q2

Description

qa
Rachel Sprague
Quiz by Rachel Sprague, updated more than 1 year ago
Rachel Sprague
Created by Rachel Sprague about 9 years ago
35
0

Resource summary

Question 1

Question
Which of the following statements BEST describes one of the seven key principles of software testing?
Answer
  • Automated tests are better than manual tests for avoiding the Exhaustive Testing.
  • Exhaustive testing is, with sufficient effort and tool support, feasible for all software.
  • It is normally impossible to test all input / output combinations for a software system.
  • The purpose of testing is to demonstrate the absence of defects.

Question 2

Question
Which of the following statements is the MOST valid goal for a test team?
Answer
  • Determine whether enough component testing was executed.
  • Cause as many failures as possible so that faults can be identified and corrected.
  • Prove that all faults are identified.
  • Prove that any remaining faults will not cause any failures.

Question 3

Question
Which of these tasks would you expect to perform during Test Analysis and Design?
Answer
  • Setting or defining test objectives.
  • Reviewing the test basis.
  • Creating test suites from test procedures.
  • Analyzing lessons learned for process improvement.

Question 4

Question
Below is a list of problems that can be observed during testing or operation. Which is MOST likely a failure?
Answer
  • The product crashed when the user selected an option in a dialog box.
  • One source code file included in the build was the wrong version.
  • The computation algorithm used the wrong input variables.
  • The developer misinterpreted the requirement for the algorithm.

Question 5

Question
Which of the following, if observed in reviews and tests, would lead to problems (or conflict) within teams?
Answer
  • Testers and reviewers are not curious enough to find defects.
  • Testers and reviewers are not qualified enough to find failures and faults.
  • Testers and reviewers communicate defects as criticism against persons and not against the software product.
  • Testers and reviewers expect that defects in the software product have already been found and fixed by the developers.

Question 6

Question
Which of the following statements are TRUE? A. Software testing may be required to meet legal or contractual requirements. B. Software testing is mainly needed to improve the quality of the developer’s work. C. Rigorous testing and fixing of defects found can help reduce the risk of problems occurring in an operational environment. D. Rigorous testing is sometimes used to prove that all failures have been found.
Answer
  • B and C are true; A and D are false.
  • A and D are true; B and C are false.
  • A and C are true, B and D are false.
  • C and D are true, A and B are false.

Question 7

Question
Which of the following statements BEST describes the difference between testing and debugging?
Answer
  • Testing pinpoints (identifies the source of) the defects. Debugging analyzes the faults and proposes prevention activities.
  • Dynamic testing shows failures caused by defects. Debugging finds, analyzes, and removes the causes of failures in the software.
  • Testing removes faults. Debugging identifies the causes of failures.
  • Dynamic testing prevents causes of failures. Debugging removes the failures.

Question 8

Question
Which statement below BEST describes non-functional testing?
Answer
  • The process of testing an integrated system to verify that it meets specified requirements.
  • The process of testing to determine the compliance of a system to coding standards.
  • Testing without reference to the internal structure of a system.
  • Testing system attributes, such as usability, reliability or maintainability.

Question 9

Question
What is important to do when working with software development models?
Answer
  • To adapt the models to the context of project and product characteristics.
  • To choose the waterfall model because it is the first and best proven model.
  • To start with the V-model and then move to either iterative or incremental models.
  • To only change the organization to fit the model and not vice versa.

Question 10

Question
Which of the following characteristics of good testing apply to any software development life cycle model?
Answer
  • Acceptance testing is always the final test level to be applied.
  • All test levels are planned and completed for each developed feature.
  • Testers are involved as soon as the first piece of code can be executed.
  • For every development activity there is a corresponding testing activity.

Question 11

Question
For which of the following would maintenance testing be used?
Answer
  • Correction of defects during the development phase.
  • Planned enhancements to an existing operational system.
  • Complaints about system quality during user acceptance testing.
  • Integrating functions during the development of a new system.

