1_AnS 352 Final Exam Vocab Review

Description

AnS 352 Comprehensive Quiz Questions to study for the final!
Katherine Cummings
Quiz by Katherine Cummings, updated more than 1 year ago More Less
michgreg
Created by michgreg over 9 years ago
Amber Howell
Copied by Amber Howell over 9 years ago
Katherine Cummings
Copied by Katherine Cummings over 8 years ago
1
0

Resource summary

Question 1

Question
A set of rules for deciding which males are mated to which females
Answer
  • Breeding Objectives
  • Mating System
  • Epistasis
  • Breeding Pyramid

Question 2

Question
A polygenic trait is:
Answer
  • A trait affected by one gene
  • A trait that is expresses using numbers
  • A trait that is expresses in categories
  • A trait affected by many genes

Question 3

Question
When _____ gene action is expressed, the performance of the heterozygote is exactly between the expression of the homozygote
Answer
  • Additive
  • Complete Dominance
  • Incomplete Dominance
  • Over-Dominance

Question 4

Question
When _____ gene action is expressed, the performance of the heterozygote is identical to the dominant homozygote.
Answer
  • Epistasis
  • Complete Dominance
  • Incomplete Domiance
  • Over-Dominance

Question 5

Question
When _____ gene action is expressed, the performance of the heterozygote is outside the range of the two homozygotes
Answer
  • Additive
  • Epistasis
  • Incomplete Dominance
  • Over-Dominance

Question 6

Question
Epistasis is a phenomenon in which:
Answer
  • Parental genes are randomly sampled
  • Expression of the heterozygote is not exactly intermediate to the two homozygotes
  • Phenotypic expression is limited to one sex
  • Genes from different loci interact to affect the expression of a phenotype

Question 7

Question
The X and Y chromosomes are referred to as:
Answer
  • autosomes
  • heterozomes
  • allosomes
  • filialsomes

Question 8

Question
Which mode of inheritance refers to phenotypic expression that occurs in only one sex?
Answer
  • Sex-Limited
  • Sex-Influenced
  • Sex-Chromosome
  • Sex-Linked

Question 9

Question
How do we refer to the pattern of inheritance for genes located on the sex chromosomes?
Answer
  • Sex-Limited
  • Over-Dominance
  • Additive
  • Sex-Linked

Question 10

Question
Which mode of inheritance refers to gene expression that is different in males vs. females?
Answer
  • Sex-Limited
  • Sex-Influenced
  • Sex-Chromosome
  • Sex-Linked

Question 11

Question
Consider a hypothetical locus for resistance/susceptibility to the PRRS (porcine respiratory and reproductive syndrome) virus with alleles Pr and Ps. When exposed to the PRRS virus as a young age, PrPr individuals survive 85% of the time while PsPs individuals survive 25% of the time. What is the value of survival percentage for PrPs individuals if the locus exhibits additive gene action?
Answer
  • 85%
  • 55%
  • 40%
  • 25%

Question 12

Question
Consider a hypothetical locus for resistance/susceptibility to the PRRS (porcine respiratory and reproductive syndrome) virus with alleles Pr and Ps. When exposed to the PRRS virus as a young age, PrPr individuals survive 85% of the time while PsPs individuals survive 25% of the time. What is the range of values of survival percentage for PrPs individuals if the locus exhibits incomplete dominance and Pr is the dominant allele?
Answer
  • 55% to 85%
  • Greater than 85%
  • 25% to 55%
  • Less than 25%

Question 13

Question
Consider a hypothetical locus for resistance/susceptibility to the PRRS (porcine respiratory and reproductive syndrome) virus with alleles Pr and Ps. When exposed to the PRRS virus as a young age, PrPr individuals survive 85% of the time while PsPs individuals survive 25% of the time. What is the range of values of survival percentage for PrPs individuals if the locus exhibits over-dominance and Ps is the dominant allele?
Answer
  • 55% to 85%
  • Greater than 85%
  • 25% to 55%
  • Less than 25%

Question 14

Question
The definition of a gene frequency is:
Answer
  • Frequency of a single locus genotype with a population
  • frequency of a single locus within an individual
  • Frequency of a given allele within an individual
  • Frequency of a given allele within a population

