3-4. Test Design

Description

qa
Rachel Sprague
Quiz by Rachel Sprague, updated more than 1 year ago
Rachel Sprague
Created by Rachel Sprague about 9 years ago
61
0

Resource summary

Question 1

Question
In IEEE 829, test design specification defines:
Answer
  • Input values, test data and expected results
  • Test conditions and high level test cases
  • The execution schedule
  • Procedures/scripts

Question 2

Question
In IEEE829 what is the order of the following: x) test case specification y) test procedure specification z) test design specification
Answer
  • x, y, z
  • z, y, x
  • z, x, y
  • x, z, y

Question 3

Question
In IEEE829, the steps of a test script are documented where?
Answer
  • The test plan outline
  • The test case specification
  • The test procedure specification
  • The test design specification

Question 4

Question
In IEEE829, test case specification defines:
Answer
  • The test schedule
  • Test procedures and scripts
  • Test prerequisites, input values, test data and expected results
  • Test conditions and high level test cases

Question 5

Question
Which of the following is a black-box technique?
Answer
  • Statement testing
  • Decision Table testing
  • Multiple Condition testing
  • Decision Testing

Question 6

Question
What is an equivalence partition or class?
Answer
  • A business rule that applies to a range of different input values
  • An input or output range of values such that only one value in the range becomes a test case
  • An input or output range of values such that every value in the range becomes a test case
  • A business rule that applies to a range of different output values

Question 7

Question
What is an invalid boundary value?
Answer
  • A value that is not on the boundary or one increment either side of it
  • A boundary value in an invalid partition
  • Any value that should result in an error message
  • Any value beyond the boundaries of the valid data domain

Question 8

Question
What is a valid boundary value?
Answer
  • Any value within the valid data domain
  • Any value not in an invalid partition
  • A value identified by the boundary value analysis that falls within a valid partition
  • A boundary test resulting in valid test output

Question 9

Question
Equivalence partitioning is a technique:
Answer
  • Appropriate to all levels of testing
  • Used only in static testing
  • Used mainly in acceptance testing
  • Which if employed correctly will ensure 0-switch coverage

Question 10

Question
Loans of £1k to £7k are charged at 9% interest. There are 4 additional bands, B, C, D and E, each increasing the loan by up to £8K on the previous band and decreasing the interest rates to 8%, 7%, 6% and 5% correspondingly. All loans are in multiples of 1K. Which of the following is a valid boundary value analysis test case?
Answer
  • £10K
  • £20K
  • £16K
  • £35K

Question 11

Question
For the loans scenario in Q10 which of the following sets of values falls into the same equivalence class?
Answer
  • £13k, £14k, £15k, £16K
  • £14k, £15k, £16k, £17K
  • £15k, £16k, £17k, £18K
  • £16k, £17k, £18k, £19K

Question 12

Question
Input Invoice numbers can range between 1000 and 99999 inclusive. Which of the following value sets tests only valid equivalence classes and valid boundaries values?
Answer
  • 9999, 50000, 100000
  • 999, 37000, 99999
  • 1000, 45000, 99999
  • 999, 1000, 40000, 99999, 100000

Question 13

Question
A system for classifying people into groups by age uses the following rules: 1) If you are aged 17 or under you are a child 2) Over 17and under 65 you are an adult. 3) 65 or over you are a pensioner
Answer
  • 16, 17, 18
  • 18, 45, 65
  • 16, 45, 68
  • 16, 63, 64

Question 14

Question
Given the following decision table, showing discount policy (where discount applies): What is the expected result for each of the following test cases? A. wholesale order for £2100 B. retail order for £750
Answer
  • A – No free delivery, 6% discount B – Free delivery, 4% discount
  • A – Free delivery, 8% discount B – No free delivery, 6% discount
  • A – Free delivery, 8% discount B – No free delivery, 2% discount
  • A – Free delivery, 8%, discount B – No free delivery, 4% discount

Question 15

Question
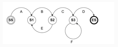
Given the following state transition diagram: How many tests are required for 0-switch coverage?
Answer
  • 7
  • 4
  • 5
  • 6

Question 16

Question
Given the following State Table: How many tests are needed to test for 100% of possible invalid transitions?
Answer
  • 6
  • 24
  • 17
  • 30

Question 17

Question
Which is incorrect concerning Use Cases?
Answer
  • Each use case may have many scenarios
  • They are useful as a test basis in user acceptance testing
  • They show the process flows through the system
  • They are used in component testing

Question 18

Question
Which of the following is a structural test technique?
Answer
  • Decision table testing
  • Decision testing
  • Boundary value analysis
  • State transition testing

Question 19

Question
Which of the following techniques is NOT a black-box technique?
Answer
  • Equivalence partitioning
  • State transition testing
  • Statement testing
  • Boundary value analysis

Question 20

Question
Consider the following statements: v. White-box testing eliminates the need for black-box testing w. Multiple condition testing is another name for decision testing x.100% decision coverage guarantees 100% statement coverage y.100% statement coverage guarantees 100% decision coverage
Answer
  • x is true, others are false
  • x & y are true, v & w are false
  • x & y are false, v & w are true
  • y is false, others are true

Question 21

Question
Which of these statements about test techniques is incorrect?
Answer
  • Decision testing is a structural technique and has a measure attached
  • Equivalence partitioning is the same category of technique as boundary value analysis
  • State transition testing is the same category of technique as statement testing
  • Decision testing is short for decision table testing

Question 22

Question
For the following pseudo-code: IF A > B THEN subtract 2 from A IF A < 6 THEN add 3 to A ELSE add 4 to A END IF ELSE subtract 1 from B END IF Which of the following concerning the number of tests required for 100% coverage (in both cases) is correct?
Answer
  • SC = 1, DC = 1
  • SC = 1, DC = 2
  • SC = 2, DC = 3
  • SC = 3, DC = 3

Question 23

Question
Which is true of error guessing?
Answer
  • It is the best way to derive test cases
  • It is best used after more formal techniques have been applied
  • It is used by inexperienced testers
  • It should only be used when there is insufficient time to apply more formal techniques

Question 24

Question
Fault Attack is:
Answer
  • A structured approach to error guessing
  • When a system is prone to failure as a result of poor coding standards
  • A risk to people employed as testers
  • Attempting to break the system security

Question 25

Question
The test techniques chosen are influenced by:
Answer
  • The size of the test team and the age of the testers
  • The level of risk and regulatory requirements
  • The size of the system and the test tools available
  • The preferences of the project manager

Question 26

Question
is described here? ‘An informal test design technique where the tester actively controls the design of the tests as those tests are performed and uses information gained while testing to design new and better tests’
Answer
  • Static testing
  • Error guessing
  • Fault attack
  • Exploratory testing
Show full summary Hide full summary

Similar

How well do you know GoConqr?
Sarah Egan
6. Test Management
Rachel Sprague
2. Testing Through LIfecycle
Rachel Sprague
7. Tool Support for Testing
Rachel Sprague
5. Static Techniques
Rachel Sprague
dimension tests
dario.budimir
1. Fundamentals
Rachel Sprague
Test
jeanber