Question 12

Question
Which of the following statements are TRUE? A. Regression testing and acceptance testing are the same. B. Regression tests show if all defects have been resolved. C. Regression tests are typically well-suited for test automation. D. Regression tests are performed to find out if code changes have introduced or uncovered defects. E. Regression tests should be performed in integration testing.
Answer
  • A, C and D and E are true; B is false.
  • A, C and E are true; B and D are false.
  • C and D are true; A, B and E are false.
  • B and E are true; A, C and D are false.

Question 13

Question
Which of the following comparisons of component testing and system testing are TRUE?
Answer
  • Component testing verifies the functioning of software modules, program objects, and classes that are separately testable, whereas system testing verifies interfaces between components and interactions with different parts of the system.
  • Test cases for component testing are usually derived from component specifications, design specifications, or data models, whereas test cases for system testing are usually derived from requirement specifications, functional specifications or use cases.
  • Component testing focuses on functional characteristics, whereas system testing focuses on functional and non-functional characteristics.
  • Component testing is the responsibility of the technical testers, whereas system testing typically is the responsibility of the users of the system.

Question 14

Question
Which of the following are the main phases of a formal review?
Answer
  • Initiation, status, preparation, review meeting, rework, follow up.
  • Planning, preparation, review meeting, rework, closure, follow up.
  • Planning, kick off, individual preparation, review meeting, rework, follow up.
  • Preparation, review meeting, rework, closure, follow up, root cause analysis.

Question 15

Question
Which TWO of the review types below are the BEST fitted (most adequate) options to choose for reviewing safety critical components in a software project? Select 2 options.
Answer
  • Informal review.
  • Management review.
  • Inspection.
  • Walkthrough.
  • Technical Review.

Question 16

Question
Which of the following statements about static analysis is FALSE?
Answer
  • Static analysis can be used as a preventive measure with appropriate process in place.
  • Static analysis can find defects that are not easily found by dynamic testing.
  • Static analysis can result in cost savings by finding defects early.
  • Static analysis is a good way to force failures into the software.

Question 17

Question
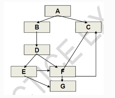
One of the test goals for the project is to have 100% decision coverage. The following three tests have been executed for the control flow graph shown below. Test A covers path: A, B, D, E, G. Test B covers path: A, B, D, E, F, G. Test C covers path: A, C, F, C, F, C, F, G. Which of the following statements related to the decision coverage goal is correct?
Answer
  • Decision D has not been tested completely.
  • 100% decision coverage has been achieved.
  • Decision E has not been tested completely.
  • Decision F has not been tested completely.

Question 18

Question
A defect was found during testing. When the network got disconnected while receiving data from a server, the system crashed. The defect was fixed by correcting the code that checked the network availability during data transfer. The existing test cases covered 100% of all statements of the corresponding module. To verify the fix and ensure more extensive coverage, some new tests were designed and added to the test suite.What types of testing are mentioned above? A. Functional testing. B. Structural testing. C. Re-testing. D. Performance testing.
Answer
  • A, B and D
  • A and C
  • A, B and C
  • A, C and D

Question 19

Question
Which of the following statements about the given state table is TRUE?
Answer
  • The state table can be used to derive both valid and invalid transitions.
  • The state table represents all possible single transitions.
  • The state table represents only some of all possible single transitions.
  • The state table represents sequential pairs of transitions.

Question 20

Question
Which of the following statements are true for the equivalence partitioning test technique? A. Divides possible inputs into classes that have the same behaviour. B. Uses both valid and invalid partitions. C. Makes use only of valid partitions. D. Must include at least two values from every equivalence partition. E. Can be used only for testing equivalence partitions inputs from a Graphical User Interface.
Answer
  • A, B and E are true; C and D are false.
  • A, C and D are true; B and E are false.
  • A and E are true; B, C and D are false.
  • A and B are true; C, D and E are false.

Question 21

Question
Which TWO of the following solutions below lists techniques that can all be categorized as Black Box design techniques? Select 2 options.
Answer
  • Equivalence Partitioning, decision tables, state transition, and boundary value.
  • Equivalence Partitioning, decision tables, use case.
  • Equivalence Partitioning, decision tables, checklist based, statement coverage, use case.
  • Equivalence Partitioning, cause-effect graph, checklist based, decision coverage, use case.
  • Equivalence Partitioning, cause-effect graph, checklist based, decision coverage and boundary value.

