 m

Question 74

Question
Una bomba de agua da un caudal de 7500 l/min. Aspira en carga de un depósito abierto por una tubería de 200 mm estando el eje de la bomba 5 m por debajo del nivel de agua en el depósito. Despréciense las pérdidas en la bomba y en las tuberías. La potencia de la bomba es de 5,4 kW. La lectura de un manómetro situado en la brida de aspiración 5 m por debajo del nivel de depósito es:
Answer
  • 4,2 m
  • 5,5 m
  • 3,7 m
  • 7,0 m

Question 75

Question
Una bomba de agua da un caudal de 7500 l/min. Aspira en carga de un depósito abierto por una tubería de 200 mm estando el eje de la bomba 5 m por debajo del nivel de agua en el depósito. Despréciense las pérdidas en la bomba y en las tuberías. La potencia de la bomba es de 5,4 kW. La lectura de un manómetro situado en la tubería de impulsión 20 m por encima del nivel de agua en el depósito es:
Answer
  • 23,2 m
  • 18,5 m
  • 27,9 m
  • 20,2 m

Question 76

Question
Una bomba centrífuga que proporciona un caudal de 25 m3/h sirve para elevar agua a una altura de 25 m. La resistencia total de la tubería de aspiración y de impulsión es de 6 m. El rendimiento total de la bomba es de 0,7 y el rendimiento del motor eléctrico de accionamiento es de 0,95. La potencia absorbida de la red es:
Answer
  • 3,2 kW
  • 2,5 kW
  • 4,5 kW
  • 6,0 kW

Question 77

Question
Si se conocen los datos siguientes; c1 = 4.0 m/s; d1 = 150 mm; α1 = 75°; n = 1450 rpm; c2 = 24 m/s; d2 = 350 mm; α2 = 12°. La altura teórica desarrollada por una bomba centrífuga es:
Answer
  • 62,4 m
  • 45,8 m
  • 50 m
  • 70,3 m

Question 78

Question
Una bomba centrífuga bombea gasolina de densidad relativa 0,70 a razón de 200 m3/h. Un manómetro diferencial mide una diferencia de presiones entre la entrada y salida de la bomba de 4,5 bar. El rendimiento total de la bomba es de 60%. Las tuberías de aspiración e impulsión tienen el mismo diámetro y los ejes de las secciones en que está conectado el manómetro tienen la misma cota. La altura útil de la bomba es:
Answer
  • 50,5 m
  • 65,5 m
  • 75,7 m
  • 48,6 m

Question 79

Question
Una bomba centrífuga bombea gasolina de densidad relativa 0,70 a razón de 200 m3/h. Un manómetro diferencial mide una diferencia de presiones entre la entrada y salida de la bomba de 4,5 bar. El rendimiento total de la bomba es de 60%. Las tuberías de aspiración e impulsión tienen el mismo diámetro y los ejes de las secciones en que está conectado el manómetro tienen la misma cota. La potencia de accionamiento de la bomba es:
Answer
  • 41,7 kW
  • 50,4 kW
  • 72, 7 kW
  • 35, 9 kW

Question 80

Question
En la tubería forzada a la entrada de una turbina donde la velocidad del agua es 2 m/s, a una cota de 6 m con relación al nivel inferior del agua, se conecta un manómetro, que mide una presión de 3 bar, y en un punto situado en el tubo de aspiración a 1 m con relación al mismo nivel (diámetro del tubo de aspiración de dicha sección, 2500 mm) se conecta otro manómetro. El rendimiento global de la turbina es de 75% y su potencia útil 6000 kW. El caudal de la turbina es:
Answer
  • 22,2 m3/s
  • 30 m3/s
  • 17 m3/2
  • 28 m3/s

Question 81

Question
En la tubería forzada a la entrada de una turbina donde la velocidad del agua es 2 m/s, a una cota de 6 m con relación al nivel inferior del agua, se conecta un manómetro, que mide una presión de 3 bar, y en un punto situado en el tubo de aspiración a 1 m con relación al mismo nivel (diámetro del tubo de aspiración de dicha sección, 2500 mm) se conecta otro manómetro. El rendimiento global de la turbina es de 75% y su potencia útil 6000 kW. La lectura del manómetro conectado al tubo de aspiración, si no se tiene en cuenta las pérdidas en el mismo es::
Answer
  • 200 mbar
  • 150 mbar
  • 250 mbar
  • 270 m bar

Question 82

Question
Una turbina hidráulica fue ensayada en un laboratorio bajo un salto neto de 20 m. Para una cierta apertura del distribuidor se midió un caudal de 50 l/s a 275 rpm con un rendimiento de 75%. Su potencia al freno es:
Answer
  • 7,4 kW
  • 6,2 kW
  • 5,5 kW
  • 8,5 kW

Question 83

Question
EN UN FLUIDO NEWTONIANO EXISTE
Answer
  • UN ESFUERZO DE FLUENCIA DEFINIDO Y UNA RELACIÓN LINEAL CONSTANTE DEL ESFUERZO CORTANTE APLICADO Y LA TASA DE DEFORMACIÓN.
  • RELACIÓN LINEAL ENTRE LA MAGNITUD DEL ESFUERZO CORTANTE APLICADO Y LA TASA DE DEFORMACIÓN RESULTANTE
  • RELACIÓN NO LINEAL ENTRE LA MAGNITUD DEL ESFUERZO CORTANTE APLICADO Y LA TASA DE DEFORMACIÓN RESULTANTE
  • EXISTE UNA DEPENDENCIA DE LA DEFORMACIÓN ANGULAR INMEDIATAMENTE ANTERIOR DE LA SUSTANCIA Y TIENE UNA TENDENCIA A SOLIDIFICARSE CUANDO SE ENCUENTRA EN REPOSO.

Question 84

Question
EL CAUDAL QUE CIRCULA POR UNA TUBERÍA ES:
Answer
  • INVERSAMENTE PROPORCIONAL AL ÁREA TRANSVERSAL DE FLUJO Y A LA VELOCIDAD DE CIRCULACIÓN.
  • DIRECTAMENTE PROPORCIONAL AL ÁREA TRANSVERSAL DE FLUJO E INVERSAMENTE PROPORCIONAL A LA VELOCIDAD DE CIRCULACIÓN.
  • INVERSAMENTE PROPORCIONAL AL ÁREA TRANSVERSAL DE FLUJO Y DIRECTAMENTE PROPORCIONAL A LA VELOCIDAD DE CIRCULACIÓN.
  • DIRECTAMENTE PROPORCIONAL AL ÁREA TRANSVERSAL DE FLUJO Y A LA VELOCIDAD DE CIRCULACIÓN.