Question 15

Question
Within a given population, 92 individuals are BB, 123 individuals are Bb, and 145 individuals are bb. What is the total number of alleles at this given locus?
Answer
  • 307
  • 360
  • 413
  • 720

Question 16

Question
Within a given population, 92 individuals are BB, 123 individuals are Bb, and 145 individuals are bb. What is the genotypic frequency for the Bb genotype?
Answer
  • 74.80%
  • 34.17%
  • 84.83%
  • 17.08%

Question 17

Question
Which of the following is NOT a condition of the Hardy Weinberg law?
Answer
  • No Selection
  • Large Population
  • Low Mutation Rate
  • Randomly Mating Population

Question 18

Question
Assuming all of the conditions of the Hardy Weinberg law have been met and the parental allele frequencies are pM = 0.25 and pm = 0.75 at the M locus, what is the expected frequency of the Mm genotype in the progeny?
Answer
  • 0.1875
  • 0.3750
  • 0.0625
  • 0.5625

Question 19

Question
What effects do mutations have on a population?
Answer
  • increase the amount of genetic variance in the population
  • lower the frequency of favorable alleles in the population
  • decrease the amount of genetic variance in the population
  • increase the frequency of favorable alleles in the population

Question 20

Question
Which of the following factors increases the amount homozygosity within a population?
Answer
  • Mutation
  • Outbreeding
  • Migration
  • Inbreeding

Question 21

Question
Within a given population, 92 individuals are BB, 123 individuals are Bb, and 145 individuals are bb. What is the frequency of the b allele at this locus?
Answer
  • 40.28%
  • 42.64%
  • 54.96%
  • 57.36%

Question 22

Question
Within a given population, sires have allele frequencies of pA = 0.64 and qa = 0.36 at the A locus. Dams have allele frequencies of pA = 0.52 and qa = 0.48 at the A locus. What is the expected frequency of the Aa genotype in the progeny of these sires and dams?
Answer
  • 33.28%
  • 49.44%
  • 24.96%
  • 17.28%

Question 23

Question
Given the following information, what is the gene frequency of the Y allele in this population?
Answer
  • 33%
  • 50%
  • 67%
  • 75%

Question 24

Question
Which of the following is NOT a result of inbreeding?
Answer
  • Increase the likelihood of homozygotes in the population
  • Increase overall genetic variance within the population
  • Increased expression of deleterious recessive alleles
  • Increased phenotypic uniformity among relatives

Question 25

Question
A decrease in population performance following an increase in the number of homozygotes and reduction of genetic variance in a population is called:
Answer
  • Outbreeding
  • Prepotency
  • Inbreeding Depression
  • Transmitting Ability

Question 26

Question
An individual’s value as a parent is known as
Answer
  • Transmitting ability
  • Prepotency
  • Producing Ability
  • Breeding Value

Question 27

Question
The predicted breeding value for the offspring created from a single mating is calculated as:
Answer
  • P = µ + G + E
  • BV= 1/2PD =1/2PD
  • BV (offspring)= 1/2 BV sire= 1/2 Dam
  • P offspring= mew = 1/2BV sire=1/2BVDam + E

Question 28

Question
Traits for which animals typically have more than one performance record are:
Answer
  • Polygenic Traits
  • Repeated Traits
  • Simply Inherited Traits
  • Quantitative traits

Question 29

Question
Which of the following values contains BOTH genetic and environmental components
Answer
  • Producing Ability
  • Breeding Value
  • Gene Combination Value
  • Transmitting Ability

Question 30

Question
Which of the following is an estimate of a population measure?
Answer
  • Animal value
  • Sample statistic
  • Population parameter
  • Breeding Value

Question 31

Question
Calculate the sample mean of the following weaning weight data (lb.).
Answer
  • 48.04 lbs.
  • 60.05 lbs.
  • 120.1 lbs.
  • 240.2 lbs.

