Electrochemistry- Term 1, Year 12

Description

Term 1 - Year 12
Valerie Shepherd
Quiz by Valerie Shepherd, updated more than 1 year ago
Valerie Shepherd
Created by Valerie Shepherd over 11 years ago
49
0

Resource summary

Question 1

Question
Oxidation is the ______ of electrons
Answer
  • Loss
  • Gain

Question 2

Question
Which is the correct short-hand notation for a cell?
Answer
  • Anode Half-cell | Cathode Electrolyte || Anode Electrolyte | Cathode Half-cell
  • Anode Half-cell | Anode Electrolyte || Cathode Electrolyte | Cathode Half-cell
  • Cathode Half-cell | Cathode Electrolyte || Anode Electrolyte | Anode Half-cell
  • Cathode Half-cell || Anode Electrolyte | Cathode Electrolyte || Anode Half-cell

Question 3

Question
In the following equation, Copper is oxidised: Zn + CuSO4 -> ZnSO4 + Cu
Answer
  • True
  • False

Question 4

Question
What is cathodic protection?
Answer
  • Electrons are forced back into the metal to prevent corrosion
  • Metals are combined to form an alloy which forms an oxide layer
  • Metal is covered in a layer of a non-corrosive metal

Question 5

Question
Corrosion will occur when two ________ are in contact
Answer
  • Dissimilar metals
  • Similar metals
  • Metals

Question 6

Question
Standard conditions for electrochemical reactions are: 25 degrees Celsius; [all ions] = 1M; P for all gases = 101.3kPa
Answer
  • True
  • False

Question 7

Question
A negative Ecell value means that the reaction is spontaneous
Answer
  • True
  • False

Question 8

Question
The higher the reduction potential, the more a metal will want to change into a solid state of matter
Answer
  • True
  • False

Question 9

Question
If Cd and Fe reacted, what would the final reaction be, and what would the Ecell value be? [Cd(2+) + 2e- -> Cd = -0.40V] [Fe(2+) +2e- -> Fe = -0.45V]
Answer
  • Fe(2+)(aq) + Cd(s) -> Fe(s) + Cd(2+)(aq) = -0.05V
  • Fe(2+)(aq) + Cd(s) -> Fe(s) + Cd(2+)(aq) = +0.05V
  • Fe(s) + Cd(2+)(aq) -> Fe(2+)(aq) + Cd(s) = +0.05V
  • Fe(s) + Cd(2+)(aq) -> Fe(2+)(aq) + Cd(s) = -0.05V

Question 10

Question
Why doesn't aluminium (Al) corrode under standard conditions?
Answer
  • It forms an oxide layer of 2 aluminium atoms and 3 oxygen atoms
  • It has a negative oxidation potential and therefore does not corrode spontaneously
  • It forms an oxide layer of 1 aluminium atom and 1 oxygen atom

Question 11

Question
Which of the following do not corrode spontaneously?
Answer
  • Iron (Fe)
  • Gold (Au)
  • Platinum (Pt)
  • Silver (Ag)
  • Zinc (Zn)
  • Copper (Cu)

Question 12

Question
In what direction do electrons spontaneously flow?
Answer
  • Negative to positive
  • Positive to negative
  • Cathode to anode
  • Anode to cathode

Question 13

Question
What is the oxidation number of Oxygen in Hydrogen Peroxide?
Answer
  • -2
  • +2
  • +1
  • -1

Question 14

Question
What is the oxidation number of Hydrogen in LiH?
Answer
  • +1
  • +2
  • -1
  • -2

Question 15

Question
In a galvanic cell, what is an observation made about the cathode?
Answer
  • The cathode will be corroding
  • The cathode will be gaining a deposit

Question 16

Question
What does a salt bridge do?
Answer
  • Allows the migration of ions to solutions
  • Allows the migration of electrons to solutions
  • Allows the migration of atoms to solutions

Question 17

Question
The reason a salt bridge is needed is to ensure that the solutions are not becoming too positive or negative
Answer
  • True
  • False

Question 18

Question
What is the charge of Phosphorus in the Phosphate ion?
Answer
  • 5+
  • 3+
  • 2+
  • 3-