Question 85

Question
LA PRESIÓN ABSOLUTA EN UN LÍQUIDO DE DENSIDAD CONSTANTE SE DUPLICA CUANDO SE DUPLICA LA PROFUNDIDAD. ESTA AFIRMACIÓN ES:
Answer
  • FALSA
  • VERDADERA
  • FALTAN DATOS
  • NINGUNA DE LAS ANTERIORES

Question 86

Question
DE ACUERDO AL ESQUEMA ADJUNTO, LA PRESIÓN DEL AGUA EN EL PUNTO A SERÁ:
Answer
  • p_A= p_B-d_1 g z_1-d_2 g z_2+d_2 g z_3+d_agua g z_4
  • p_A= p_B+d_1 g z_1-g z_4 (d_agua+d_2)
  • p_A= p_B+d_1 g z_1+d_2 g z_4-d_agua g z_4
  • p_A= p_B+d_1 g z_1+d_2 g z_2+d_2 g z_3+d_agua g z_4

Question 87

Question
UN MANÓMETRO DE VACÍO CONECTADO A UNA CÁMARA DA UNA LECTURA DE 25 KPA, EN UN LUGAR DONDE LA PRESIÓN ATMOSFÉRICA ES DE 90 KPA. LA PRESIÓN ABSOLUTA EN LA CÁMARA ES:
Answer
  • 25 KPA
  • 115 KPA
  • 65 KPA
  • NINGUNA DE LAS ANTERIORES

Question 88

Question
EL MOVIMIENTO DE UN FLUIDO ESTÁ DETERMINADO POR:
Answer
  • CARGA DE ENERGÍA CINÉTICA, CALÓRICA Y POTENCIAL
  • CARGA DE ENERGÍA DE PRESIÓN, POTENCIAL Y ELÉCTRICA
  • CARGA DE ENERGÍA DE RESTITUCIÓN, CINÉTICA Y CALÓRICA
  • CARGA DE ENERGÍA DE PRESIÓN, POTENCIAL Y CINÉTICA

Question 89

Question
POR UNA TUBERÍA DE SECCIÓN TRANSVERSAL CONSTANTE S=0.0001Π M^2 , CIRCULA UN FLUIDO A RAZÓN DE 0.00001 M^3/S, LA VELOCIDAD V DE CIRCULACIÓN SERÁ:
Answer
  • Π M/S
  • 1 M/S
  • 10 M/S
  • NINGUNA DE LAS ANTERIORES

Question 90

Question
LA DEDUCCIÓN DE LA ECUACIÓN DE BERNOULLI SE FUNDAMENTA EN:
Answer
  • EL PRINCIPIO DE CONSERVACIÓN DE LA MATERIA
  • EL PRINCIPIO DE LA CONSERVACIÓN DE LA ENERGÍA
  • EL PRINCIPIO DE LA CANTIDAD DE MOVIMIENTO
  • EL PRINCIPIO DEL MOMENTO CINÉTICO

Question 91

Question
LA DEDUCCIÓN DE LA ECUACIÓN DE CONTINUIDAD SE FUNDAMENTA EN:
Answer
  • EL PRINCIPIO DE CONSERVACIÓN DE LA MATERIA
  • EL PRINCIPIO DE LA CONSERVACIÓN DE LA ENERGÍA
  • EL PRINCIPIO DE LA CANTIDAD DE MOVIMIENTO
  • EL PRINCIPIO DEL MOMENTO CINÉTICO

Question 92

Question
CONSIDERE DOS BOLAS ESFÉRICAS IDÉNTICAS SUMERGIDAS EN AGUA A DIFERENTES PROFUNDIDADES. LA FUERZA DE EMPUJE QUE ACTÚA SOBRE ELLAS SON:
Answer
  • IGUALES
  • DIFERENTES
  • FALTAN DATOS
  • NINGUNA DE LAS ANTERIORES

Question 93

Question
CONSIDERE DOS BOLAS ESFÉRICAS DE 5 CM DE DIÁMETRO, UNA DE ACERO Y LA OTRA DE ALUMINIO QUE ESTÁN SUMERGIDAS EN AGUA. LA FUERZA DE EMPUJE QUE ACTÚA SOBRE ELLAS SON:
Answer
  • DIFERENTES
  • IGUALES
  • FALTAN DATOS
  • NINGUNA DE LAS ANTERIORES

Question 94

Question
CONSIDERE UN CUBO DE COBRE DE 3 KG Y UNA BOLA DEL MISMO METAL DE 3 KG SUMERGIDAS EN UN LÍQUIDO. LA FUERZA DE EMPUJE QUE ACTÚA SOBRE ELLAS SON:
Answer
  • DIFERENTES
  • IGUALES
  • FALTAN DATOS
  • NINGUNA DE LAS ANTERIORES

Question 95

Question
CONSIDERE UN CUBO DE COBRE DE 3 KG Y UNA BOLA DEL MISMO METAL DE 3 KG SUMERGIDAS EN UN LÍQUIDO. LA FUERZA DE EMPUJE QUE ACTÚA SOBRE ELLAS SON:
Answer
  • DIFERENTES
  • IGUALES
  • FALTAN DATOS
  • NINGUNA DE LAS ANTERIORES

Question 96

Question
UN MANÓMETRO EN U MARCA UNA DIFERENCIA DE PRESIÓN COMO INDICAN LAS FIGURAS ADJUNTAS. ¿CUÁL ESQUEMA ES EL CORRECTO DE ACUERDO A LA DIRECCIÓN DEL FLUJO?
Answer
  • ESQUEMA A
  • ESQUEMA B
  • FALTAN DATOS
  • INDIFERENTE (NO DEPENDE DEL FLUJO)

Question 97

Question
DURANTE EL ARRANQUE O PARADA DE UNA BOMBA, LA ECUACIÓN DE BERNOULLI NO PUEDE APLICARSE PORQUE,
Answer
  • LA ENERGÍA DE PRESIÓN MANOMÉTRICA NO ES CONSTANTE
  • EL FLUJO NO ES ESTACIONARIO
  • EXISTEN PÉRDIDAS DE CALOR CONSIDERABLES
  • LA DENSIDAD DEL FLUIDO VARÍA