Question 32

Question
Calculate the variance for the following set of data (in.).
Answer
  • 0.0313 in2
  • 0.1563 in2
  • 0.0391 in2
  • 0.1977 in2

Question 33

Question
The mean for a given set of data was calculated to be 64.56cM. The variance was calculated to be 306.25cM2. What is the standard deviation for this dataset?
Answer
  • 12.85 cM
  • 14.25 cM
  • 15.95 cM
  • 17.50 cM

Question 34

Question
The mean for a given dataset was calculated to be 10.75lbs. The variance was calculated to be 12.25lbs2. What is the range of values for which you would expect 95% of the population to fall in?
Answer
  • 3.75-17.75lb
  • 7.25-14.25lb
  • 0-23lb
  • 0.25-21.25lb

Question 35

Question
Which of the following represents the correct unit(s) to express a covariance between loin muscle depth (in.) and mature weight (lb.) in pigs?
Answer
  • in.2
  • lb.2
  • in•lb
  • None of the above

Question 36

Question
In a sampling of cattle from a large population, the average birth weight is 72lb. and the average yearling weight is 772lb. The standard deviation for birth weight is 9.5lb and the standard deviation for yearling weight is 57lb. The covariance that was calculated for the two traits is 216lb•lb. What is the phenotypic correlation for this trait?
Answer
  • 0.1319
  • 0.2274
  • 0.0738
  • 0.3989

Question 37

Question
The measure of the strength of the relationship between breeding values for one trait and breeding values in another trait are known as _________:
Answer
  • Genetic Correlation
  • Phenotypic Correlation
  • Environmental Correlation
  • Statistic Correlation

Question 38

Question
In a sampling of cattle from a large population, the average birth weight is 72lb. and the average yearling weight is 772lb. The variance for birth weight is 90.25lb2 and the variance for yearling weight is 3249lb2. The covariance that was calculated for the two traits is 216lb•lb. Calculate the regression coefficient for a regression of birth weight on yearling weight.
Answer
  • 36
  • 2.393
  • 0.066
  • 0.2798

Question 39

Question
Which of the following is NOT a measure that encompasses information from two separate traits
Answer
  • Correlation
  • Variance
  • Covariance
  • Regression

Question 40

Question
In a sampling of pigs from a large population, the average birth weight is 3.461lb and the average weaning weight is 46.603lb. The variance for birth weight is 0.1017lb2 and the variance for weaning weight is 20.5416lb2. The covariance that was calculated for the two traits is 1.3314lb•lb. Calculate the regression coefficient for a regression of weaning weight on birth weight.
Answer
  • 0.0648 lbs/lb
  • 13.0974 lbs/lb
  • 0.9214 lbs/lb
  • 22.9145 lbs/lb

Question 41

Question
What is the possible range for a covariance?
Answer
  • 0 to 1
  • -1 to 1
  • 0 to 100%
  • There is no range

Question 42

Question
In a sampling of cattle from a large population, the average weaning weight (WW) is 464lb and the mean average daily gain (ADG) is 2.53lb/day. The regression coefficient for weaning weight on average daily gain 43.59lb per 1lb/day. Predict what the weaning weight of an animal that has an average daily gain of 2.67lb/day.
Answer
  • 470.1026 lbs
  • 457.8974 lbs
  • 580.3853 lbs
  • 520.6479 lbs

Question 43

Question
Heritability is:
Answer
  • the relationship between the phenotypic values and the permanent environmental effect for a given trait
  • the relationship between the breeding values and the environmental effects for a given trait
  • the relationship between the phenotypic values and the breeding values for a given trait
  • the relationship between the breeding values and producing abilities for a given trait

Question 44

Question
Repeatability is:
Answer
  • the relationship between the phenotypic values and the permanent environmental effect for a given trait
  • the relationship between the breeding values and the producing abilities for a given trait
  • the relationship between the phenotypic values and the breeding values for a given trait
  • the relationship between the phenotypic values and producing abilities for a given trait

Question 45

Question
Adjusting milk yield phenotypes by the age of the cow would improve our heritability estimate by:
Answer
  • decreasing environmental variance, thus reducing the overall phenotypic variance
  • decreasing breeding value variance, thus reducing the overall phenotypic variance
  • increasing environmental variance, thus increasing the overall phenotypic variance
  • increasing breeding value variance, thus increasing the overall phenotypic variance

Question 46

Question
Given the following information, calculate the heritability of this hypothetical trait: σ2BV = 21.45 σ2GCV = 14.92 σ2E = 47.81
Answer
  • 0.57
  • 0.25
  • 0.45
  • 0.18

Question 47

Question
Given the following information, calculate the repeatability of this hypothetical trait: σ2BV = 21.45 σ2GCV = 14.92 σ2Ep = 12.64 σ2Et = 35.17
Answer
  • 0.25
  • 0.43
  • 0.15
  • 0.58

Question 48

Question
Which of the following statements about heritability is NOT true?
Answer
  • The range for heritability is 0 to 1.
  • It is very difficult to make genetic progress in a trait that is highly heritable.
  • Heritability can vary from generation to generation within a population.
  • Relatives tend to resemble each other in traits that are highly heritable.

