2. Applikationen entwerfen und implementieren

Description

ICT-Applikationen entwerfen und implementieren
darko.hadorn
Quiz by darko.hadorn, updated more than 1 year ago More Less
darko.hadorn
Created by darko.hadorn over 9 years ago
darko.hadorn
Copied by darko.hadorn over 9 years ago
9
0

Resource summary

Question 1

Question
Bei welcher Information einer Datenbanktabelle handelt es sich um einen Datensatz?
Answer
  • Die Tabelle selber
  • Ein einzelnes Feld
  • Eine Zeile
  • Alle Spalten
  • Eine Spalte

Question 2

Question
Welche der folgenden Bedingungen müssen erfüllt sein, damit ein Deadlock entsteht?
Answer
  • Zyklische Wartebedingung
  • Wechselseitiger Ausschluss
  • Anforderung weiterer Betriebsmittel
  • Ununterbrechbarkeit

Question 3

Question
Welche der folgenden Aussagen zu Prozessen bzw. Threads sind korrekt?
Answer
  • Mehrere Threads können sich einen Adressraum teilen
  • Ein Thread ist ein Ausführungsstrang
  • Ein Thread kann mehreren Prozessen zugeordnet sein
  • Ein Prozess ist ein Teil eines Threads

Question 4

Question
Welcher Wert wird im folgenden Codeausschnitt ausgegeben? void Counter() {    int zahl = 1;    for (int i=1; i<10; i++){         for (int n=0; n<10; n++) {zahl = zahl + 1;         }    }    System.print(zahl); }
Answer
  • 100
  • 1
  • 90
  • 101
  • 91

Question 5

Question
Sie sind verantwortlich, die Steuersoftware für das ABS-System eines Fahrzeugs zu entwickeln. Dabei fallen durch die vielen Sensoren ca. 100 Messwerte pro Sekunde an. Die Bremsen müssen innerhalb von 5ms reagieren. Welches Verarbeitungsmodell wählen Sie?
Answer
  • Online-Verarbeitung
  • Meldungsbasierende Verarbeitung
  • Batchverarbeitung
  • Native Unix-Anwendung
  • Realtime-Verarbeitung

Question 6

Question
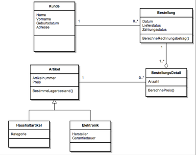
Aus dem nachfolgenden UML-Diagramm kann abgeleitet werden, dass
Answer
  • es Artikel geben kann, die noch nie bestellt worden sind
  • jedes Bestellungsdetail einem Kunden zugeordnet werden kann
  • Artikel das gemeinsame Interface von Haushaltartikel und Elektronik ist
  • jeder Kunde mindestens eine Bestellung hat

Question 7

Question
Was beschreibt der folgende XML-Code Ausschnitt? <hibernate-mapping package="entities">    <class name="Buch" table="buch_definition">      <id name="id">           <generator class="native"/>      </id>      <property name="titel" type="string" length="100"/>      <property name="autor"/>      <many-to-one name="verlag" column="verlag_id"/>    </class> </hibernate-mapping>
Answer
  • ein objektrelationales Mapping
  • die Klassendefinition für die Klasse "Buch"
  • das Datenbankschema für die Tabelle "buch_definition"
  • die Abbildung der Klasse "buch_definition" in einer Datenbank
  • die Datentypen der Klasse "Buch"

Question 8

Question
Welche der folgenden Ziele verfolgt ein Tester beim testen von Software?
Answer
  • Er möchte Software-Fehler finden.
  • Er möchte sicherstellen, dass die Software den geforderten Qualitätsansprüchen genügt.
  • Er möchte aufzeigen, warum die Software nicht korrekt funktioniert.
  • Er möchte den, aufgrund von Fehlern in der Software, zu erwartende Schaden frühzeitig quantifizieren.

Question 9

Question
Welches Verarbeitungsmodell ist am besten geeignet, wenn viele Datensätze unbeaufsichtigt zu einem bestimmten Zeitpunkt eines Tages wiederkehrend verarbeitet werden müssen?
Answer
  • Native Unix-Anwendung
  • Online-Verarbeitung
  • Meldungsbasierende Verarbeitung
  • Realtime-Verarbeitung
  • Batchverarbeitung

Question 10

Question
Welche Aussagen zum folgenden Paketdiagramm sind korrekt?
Answer
  • A und C sind in Paket 1 sichtbar
  • A und B sind in Paket 1 sichtbar
  • B ist in Paket 4 sichtbar
  • B ist in Paket 2 sichtbar

Question 11

Question
Welche Eigenschaft gehört nicht zu den Vorteilen eines Bildschirmprototypen zur Beschreibung von User Interfaces?
Answer
  • sie ermöglichen das frühzeitige Einbinden der Qualitätssicherung
  • sie lassen sich früh im Projekt einbinden
  • sie schaffen eine Diskussionsgrundlage
  • sie können laufend verbessert werden
  • sie visualisieren das Hauptszenario