Question 98

Question
EL RADIO HIDRÁULICO ES:
Answer
  • LA RELACIÓN QUE EXISTE ENTRE EL PERÍMETRO MOJADO Y EL ÁREA HIDRÁULICA
  • LA RELACIÓN QUE EXISTE ENTRE EL ÁREA HIDRÁULICA Y EL TIRANTE HIDRÁULICO
  • LA RELACIÓN QUE EXISTE ENTRE EL ÁREA HIDRÁULICA Y LA LONGITUD DE LA TUBERÍA.
  • LA RELACIÓN QUE EXISTE ENTRE EL ÁREA HIDRÁULICA Y EL PERÍMETRO MOJADO

Question 99

Question
EN UN FLUJO LAMINAR TOTALMENTE DESARROLLADO EN UNA TUBERÍA CIRCULAR. SI EL DIÁMETRO DE LA TUBERÍA SE REDUCE A LA MITAD MIENTRAS LA RAZÓN DE FLUJO Y LA LONGITUD DE LA TUBERÍA SE MANTIENEN CONSTANTES, LA PÉRDIDA DE CARGA:
Answer
  • SE DUPLICARÁ
  • SE CUADRIPLICARÁ
  • AUMENTARÁ POR UN FACTOR DE 8
  • AUMENTARÁ POR UN FACTOR DE 16

Question 100

Question
UN CUERPO FLOTANTE ES ESTABLE SI:
Answer
  • EL EMPUJE ES IGUAL AL PESO DEL CUERPO FLOTANTE
  • SU METACENTRO ESTÁ POR DEBAJO DEL CENTRO DE GRAVEDAD
  • SU CENTRO DE GRAVEDAD ESTÁ POR DEBAJO DEL METACENTRO
  • NINGUNA DE LAS ANTERIORES

Question 101

Question
LA PÉRDIDA DE CARGA PARA CIERTA TUBERÍA CIRCULAR ESTÁ DADA POR H_F=0.0826 F L (Q^2/(2 G)), DONDE F ES EL FACTOR DE FRICCIÓN (ADIMENSIONAL), L ES LA LONGITUD DE LA TUBERÍA, Q ES EL CAUDAL VOLUMÉTRICO Y D ES ES EL DIÁMETRO DE LA TUBERÍA DETERMINE SI EL COEFICIENTE 0.826 ES:
Answer
  • ADIMENSIONAL
  • DIMENSIONAL
  • FALTAN DATOS
  • NINGUNA DE LAS ANTERIORES

Question 102

Question
LA VELOCIDAD DE FLUJO QUE SALE DESDE UN TANQUE Y POR UN ORIFICIO ABIERTO A LA ATMÓSFERA, PARA UNA PROFUNDIDAD DADA DE FLUIDO, ESTA EXPRESADA POR EL:
Answer
  • TEOREMA DE TORRICELLI
  • TEOREMA DE PASCAL
  • TEOREMA DE LA ECUACIÓN FUNDAMENTAL DE LA HIDROSTÁTICA
  • TEOREMA DE EULER

Question 103

Question
POR UNA TUBERÍA CIRCULA AGUA CON REYNOLDS = 3000, ESTE FLUJO SE CONSIDERA:
Answer
  • RÉGIMEN LAMINAR
  • RÉGIMEN DE TRANSICIÓN
  • RÉGIMEN TURBULENTO
  • NINGUNA DE LAS ANTERIORES

Question 104

Question
CUANDO LA CORRIENTE EN UN PUNTO DE UNA ESTRUCTURA O DE UNA MÁQUINA ALCANZA UNA PRESIÓN INFERIOR A LA PRESIÓN DE SATURACIÓN DE VAPOR, POR LO QUE EN EL LÍQUIDO EMPIEZA A EVAPORARSE, ESTE FENÓMENO SE CONOCE COMO:
Answer
  • FENÓMENO DE LA TRANSFERENCIA DE CALOR
  • FENÓMENO GENERAL DE LOS GASES
  • FENÓMENO DEL GOLPE DE ARIETE
  • FENÓMENO DE LA CAVITACIÓN

Question 105

Question
FENÓMENO TRANSITORIO Y DE RÉGIMEN VARIABLE, EN QUE LA TUBERÍA NO ES RÍGIDA Y EL LÍQUIDO ES COMPRESIBLE, PRODUCIÉNDOSE SOBREPRESIONES Y DEPRESIONES, SE CONOCE COMO:
Answer
  • FENÓMENO DE LA TRANSFERENCIA DE CALOR
  • FENÓMENO GENERAL DE LOS GASES
  • FENÓMENO DEL GOLPE DE ARIETE
  • FENÓMENO DE LA CAVITACIÓN

Question 106

Question
EN TRAMOS DE TUBERÍAS CONECTADAS EN SERIE, SE CUMPLE:
Answer
  • SE SUMAN LOS CAUDALES QUE CIRCULAN POR CADA TUBERÍA Y LA PÉRDIDA HIDRÁULICA PERMANECE CONSTANTE
  • SE SUMAN LAS PÉRDIDAS HIDRÁULICAS DE CADA TUBERÍA Y EL CAUDAL PERMANECE CONSTANTE.
  • SE SUMAN LAS PÉRDIDAS HIDRÁULICAS Y TAMBIÉN LOS CAUDALES DE CADA TUBERÍA.
  • NINGUNA DE LAS ANTERIORES

Question 107

Question
EN TRAMOS DE TUBERÍAS CONECTADAS EN PARALELO, SE CUMPLE:
Answer
  • SE SUMAN LOS CAUDALES QUE CIRCULAN POR CADA TUBERÍA Y LA PÉRDIDA HIDRÁULICA PERMANECE CONSTANTE
  • SE SUMAN LAS PÉRDIDAS HIDRÁULICAS DE CADA TUBERÍA Y EL CAUDAL PERMANECE CONSTANTE.
  • SE SUMAN LAS PÉRDIDAS HIDRÁULICAS Y TAMBIÉN LOS CAUDALES DE CADA TUBERÍA.
  • NINGUNA DE LAS ANTERIORES