Question 49

Question
Which of the following statements can describe a contemporary group?
Answer
  • A group of animals that have experienced similar management practices.
  • A group of animals that are in the same location
  • A group of animals that are similar in age
  • All of the above

Question 50

Question
Which of the following measures tells us if an animal’s single phenotype is a good indicator of their breeding value?
Answer
  • Repeatability
  • Heritability
  • Accuracy of Selection
  • Intensity of Selection

Question 51

Question
If 15% of the animals are selected, the intensity of selection is 1.55. What does 1.55 actually represent?
Answer
  • The mean of the selected animals is 1.55
  • The standard deviation of the selected animals is 1.55
  • The mean of the selected animals is 1.55 standard deviations away from the population mean
  • We are selecting 1.55% of the population

Question 52

Question
The Generation Interval is the:
Answer
  • The average age of potential parents when they are bred
  • The average age of parents when their offspring are selected
  • The average age of potential parents when they are selected
  • The average age of parents when their offspring are born

Question 53

Question
The change in the mean breeding value of a population over time is called a:
Answer
  • Genetic Trend
  • Generation Interval
  • Genetic Variation
  • Selection Intensity

Question 54

Question
In a swine population, 210 litters are produced each generation. There are 7 pigs/litter than make it to selection age. Assuming 25 boars and 250 gilts are selected for growth rate each generation, what is the proportion of females selected?
Answer
  • 0.10
  • 0.17
  • 0.34
  • 0.84

Question 55

Question
In a swine population, 210 litters are produced each generation. There are 7 pigs/litter than make it to selection age. Assuming 25 boars and 250 gilts are selected for growth rate each generation, what is the proportion of males selected?
Answer
  • 0.12
  • 0.017
  • 0.034
  • 0.10

Question 56

Question
Given the following information. What is the generation interval for males in this population?
Answer
  • 0.2174 yr
  • 0.5241 yr
  • 1.9079 yr
  • 2.2754 yr

Question 57

Question
The following genetic parameters have been calculated for a population of Angora goats. If the σBV for 8-month weight is 4 lb., what is the genetic change expected in this population?
Answer
  • 0.147 lb./year
  • 0.588 lb./year
  • 1 lb./year
  • 1.25 lb./year

Question 58

Question
Which of the following pieces of information would NOT be included in genetic predictions?
Answer
  • Own performance record
  • Pedigree performance data
  • Environmental data
  • Progeny performance data

Question 59

Question
What is the name of the most widely used genetic prediction method?
Answer
  • Best Linear Unbiased Prediction
  • Sire Summary
  • Selection Index
  • Large-scale genetic evaluation

Question 60

Question
The strength of the relationship between breeding values for two traits is called:
Answer
  • Phenotypic Correlation
  • Genetic Correlation
  • Breeding Value Covariance
  • Regression of Breeding Values

Question 61

Question
Pleiotropy is:
Answer
  • How close genes are on a chromosome
  • Mating of relatives
  • When a single gene affects more than one trait
  • When multiple genes affect a single trait

Question 62

Question
A phenotypic correlation between two traits is always:
Answer
  • The sum of the genetic and environmental correlations
  • The product of the genetic and environmental correlations
  • Greater than the genetic and environmental correlations
  • Between the genetic and environmental correlations

Question 63

Question
A genetic correlation of -0.25 indicates:
Answer
  • A weak negative relationship between breeding values for two traits
  • A moderate negative relationship between breeding values for two traits
  • A strong negative relationship between breeding values for two traits
  • A non-existent genetic relationship

Question 64

Question
The range for a genetic correlation is
Answer
  • 0 to 1
  • -1 to 1
  • 0% to 100%
  • there is no range

Question 65

Question
Selection for one trait for a period of time followed by selection for a second trait for a period of time is called:
Answer
  • Selection Index
  • Tandem Selection
  • Independent Culling
  • Genetic Trend