Question 19

Question
What is the charge of Sulfur in the Sulfate ion?
Answer
  • 6+
  • 4+
  • 3-
  • 5-

Question 20

Question
What is the charge of Chromium in the Dichromate ion?
Answer
  • 6+
  • 12+
  • 3+
  • 4-

Question 21

Question
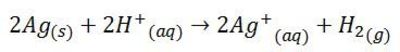
What is the reducing agent in a redox reaction between zinc and a silver nitrate solution?
Answer
  • Zinc
  • Silver
  • Nitrate ions
  • Zinc ions

Question 22

Question
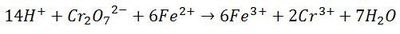
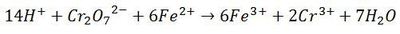
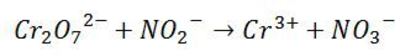
What is the oxidation of iron (II) ions to iron (III) ions by dichromate to Cr (III) ions in acidic solution? (Open in full-screen to view answers properly)

Question 23

Question
In a reaction with Zinc and Copper Sulfate to Zinc Sulfate and Copper, the copper is reduced.
Answer
  • True
  • False

Question 24

Question
A reaction with Iron and Copper Sulfate to Copper and Iron Sulphate is spontaneous.
Answer
  • True
  • False

Question 25

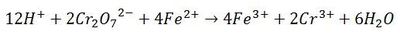
Question
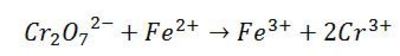
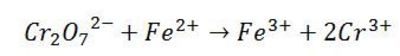
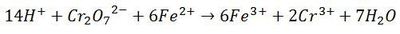
The following equation is balanced as acidic, how would this be different if balanced as basic? (Open in full-screen to view answers properly)

Question 26

Question
An atom with a high electronegativity will want to be...
Answer
  • Oxidised
  • Reduced

Question 27

Question
What is the electrode potential for the following reaction?
Answer
  • -0.80V
  • 0.80V
  • 1.20V
  • 0.00V

Question 28

Question
According to the voltaic cell seen, which metal ion will move to the cathode and be reduced?
Answer
  • Zinc
  • Magnesium
  • Copper (II)
  • Copper (I)

Question 29

Question
If the following is balanced in an acidic solution, what is the coefficient in front of the nitrate ions?
Answer
  • 1
  • 2
  • 3
  • 4

Question 30

Question
If the following cell was created with the initial mass of the Pb electrode as 15.62g and the initial mass of the Fe electrode as 10.70g (with the deposit on the cathode having a mass of 0.938g); what would be the final mass of the Fe electrode and what would be the final concentration of the Fe (II) ion solution?
Answer
  • Final mass 10.45g; concentration 0.11M
  • Final mass 0.11g; concentration 10.45M
  • Final mass 8.35g; concentration 0.64M
  • Final mass 5.28g; concentration 1.22M

Question 31

Question
If the following cell was created in a 250mL solution of 0.5mol/L with the initial mass of the Cu electrode as 23.62g and the initial mass of the Zn electrode as 18.94g (with the deposit on the cathode having a mass of 1.426g); what would be the final mass of the Zn electrode and what would be the final concentration of the Zn (II) ion solution?
Answer
  • Final mass 17.47g; 0.59M
  • Final mass 14.34g; 0.48M
  • Final mass 12.62g; 1.48M
  • Final mass 18.01g; 1.02M

Question 32

Question
If the following cell was created with the initial mass of the Cu electrode as 15.00g and the final mass of the Zn electrode as 12.00g (with the deposit on the cathode having a mass of 1.00g); what would be the initial mass of the Zn electrode?
Answer
  • 13.03g
  • 14.63g
  • 12.83g
  • 13.85g
Show full summary Hide full summary

Similar

Using GoConqr to study science
Sarah Egan
Electrolysis
lisawinkler10
Acids and Bases
silviaod119
Elements, Compounds and Mixtures
silviaod119
Chemistry General Quiz - 2
lauren_johncock
Chemistry Quiz General -3
lauren_johncock
Chemistry Module C2: Material Choices
James McConnell
AS Chemistry - Enthalpy Changes
Sarah H-V
The Periodic Table
asramanathan
Introduction to the Atom
Derek Cumberbatch
Acids and Bases
Sarah Egan