Question 108

Question
LA RELACIÓN ENTRE LAS FUERZAS INERCIALES (FUERZAS CAUSADAS POR LA ACELERACIÓN Y DESACELERACIÓN DEL FLUIDO) Y LAS FUERZAS CONSTANTES VISCOSAS, SE DEFINE COMO:
Answer
  • NÚMERO DE PRANDTL
  • NÚMERO DE NUSSELT
  • NÚMERO DE MATCH
  • NÚMERO DE REYNOLDS

Question 109

Question
EL NÚMERO DE REYNOLDS R_E PARA UN FLUJO VOLUMÉTRICO Q CON PESO ESPECÍFICO RELATIVO S Y DE VISCOSIDAD DINÁMICA Μ, A TRAVÉS DE UNA TUBERÍA D, ESTÁ DETERMINADO POR:
Answer
  • RE=(4 D Μ )/(Π Q S Ρ_AGUA )
  • RE=(4 Q S Ρ_AGUA)/(Π D Μ)
  • RE=(4 D S Ρ_AGUA )/(Π Q Μ)
  • RE=(4 Q Ρ_AGUA)/(Π D Μ)

Question 110

Question
UN FLUIDO IDEAL SE CARACTERIZA PORQUE:
Answer
  • FLUYE SIEMPRE A SU MÁXIMA VELOCIDAD
  • DISPONE DE FUERZAS ADICIONALES QUE SUPRIMEN LOS ESFUERZOS TANGENCIALES DE DESPLAZAMIENTO
  • LA VISCOSIDAD DEL FLUIDO ES NULA
  • NO INFLUYE LA DENSIDAD DEL FLUIDO Y LA VISCOSIDAD PERMANECE SIEMPRE CONSTANTE.

Question 111

Question
EN LAS LÍNEAS DE ENERGÍA DE LA ECUACIÓN DE BERNOULLI: LA LÍNEA DE ALTURA MOTRIZ TAMBIÉN CONOCIDA COMO LÍNEA DE CARGAS O ALTURAS PIEZOMÉTRICAS, INDICA EL NIVEL CORRESPONDIENTE A LA:
Answer
  • ALTURA GEOMÉTRICA MÁS LA ALTURA DE PRESIÓN
  • ALTURA GEODÉSICA MÁS LA ALTURA MANOMÉTRICA
  • ALTURA DE PRESIÓN ABSOLUTA MÁS LA ALTURA CINÉTICA
  • ALTURA MANOMÉTRICA MENOS LAS PÉRDIDAS HIDRÁULICAS DE LA INSTALACIÓN

Question 112

Question
LA FRICCIÓN DEL FLUIDO CON LAS PAREDES DE UNA TUBERÍA PRODUCEN PÉRDIDAS HIDRÁULICAS:
Answer
  • DE CHOQUE
  • PRIMARIAS
  • SECUNDARIAS
  • DE VELOCIDAD

Question 113

Question
LA FRICCIÓN DEL FLUIDO AL ATRAVESAR UN ACCESORIO DE UNA INSTALACIÓN PRODUCEN PÉRDIDAS HIDRÁULICAS:
Answer
  • DE CHOQUE
  • PRIMARIAS
  • SECUNDARIAS
  • DE VELOCIDAD

Question 114

Question
EN LA INSTALACIÓN DE UNA BOMBA CENTRÍFUGA CON LOS DIÁMETROS DE LAS TUBERÍAS DE ENTRADA D_E Y DE SALIDA D_S Y CON EL OBJETIVO DE AUMENTAR LA ALTURA MANOMÉTRICA, SE ESCOGERÍA:
Answer
  • D_E > D_S
  • D_E < D_S
  • D_E= D_S
  • INDIFERENTE

Question 115

Question
PARA CALCULAR LA POTENCIA ÚTIL DE UNA BOMBA ES NECESARIO:
Answer
  • CAUDAL, PESO ESPECÍFICO DEL MATERIAL DE LA BOMBA Y ALTURA MANOMÉTRICA
  • CAUDAL, PÉRDIDAS HIDRÁULICAS DE LA INSTALACIÓN Y ALTURA MANOMÉTRICA
  • CAUDAL, PESO ESPECÍFICO DEL FLUIDO, ALTURA MANOMÉTRICA Y RENDIMIENTO DE LA BOMBA
  • CAUDAL, PESO ESPECÍFICO DEL FLUIDO Y ALTURA MANOMÉTRICA

Question 116

Question
LA ECUACIÓN DE DARCY PERMITE CALCULAR LAS PÉRDIDAS DE ENERGÍA DEBIDO A LA FRICCIÓN TANTO EN RÉGIMEN LAMINAR COMO EN TURBULENTO.
Answer
  • VERDADERO
  • FALSO
  • FALTAN DATOS
  • NINGUNA DE LAS ANTERIORES

Question 117

Question
EN UN CANAL ABIERTO A LA ATMÓSFERA DE SECCIÓN TRANSVERSAL CUADRADA Y CONSTANTE DE LADO A , CIRCULA UN FLUIDO LLENANDO EN SU TOTALIDAD EL CANAL, EL PERÍMETRO MOJADO ES:
Answer
  • 4 A
  • 3 A
  • A^2
  • NINGUNA DE LAS ANTERIORES

Question 118

Question
EN UNA ESTACIÓN DE BOMBEO ENTRE LOS DEPÓSITOS DE ASPIRACIÓN Y DE IMPULSIÓN CIRCULA UN FLUIDO, EN UN INSTANTE DADO EL CAUDAL AUMENTA, POR TANTO LA ALTURA PIEZOMÉTRICA DE LA ESTACIÓN:
Answer
  • AUMENTA
  • DISMINUYE
  • NO VARÍA
  • FALTAN DATOS

Question 119

Question
EL CAMBIO DE VOLUMEN QUE SUFRE UN FLUIDO CUANDO SE LE SUJETA A UN CAMBIO DE PRESIÓN, ES UNA PROPIEDAD DE LOS FLUIDOS DENOMINADA:
Answer
  • COMPRESIBILIDAD
  • PRESIÓN DE SATURACIÓN DE UN FLUIDO
  • TENSIÓN SUPERFICIAL DE LOS FLUIDOS
  • VOLUMEN ESPECÍFICO

Question 120

Question
LA RESULTANTE DE SUMAR LA ALTURA PIEZOMÉTRICA Y LA ALTURA DE VELOCIDAD SE DENOMINA:
Answer
  • ALTURA MANOMÉTRICA
  • ALTURA GEODÉSICA
  • ALTURA TOTAL
  • ALTURA DE PRESIÓN HIDROSTÁTICA

Question 121

Question
TRES DE LOS MÉTODOS PARA LA ATENUACIÓN DEL GOLPE DE ARIETE EN UNA INSTALACIÓN HIDRÁULICA SON:
Answer
  • VÁLVULAS DE RETENCIÓN, CHIMENEA DE EQUILIBRIO, TORRE DE REFRIGERACIÓN.
  • TANQUE HIDRONEUMÁTICO, AMORTIGUADORES DE AIRE, VÁLVULA TIPO GLOBO
  • VÁLVULA TIPO COMPUERTA, VÁLVULA REGULADORA DE PRESIÓN, CHIMENEA DE EQUILIBRIO.
  • VÁLVULAS DE RETENCIÓN, VENTOSAS, CALDERÍN DE AIRE.

