2_Unit 202 Revision: Electrical Science Question Bank 1

Description

C&G 2365 Unit 202 Smartscreen Sample Qs
Carl Tovey
Quiz by Carl Tovey, updated more than 1 year ago More Less
Oliver Balay
Created by Oliver Balay over 10 years ago
Carl Tovey
Copied by Carl Tovey over 9 years ago
63
2

Resource summary

Question 1

Question
Electric current is described as a flow of
Answer
  • protons
  • neutrons
  • electrons
  • nucleus

Question 2

Question
Which one of the following identifies the sources of an electromotive force?
Answer
  • Atomic, magnetic, thermal
  • Chemical, atomic, thermal
  • Chemical, magnetic, thermal
  • Chemical, magnetic, atomic

Question 3

Question
When the current passing through a conductor is increased, the conductor’s temperature will:
Answer
  • decrease
  • stabilise
  • fragment
  • increase

Question 4

Question
The SI unit Henry is used for
Answer
  • capacitance
  • inductance
  • frequency
  • flux density

Question 5

Question
Ohm is the SI unit of measurement for:
Answer
  • resistance
  • voltage
  • current
  • charge

Question 6

Question
The SI unit for frequency is the
Answer
  • Joule
  • Mole
  • Farad
  • Hertz

Question 7

Question
Resistance, potential difference and electrical current are expressed in the same order as units of:
Answer
  • Ohms, Volts, Amperes
  • Ohms, Watts, Amperes
  • Ohms, Volts, Watts
  • Watts, Volts, Ohms

Question 8

Question
Transpose the formula Z² = R² + X² to make R² the subject.
Answer
  • R² = X² – Z²
  • R² = Z² – X²
  • R² = Z² + X²
  • R² = X² x Z²

Question 9

Question
If the resistivity of aluminium is 2.65 x 10 -8 /metre, the resistance of a 65 metre length of 16mm2 aluminium conductor is:
Answer
  • 10.77Ω
  • 1.108Ω
  • 0.0108Ω
  • 0.108Ω

Question 10

Question
For the circuit shown, the total resistance is:
Answer
  • 108Ω
  • 36Ω
  • 12Ω
  • 3.6Ω

Question 11

Question
For the circuit shown, the power dissipated by the 15Ω resistor is:
Answer
  • 240W
  • 60W
  • 160W
  • 40W

Question 12

Question
The power dissipated in the circuit shown on the right would be:
Answer
  • 35W
  • 833W
  • 350W
  • 1,399W

Question 13

Question
When measuring current flow in a d.c. circuit, an ammeter must be connected:
Answer
  • using a rectifier
  • using a VT
  • in series with the load
  • in parallel with the load

Question 14

Question
Instrument B in the figure on the right measures the:
Answer
  • voltage drop caused by R2
  • voltage drop caused by R3
  • current through R1
  • current through R2

Question 15

Question
The strength of the magnetic flux produced when current flows in a conductor can be increased by:
Answer
  • increasing the current
  • decreasing the current
  • reversing the current
  • using alternating current

Question 16

Question
Which one of the following shows the correct poles of the electromagnet when current flows in the direction shown?
Answer
  • a)
  • b)
  • c)
  • d)

Question 17

Question
What would be the effect on magnetic flux for the two equal, current-carrying conductors shown?
Answer
  • The magnetic field would halve in strength, flowing in opposite directions
  • The magnetic fields around each of the conductors would rotate independently
  • The magnetic fields around the conductors would cancel each other out
  • The magnetic field around the conductors would double in strength and flow in the same direction

Question 18

Question
A conductor of a simple alternator is 0.4m long and cuts a magnetic field with a magnetic flux density of 1.5 tesla at a velocity of 30m/s. The EMF induced in the conductor will be:
Answer
  • 1,800V
  • 180V
  • 18V
  • 1.8V

Question 19

Question
Which one of the following is the supply frequency if a sine wave has a periodic time of 20 milliseconds?
Answer
  • 40Hz
  • 50Hz
  • 60Hz
  • 70Hz

Question 20

Question
Refer to the figure shown. What does value A indicate?
Answer
  • Average value of the waveform
  • Periodic time of the waveform
  • RMS value of the waveform
  • Peak amplitude of the waveform

Question 21

Question
Which one of the following quantities can be described as a force?
Answer
  • Gravity
  • Current
  • Resistance
  • Energy

Question 22

Question
The formula shown is used to determine the force required given mass and acceleration. Which one of the following would be the acceleration for a mass of 20kg having a force of 10N applied? F = m x a
Answer
  • 200 m/s²
  • 0.5 m/s²
  • 5 m/s²
  • 50 m/s²