Question 66

Question
A(n) ________is a level of breeding value that is considered optimal.
Answer
  • Independent Culling Level
  • Index value
  • Selection Target
  • Selection Intensity

Question 67

Question
Which of the following is NOT a benefit using independent culling levels?
Answer
  • Save money by eliminating rejects earlier
  • Shortens the generation interval
  • Simultaneous selection for multiple traits
  • Convenience of selection at different stages in the animal’s life

Question 68

Question
Which of the following multiple-trait selection strategies is the fastest, most efficient way to improve multiple traits at the same time?
Answer
  • Economic Selection Index
  • Tandem Selection
  • Single-Trait Selection
  • Independent Culling

Question 69

Question
A(n)________ is a value that represents an individual’s genetic merit across more than one trait.
Answer
  • Independent Culling Level
  • Genetic Correlation
  • Aggregate Breeding Value
  • Economic Weight

Question 70

Question
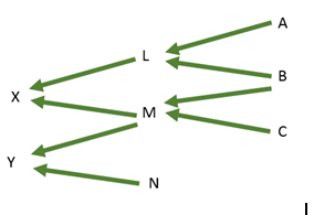
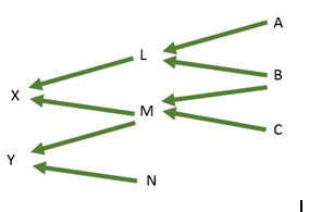
Given the arrow diagram below, identify the common ancestor(s) of X and Y.
Answer
  • B, L, M,
  • A, B, C,
  • B, C, M
  • A, B, L, M

Question 71

Question
Given the arrow diagram below, identify the common ancestor(s) of the parents of X.
Answer
  • A
  • B
  • A, B, C
  • X, Y

Question 72

Question
Genes that are copies of a single ancestral gene are said to be:
Answer
  • Homozygous
  • Inbred
  • Heterozygous
  • Identical By Decent

Question 73

Question
Identify which of the following notations correctly indicates the following: 37% of the individual X’s loci contain genes that are identical by descent
Answer
  • FX = 0.37
  • FX = 0.0037
  • RXY = 0.37
  • RXY = 1 - 0.37

Question 74

Question
The numerical relationship coefficient between half sibs of non-inbred parents is always:
Answer
  • 0.125
  • 0.25
  • 0.375
  • 0.5

Question 75

Question
True or False? In certain situations an animal can be considered its own common ancestor.
Answer
  • True
  • False

Question 76

Question
The population of animals whose parents are unknown or ignored in the pedigree are known as:
Answer
  • A sample population
  • Common ancestors
  • Inbred individuals
  • A base population

Question 77

Question
Which method should you choose for calculating relationship and inbreeding coefficients in a pedigree of 103,970 individuals?
Answer
  • Tabular method
  • BLUP algorithms
  • Path method
  • Formula

Question 78

Question
A mating system designed to maintain a substantial degree of relationship to a highly regarded ancestor or group is called:
Answer
  • Inbreeding
  • Outbreeding
  • Crossbreeding
  • Line-breeding

Question 79

Question
A relationship matrix has been calculated for a small population and is given below. Calculate the relationship coefficient between X and C.
Answer
  • 0.25
  • 0.44
  • 0.55
  • 0.69

Question 80

Question
Which of the following is NOT a result of crossbreeding?
Answer
  • Hybrid vigor
  • Masking of unfavorable alleles
  • More uniform animals
  • Increased heterozygosity

Question 81

Question
The average number born alive for Breed A is 8.4 piglets. The average number born alive for Breed B is 10.2 piglets. When these two breeds are crossed, the average number born alive is 10 piglets in the F1 generation. What is the amount of F1 hybrid vigor that is realized from this cross?
Answer
  • 0.2 piglets
  • 0.7 piglets
  • 1.6 piglets
  • 1.8 piglets

Question 82

Question
True or false: All traits contain direct, maternal, and paternal genetic components.
Answer
  • True
  • False

Question 83

Question
The maximum amount of hybrid vigor that is attainable is called:
Answer
  • Individual hybrid vigor
  • Retained hybrid vigor
  • Maternal hybrid vigor
  • F1 hybrid vigor

Question 84

Question
In a cross of C sires by C(AB) dams, what percentage of hybrid vigor will be retained after the F1 generation?
Answer
  • 25%
  • 50%
  • 75%
  • 100%