Question 122

Question
UN FLUJO ES ESTACIONARIO SI:
Answer
  • LA VELOCIDAD DEL FLUIDO EN CUALQUIER PUNTO NO VARÍA CON RESPECTO AL TIEMPO.
  • SI LAS CAMBIOS DE CALOR POR FRICCIÓN DEL FLUIDO CON LAS PAREDES DE LA TUBERÍA SE PUEDEN CONSIDERAR DESPRECIABLES.
  • SI LA TUBERÍA DE CIRCULACIÓN ES ADIABÁTICA.
  • SI EL FLUIDO PERMANECE EN REPOSO CONSTANTE.

Question 123

Question
UNA FUNCIÓN IMPULSO UNITARIO EN T=0 ES LA SEÑAL DE ENTRADA PARA LA FUNCIÓN DE TRANSFERENCIA MOSTRADA. ¿CUÁL ES LA SEÑAL DE SALIDA EN FUNCIÓN DEL TIEMPO?

Question 124

Question
¿CUÁL DE LAS SIGUIENTES OPCIONES DESCRIBE UN SISTEMA DE CONTROL EN LAZO CERRADO?
Answer
  • UN SISTEMA DE CONTROL EN EL QUE LA SEÑAL DE SALIDA TIENE EFECTO DIRECTO SOBRE LA ACCIÓN DE CONTROL.
  • UN SISTEMA DE CONTROL EN EL QUE LA SEÑAL DE SALIDA NO TIENE EFECTO SOBRE LA ACCIÓN DE CONTROL.
  • UN SISTEMA EN EL QUE LA SEÑAL DE SALIDA NI SE MIDE, NI SE REALIMENTA PARA COMPARACIÓN CON LA SEÑAL DE ENTRADA.
  • UN SISTEMA EN EL QUE LA SEÑAL DE SALIDA NO SE COMPARA CON LA ENTRADA DE REFERENCIA.

Question 125

Question
LA SEÑAL DE ENTRADA PARA LA FUNCIÓN DE TRANSFERENCIA MOSTRADA ES UNA FUNCIÓN ESCALÓN DE AMPLITUD 5 EN T=0. ¿CUÁL ES LA SALIDA EN ESTADO ESTABLE?
Answer
  • 2.0
  • 2.5
  • 1.5
  • 1.0

Question 126

Question
UN PROCESO CONTROLADO ES DESCRITO POR LA FUNCIÓN DE TRANSFERENCIA EN LAZO CERRADO G(S) ¿QUÉ VALOR DE K ESTABILIZARÁ EL PROCESO?
Answer
  • K> 1
  • K<1
  • K>0.75
  • K≥0

Question 127

Question
¿CUÁL DE LAS SIGUIENTES FUNCIONES DE TRANSFERENCIA RETROALIMENTADAS ES REALIZABLE PARA UN CONTROLADOR?

Question 128

Question
LA GANANCIA EN LAZO ABIERTO Y CARACTERÍSTICAS DE FASE DE UN SISTEMA CON RETROALIMENTACIÓN NEGATIVA SON MOSTRADOS: ¿CUÁL ES EL MARGEN DE FASE DEL SISTEMA?
Answer
  • 45
  • 90
  • -100
  • -135

Question 129

Question
LA ECUACIÓN CARACTERÍSTICA DE UN SISTEMA DE CONTROL ES: S^2+4S+K ¿CUÁL DEBERÍA SER EL RANGO DE K PARA QUE TODAS LAS RAÍCES SEAN REALES?
Answer
  • K≤4
  • K≥4
  • K≤0
  • K≥0

Question 130

Question
PARA EL SISTEMA DE CONTROL MOSTRADO, EL COEFICIENTE DE ERROR DE POSICIÓN ES: ¿EL VALOR DE E_P PARA ESTE SISTEMA DE CONTROL ES?
Answer
  • 1/11
  • 1/111
  • 1/110
  • 1/10

Question 131

Question
PARA EL SISTEMA EN LAZO ABIERTO MOSTRADO

Question 132

Question
SE TIENE LA SIGUIENTE RELACIÓN PARA UN CIRCUITO RC CON ENTRADA V Y SALIDA I

Question 133

Question
UN SISTEMA TIENE LA SIGUIENTE RELACIÓN ENTRE SU SALIDA Θ_0 Y SU ENTRADA Θ_I EN EL DOMINIO DE S
Answer
  • SOBREAMORTIGUADO
  • CRÍTICAMENTE AMORTIGUADO
  • SUBAMORTIGUADO
  • NO EXISTE AMORTIGUAMIENTO

Question 134

Question
LA FUNCIÓN DE TRANSFERENCIA DE UN SISTEMA ESTÁ DADO POR
Answer
  • 0.08 S
  • 0.8 S
  • 0.04 S
  • 0.4 S

Question 135

Question
LA FUNCIÓN DE TRANSFERENCIA DE UN SISTEMA ESTÁ DADO POR
Answer
  • 1 S
  • 0.1 S
  • 4 S
  • 0.4 S

Question 136

Question 137

Question
LA FIGURA MUESTRA CÓMO LA SALIDA V_0 (T)DE UN SISTEMA DE PRIMER ORDEN VARÍA CON EL TIEMPO CUANDO ESTÁ SUJETO A UNA ENTRADA ESCALÓN DE 5V. ¿CUÁL SERÁ EL VALOR APROXIMADO DE LA CONSTANTE DE TIEMPO Τ DEL SISTEMA?
Answer
  • 3 S
  • 0.3 S
  • 1 S
  • 0.1 s

Question 138

Question
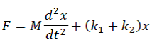
¿CUÁL ES LA FUNCIÓN DE TRANSFERENCIA DEL SISTEMA MASA-RESORTE-AMORTIGUADOR MOSTRADO, SI F ES LA ENTRADA Y X LA SALIDA?