Question 23

Question
The power required to raise a mass of 8kg across a distance of 10m in 40 seconds is approximately:
Answer
  • 785W
  • 80W
  • 20W
  • 5W

Question 24

Question
A motor produces an output of 1.2kW when the input is 1.4kW; its efficiency is:
Answer
  • 85.7%
  • 75.7%
  • 65.7%
  • 55.7%

Question 25

Question
When used to ‘inch’ heavy equipment across the floor, a crowbar is being:
Answer
  • a pulley
  • a lift
  • a machine
  • a lever

Question 26

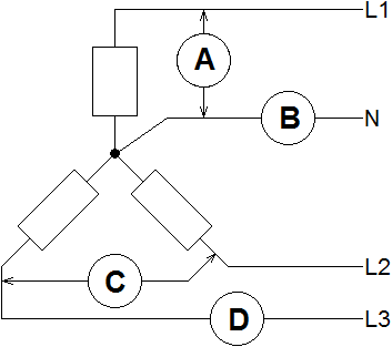
Question
Which one of the following instruments would be used to measure the line voltage for the star connected load?
Answer
  • A
  • B
  • C
  • D

Question 27

Question
In a four-wire, three phase system the phase voltage is 220v. The line voltage will be:
Answer
  • 380V
  • 400V
  • 415V
  • 420V

Question 28

Question
Which one of the following is the phase voltage for a star connected load if the line voltage is 400V?
Answer
  • 400V
  • 230V
  • 110V
  • 50V

Question 29

Question
Which one of the following instruments would be used to measure the line current for the delta connected load?
Answer
  • A
  • B
  • C
  • D

Question 30

Question
The line current feeding a delta load is 52A. The delta phase current will be:
Answer
  • 30A
  • 52A
  • 90A
  • 156A

Question 31

Question
The phase current in a delta load is 10A. The line current will be:
Answer
  • 5A
  • 5.8A
  • 10A
  • 17.3A

Question 32

Question
A balanced three phase star connected load draws a line current of 24A per phase. Which of the following is the approximate value of neutral current?
Answer
  • 0A
  • 8A
  • 13.9A
  • 24A

Question 33

Question
A d.c. motor in which the current remains constant in the field winding but varies in the armature winding is called:
Answer
  • a compound machine
  • an armature machine
  • a shunt machine
  • a series machine

Question 34

Question
If a single loop of wire connected to a commutator is rotated in a permanent magnetic field, the voltage measured at the commutator will be:
Answer
  • d.c.
  • a.c.
  • intermittent
  • unidirectional

Question 35

Question
The diagram shows a simple motor, indicating the field poles and direction of current flow. In which one of the following directions would the conductor move?
Answer
  • Direction A
  • Direction B
  • Direction C
  • Direction D

Question 36

Question
In a 400v to 4,000v step-up transformer the ratio of primary to secondary turns ratio will be:
Answer
  • 10:1
  • 5:1
  • 1:5
  • 1:10

Question 37

Question
Which one of the following components would cause current and voltage to behave as indicated in the sine wave shown?
Answer
  • Rectifier
  • Capacitor
  • Inductor
  • Resistor

Question 38

Question
The power triangle shown gives the relationship between powers in an a.c. circuit. Which one of the following is the unit used to measure Apparent power?
Answer
  • kW
  • kVA
  • kVAr
  • kJ

Question 39

Question
A circuit dissipates 3kW at a power factor of 0.7 when connected to a 230V a.c. supply. The current flowing in the circuit will be:
Answer
  • 13.0A
  • 18.6A
  • 21.5A
  • 25.2A

Question 40

Question
Power factor correction in circuits having lagging power factors can be achieved by connecting:
Answer
  • inductors across the load
  • resistors across the load
  • resistors in series with the load
  • capacitors across the load
Show full summary Hide full summary

Similar

WJEC Level 2 Latin Language Vocabulary (A)
Gian Hernandez
Unit 202 Revision: Electrical Science Question Bank 1
Jamie Parslow-Williams
WJEC Level 2 Latin Language Vocabulary (T)
Gian Hernandez
Unit 202 Revision: Electrical Science Question Bank 1
dave love
WJEC Level 2 Latin Language Vocabulary (E&F)
Gian Hernandez
WJEC Level 2 Latin Language Vocabulary (S)
Gian Hernandez
WJEC Level 2 Latin Language Vocabulary (M)
Gian Hernandez
WJEC Level 2 Latin Language Vocabulary (N)
Gian Hernandez
WJEC Level 2 Latin Language Vocabulary (I)
Gian Hernandez
Unit 202 Revision: Electrical Science Question Bank 1
Jamie Parslow-Williams
Unit 202 Revision: Electrical Science Question Bank 1
Jamie Parslow-Williams