Question 85

Question
The mating of a hybrid to a purebred of a parent line or breed is known as:
Answer
  • Backcrossing
  • Inbreeding
  • Spatial Rotation
  • Composite breeding

Question 86

Question
At equilibrium, a three way spatial rotation will retain what percentage of F1 hybrid vigor?
Answer
  • 50%
  • 67%
  • 86%
  • 93%

Question 87

Question
A crossbreeding system in which maternal-breed females are mated to paternal breed sires is called a __________ crossbreeding system.
Answer
  • Backcross
  • Maternal
  • Composite
  • Terminal

Question 88

Question
The Lacombe is a composite pig breed that is made up of 56% Landrace, 23% Berkshire, and 21% Chester White. Calculate the proportion of F1 hybrid vigor retained in advanced generations of this composite.
Answer
  • 58.9%
  • 67.2%
  • 86.4%
  • 93.8%

Question 89

Question
Which crossbreeding system combines a maternal rotation with terminal sires to produce market offspring?
Answer
  • Two way rotation
  • Three way spatial rotation
  • Rota-terminal
  • Static terminal

Question 90

Question
MOET has the potential to:
Answer
  • Increase the intensity of female selection lengthen the female generation interval
  • Increase the intensity of female selection and shorten the female generation interval
  • Increase the intensity of female selection and lengthen the male generation interval
  • Increase the intensity of female selection and shorten the male generation interval

Question 91

Question
Outside of ethical and theological issues, what is the biggest problem with cloning animals for food production?
Answer
  • Increases generation interval of our animal populations
  • Reduces our selection intensity
  • Diminishes genetic variance within a herd
  • Ruins the accuracy of EBV prediction

Question 92

Question
In the relationship matrix below, interpret what the bold value indicates:
Answer
  • The relationship between A and B is 0.5
  • The inbreeding coefficient of A is 0.5
  • The numerator of the relationship coefficient between A and B is 0.5
  • The numerator of the inbreeding coefficient is unknown

Question 93

Question
Which of the following biotechnologies improves the accuracy of male selection while simultaneously increase intensity at which males are selected?
Answer
  • Cloning
  • Estrus Synchronization
  • Controlling Sex
  • Artificial Insemination

Question 94

Question
Using sexed semen allows a producer to improve their selection intensity. Why?
Answer
  • More animals are being selected to be replacements of the next generation
  • More selection candidates are being produced
  • More genetic information is being provided
  • More variance is created

Question 95

Question
See Image for Question! :)
Answer
  • Direct selection for growth rate BV will result in a correlated genetic change of 0.10in/year in backfat
  • Backfat and growth rate have a weak, positive correlation
  • Direct selection for backfat BV will result in a correlated genetic change of 0.10in/year in growth rate
  • We expect a change of 0.10in/year change in backfat for every 1-lb/year change in growth rate

Question 96

Question
Multiple ovulation and embryo transfer can have positive effects on the genetic change within a herd. However if MOET is poorly managed it can result in:
Answer
  • Lengthening the generation interval
  • Reducing genetic variation
  • Negatively affecting accuracy of selection
  • Poor intensity of selection

Question 97

Question
The ability to measure genotype x environment interactions can be provided by:
Answer
  • MOET
  • Estrus Synchronization
  • Controlling Sex
  • Cloning

Question 98

Question
Which of the following formulas should be used to estimate the amount of individual hybrid vigor that remains in the F3 generation when the amount of typical F1 hybrid vigor is known?

Question 99

Question
Any gene or DNA sequence used to identify location on a genetic map is called:
Answer
  • Flow Cytometry
  • Polymerase Chain Reaction
  • Gene Splicing
  • Genetic Marker
Show full summary Hide full summary

Similar

Translations and transformations of functions
Christine Laurich
Psychology 306 Practice Final Quiz
pnguyen540
Anthropology Final-- Part 3-4
Heather McCord
Reading Quizes
Taylor Morris
Physio Quiz
Tina Truong
Microbiology MCQs 3rd Year Final- PMU
Med Student
Anatomy and Physiology
pressey_property
AQA Biology B1 Questions
Bella Statham
AQA Biology B2 Questions
Bella Statham
AQA Physics P1 Quiz
Bella Statham