Question 139

Question
UN TERMOPAR TIENE LA FUNCIÓN DE TRANSFERENCIA QUE RELACIONA SU SALIDA EN VOLTS CON SU ENTRADA EN 0C DE LA FORMA: ¿CUÁL SERÁ EL TIEMPO QUE TRANSCURRE PARA QUE LA SALIDA DEL TERMOPAR ALCANCE EL 95% DE SU VALOR FINAL?
Answer
  • 30 S
  • 3 S
  • 0.3 S
  • 0.03 S

Question 140

Question
PARA EL SISTEMA MOSTRADO EN LA FIGURA ¿CUÁL DE LAS SIGUIENTES OPCIONES DESCRIBE EL SISTEMA DE CONTROL EN LAZO CERRADO?

Question 141

Question
PARA EL SISTEMA MOSTRADO EN LA FIGURA ¿CUÁL DE LAS SIGUIENTES OPCIONES DESCRIBE EL SISTEMA DE CONTROL EN LAZO CERRADO?

Question 142

Question
SE TIENE EL SISTEMA MOSTRADO EN LA FIGURA ¿A QUÉ TIPO DE SISTEMA CORRESPONDE?
Answer
  • TIPO 0
  • TIPO 1
  • TIPO 2
  • TIPO 3

Question 143

Question
¿CUÁL ES EL ERROR EN ESTADO ESTABLE CUANDO SE APLICA UNA ENTRADA ESCALÓN UNITARIO AL SISTEMA DADO POR LA SIGUIENTE FUNCIÓN DE TRANSFERENCIA EN LAZO ABIERTO?
Answer
  • 0
  • 0.1
  • 0.01
  • 1

Question 144

Question
SE REQUIERE UN SISTEMA DE CONTROL DE UN MOTOR PARA UN SISTEMA. ESTE REQUIERE OPERAR CON UN ERROR EN ESTADO ESTABLE CERO CUANDO SE APLICA UNA SEÑAL DE ENTRADA RAMPA. EN LA TABLA SE DETALLA LOS ERRORES EN ESTADO ESTABLE QUE PUEDEN PRESENTARSE CON DIFERENTES ENTRADAS PARA VARIOS TIPOS DE SISTEMAS.
Answer
  • TIPO 2
  • TIPO 1
  • TIPO 0
  • NO SE PUEDE REALIZAR

Question 145

Question
¿CUÁL DE LOS SIGUIENTES SISTEMAS ES INESTABLE?

Question 146

Question
UN SISTEMA TIENE POLOS EN +1, -2 Y UN CERO EN 0 ¿CUÁL ES SU FUNCIÓN DE TRANSFERENCIA?

Question 147

Question
UN SISTEMA TIENE POLOS EN -1±J2 Y UN CERO EN -1 ¿CUÁL ES EL PATRÓN DE POLOS Y CEROS CORRESPONDIENTE?

Question 148

Question
¿CUÁL DE LOS SIGUIENTES SISTEMAS ES ESTABLE?
Answer
  • SISTEMA CON: POLO EN -4; CERO EN +1
  • SISTEMA CON: POLO EN +1; CERO EN +1
  • SISTEMA CON: POLO EN (1±J2); CERO EN -2
  • SISTEMA CON: POLO EN +4; CERO EN +1

Question 149

Question
SE TIENE EL SIGUIENTE ARREGLO DE ROUTH PARA UN SISTEMA DETERMINADO ¿QUÉ INTERVALO DE VALORES DE K DARÁ COMO RESULTADO LA ESTABILIDAD?
Answer
  • 0<K<32
  • 0>K>32
  • K>32
  • K<0

Question 150

Question
SI UN SISTEMA EN LAZO CERRADO TIENE TRES POLOS Y NINGÚN CERO, EL SISTEMA ES:
Answer
  • INESTABLE
  • ESTABLE
  • CRÍTICAMENTE ESTABLE
  • NO SE PUEDE DETERMINAR SU ESTABILIDAD

Question 151

Question
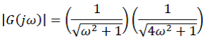
SI LA PLANTA DE LA FIGURA
Answer
  • 0
  • K_p
  • 1/K_p
  • 1

Question 152

Question
LA CURVA DE REACCIÓN DE UN PROCESO, CUANDO LA SEÑAL DE PRUEBA P FUE UN 6% DE CAMBIO EN LA POSICIÓN DE UNA VÁLVULA DE CONTROL SE MUESTRA:
Answer
  • 75 S
  • 7.5 S
  • 0.75 S
  • 0.075 S

Question 153

Question
CUANDO SE SINTONIZÓ UN CONTROLADOR DE TRES MODOS EN UN SISTEMA DE CONTROL, MEDIANTE EL MÉTODO DE LA ÚLTIMA GANANCIA, SE ENCUENTRA QUE LAS OSCILACIONES INICIABAN CUANDO LA BANDA PROPORCIONAL DECRECÍA HASTA UN 30%. LAS OSCILACIONES TIENEN UN PERÍODO DE 500 S. EN LA TABLA SE MUESTRAN LOS CRITERIOS DE ZIEGLER NICHOLS PARA EL MÉTODO DE LA ÚLTIMA GANANCIA ¿CUÁL ES EL VALOR DE K_i?
Answer
  • 1/(250 s)
  • 1/(25 S)
  • 1/500 S
  • 1/50 S

Question 154

Question
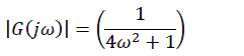
LA FUNCIÓN DE TRANSFERENCIA PARA UN SISTEMA DADO ES:

Question 155

Question
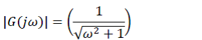
¿CUÁL ES LA MAGNITUD DE LA FUNCIÓN DE RESPUESTA EN FRECUENCIA DE UN SISTEMA CON LA SIGUIENTE FUNCIÓN DE TRANSFERENCIA?