Question 12

Question
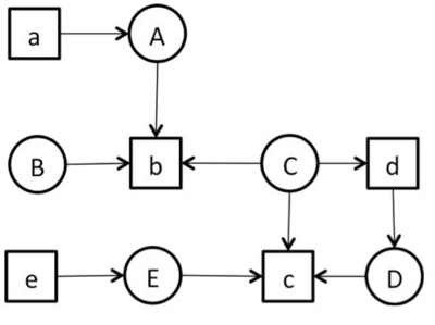
Das folgende Diagramm zeigt einen Betriebsmittel-Graph mit den Prozessen A-E und den Ressourcen a-e. Welche der folgenden Aussagen zum abgebildeten Betriebsmittel-Graph sind korrekt?
Answer
  • b wird von A, B, C angefordert
  • Das System befindet sich in einem Deadlock Zustand
  • D belegt c und fordert d an
  • E belegt e und fordert c an

Question 13

Question
Welche der folgenden Aussagen zum Factory Design Pattern sind korrekt?
Answer
  • Eine Factory Methode erzeugt und returniert ein Objekt einer bestimmten Klasse
  • Eine Factory Methode verwendet einen Konstruktor um ein Objekt zu erzeugen
  • Factory Methoden sind durch Konstruktoren obsolete geworden
  • Das Factory Design Pattern definiert die Struktur des Konstruktors einer Klasse

Question 14

Question
Wie lautet das SQL Statement um alle Felder aller Datensätze der Tabelle ADRESSE auszugeben?
Answer
  • SELECT () FROM ADRESSE
  • SELECT ALL FROM ADRESSE
  • SELECT * FROM ADRESSE WHERE *
  • SELECT * FROM ADRESSE
  • SELECT ADRESSE

Question 15

Question
Welches der folgenden Design Patterns gehört nicht zur Kategorie der Struktur Muster?
Answer
  • Composite
  • Builder
  • Proxy
  • Facade
  • Adapter

Question 16

Question
Welche Perspektiven zur Strukturierung eines Anforderungskatalogs gehören zur IREB Definition?
Answer
  • Funktionsperspektive
  • Strukturperspektive
  • Verhaltensperspektive
  • Performanceperspektive

Question 17

Question
Was ist die Bedeutung eines Primärschlüssels in einer relationalen Datenbank?
Answer
  • Er kennzeichnet einen Datensatz eindeutig
  • Er kennzeichnet eine Tabelle eindeutig
  • Es ist eine Vorlage für einen Datensatz
  • Er definiert den primären Datensatz
  • Er schützt die Datenbank mittels Verschlüsselung

Question 18

Question
Bei der Normalisierung von relationalen Datenbanken:
Answer
  • Entstehen Relationen, die der vorgegebenen Normalform entsprechen.
  • Wird Dekomposition als ein Vorgehen verwendet, um eine Normalisierung zu erreichen.
  • Werden Anomalien abgebaut.
  • Werden Redundanzen aufgebaut.

Question 19

Question
Wie viele return-Statements sind innerhalb einer Methode in Java und/oder C# erlaubt?
Answer
  • 1
  • Beliebig viele
  • 3
  • Keine
  • 2

Question 20

Question
Welche der folgenden Aussagen zu Design Pattern ist nicht korrekt?
Answer
  • Design Patterns erhöhen die Lesbarkeit von Code
  • Design Patterns erleichtern die Kommunikation
  • Design Patterns erhöhen die Effizienz der Softwareentwicklung
  • Design Patterns erleichtern die Dokumentation von Softwarelösungen
  • Design Patterns erhöhen die Performance von Applikationen

Question 21

Question
Ein Kollege in Ihrem Projekt zeigt die vom ihm entwickelte Klasse: public class Aggregator {   private SourceA sourceA;   private SourceB sourceB;   private SourceC sourceC;   private SourceD sourceD;   public Aggregator(SourceA a, SourceB b, SourceC c, SourceD d) {     sourceA = a;     sourceB = b;     sourceC = c;     sourceD = d;     sourceE = e;   }   public int aggregate() {     return a.doA() + b.getB() + c.calcC() + d.fetchD();   } } Welches Feedback sollten ihm die anderen Teammitglieder geben, damit er die Klasse verbessern kann?
Answer
  • Die Klasse verfügt über eine zu hohe Kopplung
  • Die Klasse verfügt über eine zu hohe Kohäsion
  • Die Klasse verletzt das Single-Responsibility-Prinzip
  • Die Klasse verletzt das Liskovsche Substitutionsprinzip
  • Die Klasse verwendet zu viel Inversion of Control
Show full summary Hide full summary

Similar

4. Applikationen testen
darko.hadorn
Ann, Aisha
Roland Schindler