Question 22

Question
An employee’s bonus is to be calculated. It cannot become negative, but it can be calculated to zero. The bonus is based on the duration of the employment. An employee can be employed for less than or equal to 2 years, more than 2 years but less than 5 years, 5 to 10 years, or longer than 10 years. Depending on this period of employment, an employee will get either no bonus or a bonus of 10%, 25% or 35%. How many equivalence partitions are needed to test the calculation of the bonus?
Answer
  • 3
  • 5
  • 2
  • 4

Question 23

Question
Which of the following statements about the benefits of deriving test cases from use cases are most likely to be true? A. Deriving test cases from use cases is helpful for system and acceptance testing. B. Deriving test cases from use cases is helpful only for automated testing. C. Deriving test cases from use cases is helpful for component testing. D. Deriving test cases from use cases is helpful for testing the interaction between different components of the system.
Answer
  • A and D are true; B and C are false.
  • A is true; B, C and D are false.
  • A and B are true; C and D are false.
  • C is true; A, B and D are false.

Question 24

Question
Which of the below would be the best basis for fault attack testing?
Answer
  • Experience, defect and failure data, knowledge about software failures.
  • Risk analysis performed at the beginning of the project.
  • Use Cases derived from the business flows by domain experts.
  • Expected results from comparison with an existing system.

Question 25

Question
Which of the following would be the best test approach when there are poor specifications and time pressures?
Answer
  • Use Case Testing.
  • Condition Coverage.
  • Exploratory Testing.
  • Path Testing.

Question 26

Question
Which one of the following techniques is structure-based?
Answer
  • Decision testing.
  • Boundary value analysis.
  • Equivalence partitioning.
  • State transition testing.

Question 27

Question
You have started specification-based testing of a program. It calculates the greatest common divisor (GCD) of two integers (A and B) greater than zero. calcGCD (A, B); The following test cases (TC) have been specified. INT_MAX: largest Integer Which test technique has been applied in order to determine test cases 1 through 6?
Answer
  • Boundary value analysis.
  • State transition testing.
  • Equivalence partitioning.
  • Decision table testing

Question 28

Question
Consider the following state transition diagram and test case table: Which of the following statements are TRUE? A. The test case table exercises the shortest number of transitions. B. The test case gives only the valid state transitions. C. The test case gives only the invalid state transitions. D. The test case exercises the longest number of transitions.
Answer
  • Only A is true; B, C and D are false.
  • Only B is true; A, C and D are false.
  • A and D are true; B, C are false.
  • Only C is true; A, B and D are false.

Question 29

Question
Which of the following best describes the task partition between test manager and tester?
Answer
  • The test manager plans testing activities and chooses the standards to be followed, while the tester chooses the tools and controls to be used.
  • The test manager plans, organizes and controls the testing activities, while the tester specifies, automates and executes tests.
  • The test manager plans, monitors and controls the testing activities, while the tester designs tests.
  • The test manager plans and organizes the testing and specifies the test cases, while the tester prioritizes and executes the tests.

Question 30

Question
Which of the following can be categorized as product risks?
Answer
  • Low quality of requirements, design, code and tests.
  • Political problems and delays in especially complex areas in the product.
  • Error-prone areas, potential harm to the user, poor product characteristics.
  • Problems in defining the right requirements, potential failure areas in the software or system.

Question 31

Question
Which of the following are typical test exit criteria?
Answer
  • Thoroughness measures, reliability measures, test cost, schedule, state of defect correction and residual risks.
  • Thoroughness measures, reliability measures, degree of tester independence and product completeness.
  • Thoroughness measures, reliability measures, test cost, time to market and product completeness, availability of testable code.
  • Time to market, residual defects, tester qualification, degree of tester independence, thoroughness measures and test cost.

