null
US
Sign In
Sign Up for Free
Sign Up
We have detected that Javascript is not enabled in your browser. The dynamic nature of our site means that Javascript must be enabled to function properly. Please read our
terms and conditions
for more information.
Next up
Copy and Edit
You need to log in to complete this action!
Register for Free
7174952
Algebra 2 AB Unit 1 Topic 3 SLT16-19 Test Review
Description
Test Review
No tags specified
algebra 2
common core
test review
10th grade
Quiz by
Staci Gallun
, updated more than 1 year ago
More
Less
Created by
Staci Gallun
almost 9 years ago
126
0
0
Resource summary
Question 1
Question
Select the correct option.
Image:
36468b3c-cffd-4176-abfd-22b4ca5dd9fb (image/png)
Answer
growth
decay
growth
decay
growth
decay
Question 2
Question
Solve for x or a: Write the numerical answer in the blank, write your answers as a decimal, if necessary!
Image:
ed30cd95-cccd-4308-86f7-f8a17f4ac447 (image/png)
Answer
2
-1.5
Question 3
Question
Solve for x: Round your answer to THREE decimal places (5 and above round up).
Image:
8523b69c-8be6-4539-959f-7783c020495a (image/png)
Answer
1.683
2.465
Question 4
Question
Determine the amount of money in the each bank after one year. Be sure to round each answer accurately to TWO decimal places (it is money) and include the units ($ before the number).
Image:
8d506a27-7c61-45dc-8944-bba723eda0b5 (image/png)
Answer
$354.55
$354.46
$354.58
$354.58
Question 5
Question
Drag and drop the correct answers.
Image:
78c0e744-8538-4f8f-88b3-ae4f3baf7170 (image/png)
Answer
A=23000(1-.15)^t
A=23000(1-.15)^3
A=23000(1+.15)^t
A=23000(1-15)^t
A=23000(1-.15)^4
A=23000(1+.15)^4
$12006.14
$3271.56
$14124.88
$40227.14
$123055.75
$883568000
Question 6
Question
Drag and drop the correct answers.
Image:
dd85f7b6-e982-4dde-aae9-d258d354e302 (image/png)
Answer
.44
44%
.31
31%
1.44
.694
69.4%
-.31
A=2000(1+.44)^t
A=2880(1+.44)^t
A=2000(1+.44)^1
A=2000(1+31)^t
A=2880(1-.44)^t
A=2000(1+.31)^t
Question 7
Question
Use the drop down menu to select the correct responses.
Image:
b7db594e-5230-4755-b6a1-216ceb4312fb (image/png)
Answer
All Real Numbers
(-infinity, 0)
(0, infinity)
(1,2)
(1,infinity)
Does Not Exist
(-infinity,infinity)
(0, infinity)
All Real Numbers
Never
(0,1)
x=0
(0,1)
y=0
y=1
(2,4)
(1,0)
(0,1)
None
(2,4)
y=1
(-4,0)
(-4,0)
(0,-4)
y=0
None
Infinity
(0,1)
Question 8
Question
Drag and drop the correct formula.
Image:
f07dec71-52e8-4bd4-9b90-f803f8474774 (image/jpeg)
Answer
A=P(1+r)^t
A=Pe^(rt)
A=P(1-r)^t
A=P(1+r/n)^(nt)
Question 9
Question
Select the correct answer.
Image:
5167d5b1-1335-4d07-84ce-7b7b6961c9a1 (image/png)
Answer
a
b
c
d
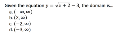
Question 10
Question
Select the correct answer.
Image:
e1082347-f0dd-422f-b132-a165085026f8 (image/png)
Answer
a
b
c
d
Question 11
Question
Select the correct answer.
Image:
c33b91ca-9ce2-493a-bbf1-c668107e4e67 (image/png)
Answer
a
b
c
d
Question 12
Question
Select the correct answer.
Image:
b0a0ca11-e9b4-4d01-8838-6cd2211ede1b (image/png)
Answer
a
b
c
d
Question 13
Question
Select the correct answer.
Image:
83db7def-a613-4661-a5f3-e50597a63a2c (image/png)
Answer
a
b
c
d
Question 14
Question
Select the correct answer.
Image:
a6031d1c-9e3f-42af-b1b6-062929379bd3 (image/png)
Answer
a
b
c
d
Question 15
Question
Select the correct answer.
Image:
f0d8d0e1-0ee8-44e8-93ec-972653132c2d (image/png)
Answer
a
b
c
d
Question 16
Question
Select the correct answer.
Image:
6c958dbc-c44d-4111-9aa4-2d3a2bb79fbe (image/png)
Answer
a
b
c
d
Question 17
Question
Select the correct answer.
Image:
3be4bc3b-ef03-465e-a268-ee370dfb1227 (image/png)
Answer
a
b
c
d
Question 18
Question
Select all that apply.
Image:
fc154e83-c8c5-4d6f-8912-827c342d300a (image/png)
Answer
a
b
c
d
e
f
g
Question 19
Question
The vertex of the graph is [blank_start](2,5)[blank_end].
Image:
16c7a7c6-31b2-4f62-b552-53a2366acedd (image/png)
Answer
(2,5)
Question 20
Question
Fill in the blanks.
Image:
0b6b887b-50b8-47ae-9a1b-25a986e77349 (image/png)
Answer
2
4
x=-2
Show full summary
Hide full summary
Want to create your own
Quizzes
for
free
with GoConqr?
Learn more
.
Similar
Graphing Inequalities
Selam H
Algebra 2 Quality Core
Niat Habtemariam
EVEN/ODD FUNCTION
Staci Gallun
Beggining Algebra 2
Selam H
Chapter 4 vocab
Malini G
Unit 5 - Exponents and Radicals
aaronmoorer
Chapter 4 Quiz
Malini G
Greeting visitors to your country
baum.marsha
Geometry Density
Cassidy Paine
MACBETH TEST REVIEW
Anne D
FA CCC Common Core
John Doe
Browse Library