null
US
Sign In
Sign Up for Free
Sign Up
We have detected that Javascript is not enabled in your browser. The dynamic nature of our site means that Javascript must be enabled to function properly. Please read our
terms and conditions
for more information.
Next up
Copy and Edit
You need to log in to complete this action!
Register for Free
5389579
TEST DE DERIVADAS- JUAN DAVID OROZCO Y CARLOS MORALES
Description
Quiz on TEST DE DERIVADAS- JUAN DAVID OROZCO Y CARLOS MORALES, created by Juan David Orozco on 11/05/2016.
Quiz by
Juan David Orozco
, updated more than 1 year ago
More
Less
Created by
Juan David Orozco
over 9 years ago
87
2
0
Resource summary
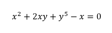
Question 1
Question
Seleccione la derivada implicita para la funcion
Image:
b8211278-540d-4f9a-8f54-818d7ef397d8 (image/png)
Answer
Image:
81401f34-2d4b-4339-8d79-938ecb27cf1a (image/png)
Image:
7cac3f37-b042-40d1-bf1f-d6b5114a10b3 (image/png)
Image:
eb7148b0-cf9e-4df3-99ca-986cb3ec7b6b (image/png)
Image:
c21ad017-a1ee-49e4-8642-5a5cba40cf1b (image/png)
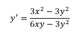
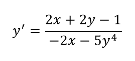
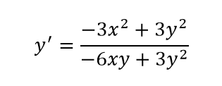
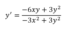
Question 2
Question
Seleccione la derivada implicita para la funcion
Image:
1f7ef7ac-4160-4999-8da6-7bc91a43c799 (image/png)
Answer
Image:
a7704cd4-e420-4f6c-aea9-f6dcc299e2b6 (image/png)
Image:
bc0b89e0-a639-42bf-9f28-926134423bd8 (image/png)
Image:
befaef70-7a6c-41eb-a9c7-2f503c2cacaf (image/png)
Image:
38ef28e9-e414-49e4-92f7-5c31725029dc (image/png)
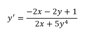
Question 3
Question
Seleccione la grafica correspondiente a la derivada de la funcion dada
Image:
f469c5cd-a175-4669-9ea0-6edcef468b47 (image/png)
Answer
Image:
295076fa-211b-4d12-b405-be7bf0ca3791 (image/png)
Image:
8c65980b-ff60-45cd-9a34-3ada561b5bb6 (image/png)
Image:
748dfbf0-ecda-44c0-90e5-8541cb7a1a0a (image/png)
Image:
5e62acd9-8874-4a8f-8442-5c967bdfefca (image/png)
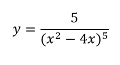
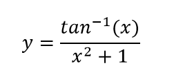
Question 4
Question
Halle la derivada para la funcion dada
Image:
4cec8baf-dbfa-4f08-8b96-85ce8c23eb40 (image/png)
Answer
Image:
2dac576a-8584-4f7f-8399-588aa03f5371 (image/png)
Image:
5ebb6dd0-dae7-4e47-91b8-11a7655667e4 (image/png)
Image:
3c407d62-7798-4504-b509-966e9da9e3bb (image/png)
Image:
782d0d26-ffcf-4f5b-80f2-948c80cdbebe (image/png)
Question 5
Question
Seleccione la gráfica correspondiente a la segunda derivada de la función dada
Image:
61e655b7-1ea5-422c-932d-e6d49cd8bb23 (image/png)
Answer
Image:
2366f38e-38db-4b5f-91e7-2a196c9fe095 (image/png)
Image:
42dab2a8-eadc-42a9-90b0-ff284a3e932c (image/png)
Image:
8acc8c03-1491-4d63-9760-7c79522daf87 (image/png)
Image:
7b523aba-db53-4b61-beb7-0b112a5f2e67 (image/png)
Show full summary
Hide full summary
Want to create your own
Quizzes
for
free
with GoConqr?
Learn more
.
Similar
Browse Library