null
US
Sign In
Sign Up for Free
Sign Up
We have detected that Javascript is not enabled in your browser. The dynamic nature of our site means that Javascript must be enabled to function properly. Please read our
terms and conditions
for more information.
Next up
Copy and Edit
You need to log in to complete this action!
Register for Free
7213150
Similarity - proportions
Description
Similarity in proportional triangles
No tags specified
similarity
proportions
triangles
10th grade
Quiz by
Cassidy Paine
, updated more than 1 year ago
More
Less
Created by
Cassidy Paine
almost 9 years ago
1286
2
0
Resource summary
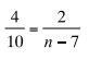
Question 1
Question
Solve each proportion: n = [blank_start]8.75[blank_end]
Image:
f7449888-e955-4057-9c72-5f85d0106e60 (image/png)
Answer
8.75
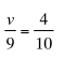
Question 2
Question
Solve each proportion: v = [blank_start]3.6[blank_end]
Image:
b12ba256-1a06-41ca-a5df-f6ba67e1859f (image/png)
Answer
3.6
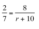
Question 3
Question
Solve each proportion: r = [blank_start]18[blank_end]
Image:
860d1c43-d324-4ad4-bf95-b86551ba8f34 (image/png)
Answer
18
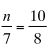
Question 4
Question
Solve each proportion: n = [blank_start]12[blank_end]
Image:
402e9d5c-257b-4db6-8b8b-18a7464cdcf7 (image/png)
Answer
12
Question 5
Question
Find the missing side lengths in each pair of similar figures: x = [blank_start]15[blank_end]
Image:
cacdd730-3a0c-40a9-a741-59f1bb70a321 (image/png)
Answer
15
Question 6
Question
Find the missing side lengths in each pair of similar figures: x = [blank_start]25[blank_end]
Image:
cf8a365f-72de-420b-8be9-855d38ba9c33 (image/png)
Answer
25
Question 7
Question
Find the missing side lengths in each pair of similar figures: x = [blank_start]17[blank_end] y = [blank_start]8[blank_end]
Image:
6efb6813-e685-49bd-a5df-8031d6dfe7ec (image/png)
Answer
17
8
Question 8
Question
Find the missing side lengths in each pair of similar figures: x = [blank_start]15.6[blank_end] y = [blank_start]6[blank_end]
Image:
b5be9ab9-66bd-43aa-aefa-638e02e1b05a (image/png)
Answer
15.6
6
Question 9
Question
Find the missing side lengths in each pair of similar figures: x = [blank_start]9[blank_end]
Image:
85e34ab3-7198-4ab8-b473-d273c6d8e45d (image/png)
Answer
9
Question 10
Question
Find the missing side lengths in each pair of similar figures: x = [blank_start]10[blank_end] y = [blank_start]7.5[blank_end]
Image:
4cd01b26-9692-4714-8323-41ca2e8a582e (image/png)
Answer
10
7.5
Question 11
Question
Solve for x using what you know about similar triangles: x = [blank_start]36[blank_end]
Image:
58b11225-0778-48b5-a477-5c538765fb95 (image/png)
Answer
36
Question 12
Question
Solve for x using what you know about similar triangles: x = [blank_start]10[blank_end]
Image:
1d55a4d5-bb6b-4be2-b661-1526af30ad52 (image/png)
Answer
10
Question 13
Question
Solve for x using what you know about similar triangles: x = [blank_start]16[blank_end]
Image:
da6b7fb2-d766-4d04-aa94-7dc2286fc475 (image/png)
Answer
16
Question 14
Question
Solve for x using what you know about similar triangles: x = [blank_start]8[blank_end]
Image:
d1ab5828-919f-466b-a8fe-ffa55515946e (image/png)
Answer
8
Question 15
Question
Solve for x using what you know about similar triangles: x = [blank_start]6[blank_end]
Image:
5750a4b6-9b2c-4b68-8311-f8fc11778d7f (image/png)
Answer
6
Question 16
Question
Solve for x using what you know about similar triangles: x = [blank_start]35[blank_end]
Image:
1ba109f4-f587-4629-a6dd-d74e6fd8845c (image/png)
Answer
35
Show full summary
Hide full summary
Want to create your own
Quizzes
for
free
with GoConqr?
Learn more
.
Similar
Similar Triangles, Proportions, and Side Splitting Theorem
Staci Gallun
RQA Q2 Review
Cassidy Paine
***Ratios, Rates. and Proportion Study Cards (7th Grade)
irenepapers
Angle Rules
Noah Swanson
Triangle Types
Oliver Balay
Dilation with scale factor
Cassidy Paine
Triangles Quiz
Oliver Balay
Basics of Geometry
Kate Larsen
RQA Q2 Review rev
C Fry
RQA Q2 Review
Reyhaneh Khaze
Congruency Theorems
Alyxandria Hodgin
Browse Library