Question 156

Question
¿A QUÉ TIPO DE SISTEMA CORRESPONDE EL SIGUIENTE DIAGRAMA DE BODE?
Answer
  • SISTEMA CON UN POLO EN EL ORIGEN
  • SISTEMA CON GANANCIA CONSTANTE
  • SISTEMA CON UN CERO EN EL ORIGEN
  • SISTEMA CON UN POLO REAL

Question 157

Question
¿CUÁL ES LA FUNCIÓN DE TRANSFERENCIA DEL SISTEMA DADO POR EL DIAGRAMA DE BODE QUE SE MUESTRA (SÓLO SE MUESTRAN LAS ASÍNTOTAS)?

Question 158

Question
UN MOTOR TIENE UNA FUNCIÓN DE TRANSFERENCIA DE 500 REV/MIN POR VOLT. ¿CUÁL SERÁ LA VELOCIDAD DE SALIDA EN ESTADO ESTABLE PARA EL MOTOR CUANDO LA ENTRADA ES 12 V?
Answer
  • 6000 rev/min
  • 600 rev/min
  • 60 rev/min
  • 6 rev/min

Question 159

Question
UN MOTOR DE VELOCIDAD CONTROLADO TIENE UN SISTEMA MOTOR-RELEVADOR-AMPLIFICADOR CON UNA FUNCIÓN DE TRANSFERENCIA COMBINADA DE 600 REV/MIN POR VOLT Y UN SISTEMA DE MEDICIÓN EN EL LAZO DE REALIMENTACIÓN CON UNA FUNCIÓN DE TRANSFERENCIA DE 3MV POR REV/MIN, COMO SE MUESTRA: ¿CUÁL SERÁ LA FUNCIÓN DE TRANSFERENCIA GLOBAL?
Answer
  • 214 rev/min por volt
  • 21.4 rev/min por volt
  • 2.14 rev/min por volt
  • 2140 rev/min por volt

Question 160

Question
PARA EL SISTEMA MOSTRADO ¿CUÁL ES LA ECUACIÓN DIFERENCIAL QUE DESCRIBE LA RELACIÓN ENTRE LA FUERZA DE ENTRADA F Y EL DESPLAZAMIENTO DE SALIDA X?

Question 161

Question
EN LA FIGURA SE MUESTRA LA SALIDA DE UN SISTEMA DE SEGUNDO ORDEN ANTE UNA SEÑAL ESCALÓN UNITARIO ¿EN BASE A LA SEÑAL MOSTRADA SELECCIONE TIPO DE SISTEMA ADECUADO?
Answer
  • SUBAMORTIGUADO
  • SIN AMORTIGUAMIENTO
  • CRÍTICAMENTE AMORTIGUADO
  • SOBREAMORTIGUADO

Question 162

Question
¿CUÁL ES LA FUNCIÓN DE TRANSFERENCIA DEL SISTEMA REPRESENTADO MEDIANTE DIAGRAMA DE FLUJO DE SEÑAL?

Question 163

Question
El factor que hace que un acero sea inoxidable es:
Answer
  • La aleación con silicio
  • La adición de vanadio y cobre
  • La adición de cromo
  • El contenido de carbono superior al 0,5%

Question 164

Question
Los defectos que facilitan la deformación plástica en los materiales metálicos son:
Answer
  • Las vacancias
  • Las dislocaciones
  • Las maclas
  • Los límites de grano

Question 165

Question
El tratamiento térmico que se utiliza para reducir la fragilidad y ablandar el acero endurecido se denomina:
Answer
  • Temple
  • Cincado
  • Resoplado
  • Revenido

Question 166

Question
Cuál es el máximo responsable de todos los procesos de oxidación y corrosión que se dan en los materiales expuestos a su acción?
Answer
  • Nitrógeno
  • Oxígeno
  • Carbono
  • Hidrógeno

Question 167

Question
¿Qué tipo de corrosión se produce de forma homogénea en la superficie metálica, dando lugar a una reducción de dimensiones y pérdida de peso?
Answer
  • Corrosión intergranular
  • Corrosión localizada
  • Corrosión general
  • Corrosión por picadura

Question 168

Question
¿Qué tipo de corrosión tiene su origen en pares galvánicos?
Answer
  • Corrosión localizada
  • Corrosión general
  • Corrosión por cavitación
  • Corrosión erosiva

Question 169

Question
La corrosión intergranular está caracterizada por:
Answer
  • El ataque es transgranular
  • Descarburización del acero inoxidable
  • Produce pequeños agujeros en un metal
  • Por ser difícil de prevenir y se da en la superficie de las piezas

Question 170

Question
¿Cuál de las siguientes afirmaciones se corresponde con la corrosión por picadura?:
Answer
  • Su presencia es frecuente bajo juntas, remaches, pernos y tornillos.
  • Produce pequeños agujeros en un metal
  • Generalmente es difícil de prevenir y se da en la superficie de las piezas
  • El ataque es transgranular

Question 171

Question
¿Qué tipo de corrosión se produce en sistemas de aleaciones de acero inoxidable?
Answer
  • Corrosión por picadura
  • Corrosión por cavitación
  • Corrosión bajo fatiga
  • Corrosión intergranular

Question 172

Question
La corrosión por cavitación se corresponde con:
Answer
  • Ataque de un metal por la acción conjunta de dos causas: química y física
  • Causada por la formación o implosión de burbujas de aire o cavidades llenas de vapor
  • Producida por la unión de una tensión cíclica y de un agente corrosivo
  • Es de tipo arbóreo

Question 173

Question
¿Qué tipo de corrosión está producida por la unión de una tensión cíclica y de un agente corrosivo?
Answer
  • Corrosión por esfuerzo
  • Corrosión galvánica
  • Corrosión electroquímica
  • Corrosión bajo fatiga

Question 174

Question
¿Qué tipo de corrosión está caracterizada por la aceleración en la velocidad de ataque corrosivo al metal debida al movimiento relativo de un fluido corrosivo y una superficie del metal?
Answer
  • Corrosión por esfuerzo
  • Corrosión erosiva
  • Corrosión electroquímica
  • Corrosión seca

Question 175

Question
¿En qué tipo de corrosión dos metales se disponen actuando uno como ánodo y otro como cátodo?
Answer
  • Corrosión por esfuerzo
  • Corrosión intergranular
  • Corrosión electroquímica
  • Corrosión bajo fatiga

Question 176

Question
¿En qué tipo de corrosión el material reacciona con el aire para formar óxidos externos?
Answer
  • Corrosión a altas temperaturas
  • Corrosión intergranular
  • Corrosión por grietas
  • Corrosión por picaduras

