null
Sign In
Sign Up for Free
Sign Up
We have detected that Javascript is not enabled in your browser. The dynamic nature of our site means that Javascript must be enabled to function properly. Please read our
terms and conditions
for more information.
Next up
Copy and Edit
You need to log in to complete this action!
Register for Free
771503
Additional Science Forces
Description
A Levels Science Quiz on Additional Science Forces , created by crazytomguy on 20/04/2014.
No tags specified
gcse
aqa gcse
physics
gcse additional science
additional science
forces and motion
science
a levels
Quiz by
crazytomguy
, updated more than 1 year ago
More
Less
Created by
crazytomguy
over 11 years ago
112
5
0
Resource summary
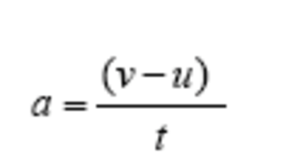
Question 1
Question
What is this working out?
Image:
Acceleration_formula__2_ (image/png)
Answer
Acceleration
Velocity
Force
Resultant force
Question 2
Question
Acceleration is the change in velocity?
Answer
True
False
Question 3
Question
What is a resultant force?
Answer
The direction of the force acting on an object
The overall force acting on an object
The amount of forces acting on an object
Question 4
Question
What is the resulting force on this lorry?
Image:
unbalancedforces.gif (image/gif)
Answer
40 N
5 M/S
6 N
6,000 N
Question 5
Question
If the resulting force is zero it means what? (2 answers)
Answer
The object is stationary
The object has speed up
The object is going backwards
The object is at constant speed
The object is going up
The object has more than 2 forces acting on it
Show full summary
Hide full summary
Want to create your own
Quizzes
for
free
with GoConqr?
Learn more
.
Similar
GCSE AQA Physics - Unit 3
James Jolliffe
GCSE AQA Physics 1 Energy & Efficiency
Lilac Potato
AQA Physics P1 Quiz
Bella Statham
P2 Radioactivity and Stars
dfreeman
Using GoConqr to study science
Sarah Egan
Junior Cert Physics formulas
Sarah Egan
Physics 1A - Energy
Zaki Rizvi
Physics: Energy resources and energy transfer
katgads
P2a revision (part 1)
juliasutton
P2a (part 2)
juliasutton
Units of measurement - physics
Sarah Egan
Browse Library