Question 32

Question
As a Test Manager you have the following requirements to be tested: Requirements to test: R1 - Process Anomalies – High Complexity R2 - Remote Services – Medium Complexity R3 – Synchronization – Medium Complexity R4 – Confirmation – Medium Complexity R5 - Process closures – Low Complexity R6 – Issues – Low Complexity R7 - Financial Data – Low Complexity R8 - Diagram Data – Low Complexity R9 - Changes on user profile – Medium Complexity Requirements logical dependencies (A -> B means that B is dependent on A): How would you structure the test execution schedule according to the requirement dependencies?
Answer
  • R4 > R5 > R1 > R2 > R3 > R7 > R8 > R6 > R9.
  • R1 > R2 > R3 > R4 > R5 > R7 > R8 > R6 > R9.
  • R1 > R2 > R4 > R5 > R3 > R7 > R8 > R6 > R9.
  • R1 > R2 > R3 > R7 > R8 > R4 > R5 > R6 > R9.

Question 33

Question
What is the benefit of independent testing?
Answer
  • More work gets done because testers do not disturb the developers all the time.
  • Independent testers tend to be unbiased and find different defects than the developers.
  • Independent testers do not need extra education and training.
  • Independent testers reduce the bottleneck in the incident management process.

Question 34

Question
Which of the following would be categorized as project risks?
Answer
  • Skill and staff shortages.
  • Poor software characteristics.
  • Failure-prone software delivered.
  • Possible reliability defect (bug).

Question 35

Question
As a test manager you are asked for a test summary report. Concerning test activities and according to IEEE 829 Standard, what should you consider in your report?
Answer
  • The number of test cases using Black Box techniques.
  • A summary of the major testing activities, events and its status in respect of meeting goals.
  • Overall evaluation of each development work item.
  • Training taken by members of the test team to support the test effort.

Question 36

Question
You are a tester in a safety-critical software development project. During execution of a test, you find out that one of your expected results was not achieved. You write an incident report about it. What do you consider to be the most important information to include according to the IEEE Std. 829?
Answer
  • Impact, incident description, date and time, your name.
  • Unique id for the report, special requirements needed.
  • Transmitted items, your name and you’re feeling about the defect source.
  • Incident description, environment, expected results.

Question 37

Question
From the list below, select the recommended principles for introducing a chosen test tool in an organization? 1. Roll the tool out to the entire organization at the same time. 2. Start with a pilot project. 3. Adapt and improve processes to fit the use of the tool. 4. Provide training and coaching for new users. 5. Let each team decide their own standard ways of using the tool. 6. Monitor that costs do not exceed initial acquisition cost. 7. Gather lessons learned from all teams.
Answer
  • 1, 2, 3, 5
  • 1, 4, 6, 7
  • 2, 3, 4, 7
  • 3, 4, 5, 6

Question 38

Question
Which one of the following best describes a characteristic of a keyword-driven test execution tool?
Answer
  • A table with test input data, action words, and expected results, controls execution of the system under test.
  • Actions of testers recorded in a script that is rerun several times.
  • Actions of testers recorded in a script that is run with several sets of test input data.
  • The ability to log test results and compare them against the expected results, stored in a text file.

Question 39

Question
Which of the following is NOT a goal of a Pilot Project for tool evaluation?
Answer
  • To evaluate how the tool fits with existing processes and practices.
  • To determine use, management, storage, and maintenance of the tool and test assets.
  • To assess whether the benefits will be achieved at reasonable cost.
  • To reduce the defect rate in the Pilot Project.

Question 40

Question
Below is a list of test efficiency improvement goals a software development and test organization would like to achieve. Which of these goals would best be supported by a test management tool?
Answer
  • To build traceability between requirements, tests, and bugs.
  • To optimize the ability of tests to identify failures.
  • To resolve defects faster.
  • To automate selection of test cases for execution.
Show full summary Hide full summary

Similar

How well do you know GoConqr?
Sarah Egan
Chemistry Ion Testing Quiz
Ben Botting
6. Test Management
Rachel Sprague
2. Testing Through LIfecycle
Rachel Sprague
3-4. Test Design
Rachel Sprague
7. Tool Support for Testing
Rachel Sprague
5. Static Techniques
Rachel Sprague
Testing for ions
Joshua Rees
General Knowledge Quiz
Andrea Leyden