Question 177

Question
En la protección por recubrimientos metálicos dentro del tratamiento preliminar se encuentra la fase de:
Answer
  • Pulido
  • Galvanizado
  • Niquelado
  • Cromado

Question 178

Question
El cobreado, cadmiado, niquelado, cincado y cromado se realizan mediante:
Answer
  • Electrólisis
  • Metalización
  • Cementación
  • Chapeado

Question 179

Question
¿Qué método consiste en superponer una o dos placas de metal autoprotector sobre el que se desea proteger, por laminación en caliente?
Answer
  • Decapado
  • Metalización
  • Estañado
  • Chapeado

Question 180

Question
¿Qué tipo de protección por recubrimientos no metálicos tiene como constituyentes una parte no volátil y un disolvente?
Answer
  • Esmalte
  • Fosfatación
  • Pinturas
  • Oxidación superficial

Question 181

Question
¿Qué tipo de protección por recubrimientos no metálicos puede realizarse tanto por ataque de un ácido o por electrólisis?
Answer
  • Esmalte
  • Fosfatación
  • Pinturas
  • Oxidación superficial

Question 182

Question
¿Qué tipo de protección nos permiten reducir o detener la velocidad de corrosión del metal con el que entran en contacto formando un compuesto protector sobre la superficie de dicho metal?
Answer
  • Protección por recubrimientos no metálicos
  • Protección mediante inhibidores
  • Protección mediante pasivadores
  • Protección catódica

Question 183

Question
¿Qué tipo de protección consiste en incluir la pieza en un circuito eléctrico que se oponga a la fuga de electrones generados en el ánodo y que provoca la oxidación?
Answer
  • Protección por recubrimientos no metálicos
  • Protección mediante inhibidores
  • Protección mediante pasivadores
  • Protección catódica

Question 184

Question
Dentro de la protección con metales autoprotectores, ¿Cuál de las siguientes afirmaciones tiene mayor aceptación como reglas generales de selección de metales y aleaciones para prevenir la corrosión?
Answer
  • Para condiciones oxidantes se usan aleaciones que contengan Berilio
  • Para condiciones altamente oxidantes se aconseja la utilización de titanio y sus aleaciones
  • Para condiciones oxidantes se usan aleaciones que contenga cobre
  • Para condiciones altamente oxidantes se aconseja la utilización de plata y sus aleaciones

Question 185

Question
Una aleación es una mezcla o disolución sólida de:
Answer
  • Un gas con otros elementos metálicos
  • Un metal con otros elementos metálicos o no metálicos
  • Un metal con otros elementos metálicos o gases
  • Un no metal con otro elemento no metálico o metálico

Question 186

Question
¿Cuál es el metal con el punto de fusión más bajo?
Answer
  • Cobre
  • Plomo
  • Estaño
  • Wolframio

Question 187

Question
De las siguientes afirmaciones, ¿Cuál se corresponde con la chatarra?
Answer
  • Se combina con la ganga, para bajar su punto de fusión
  • Junto con minerales de Fe, es la materia prima para la fabricación del acero
  • Es el combustible necesario para el sinter de mineral de hierro
  • Produce pocas cenizas y materias volátiles en el momento de su combustión

Question 188

Question
El metal más utilizado en la industria moderna es el hierro formando una aleación con:
Answer
  • Carbono
  • Oxígeno
  • Nitrógeno
  • Hidrógeno

Question 189

Question
Algunas de las características principales de los aceros son:
Answer
  • Maleables y tenaces
  • Buena colabilidad
  • Buena conductividad eléctrica
  • Elevado costo

Question 190

Question
¿Cuál es el constituyente en las aleaciones Fe-C que se considera Fe α casi puro:
Answer
  • Cementita
  • Perlita
  • Ferrita
  • Martensita

Question 191

Question
¿Cuál es el más duro y frágil de los constituyentes de los aceros?
Answer
  • Perlita
  • Ferrita
  • Austenita
  • Cementita

Question 192

Question
La clasificación de las fundiciones se establece por:
Answer
  • Por el aporte de energía
  • Por la resistencia a la oxidación
  • Por el contenido de carbono
  • Por el tipo de escoria

Question 193

Question
En el proceso de obtención de hierro a partir de sus minerales, al seguir elevando su temperatura se carbura y se funde, transformándose en:
Answer
  • Coque
  • Arrabio
  • Chatarra
  • Sinter

Question 194

Question
Cuando un elemento muy electropositivo cede electrones a otro elemento muy electronegativo se produce un:
Answer
  • Enlace metálico
  • Enlace covalente
  • Enlace iónico
  • Enlace de Van der Walls

Question 195

Question
¿Cuál es el tipo de enlaces relativamente débiles y se dan entre moléculas individuales?
Answer
  • Enlace covalente
  • Enlace de Van der Walls
  • Enlace iónico
  • Enlace metálico

Question 196

Question
¿En qué tipo de enlace los electrones forman una nube electrónica que envuelve a los átomos y penetra a través de los huecos libres?
Answer
  • Enlace iónico
  • Enlace de Van der Walls
  • Enlace Covalente
  • Enlace metálico

Question 197

Question
La red cristalina en la que los átomos se colocan en los vértices de un cubo cuya arista tiene una longitud aproximadamente igual al diámetro del átomo se corresponde con:
Answer
  • Estructura cúbica centrada en las caras
  • Estructura cúbica centrada en el cuerpo
  • Estructura cúbica simple
  • Estructura hexagonal compacta

Question 198

Question
¿Qué tipo de red cristalina es característica de los metales más duros?
Answer
  • Estructura cúbica centrada en las caras
  • Estructura cúbica centrada en el cuerpo
  • Estructura cúbica simple
  • Estructura hexagonal compacta

Question 199

Question
¿Qué tipo de red cristalina es característica de los metales más dúctiles?
Answer
  • Estructura cúbica centrada en las caras
  • Estructura cúbica centrada en el cuerpo
  • Estructura cúbica simple
  • Estructura hexagonal compacta

Question 200

Question
¿Cómo se llama el proceso mediante el cual los átomos, iones, moléculas o conjunto de moléculas se ordenan para formar una red cristalina determinada?
Answer
  • Formación del grano
  • Poliformismo
  • Cristalización
  • Acritud
Show full summary Hide full summary

Similar