Physics Regents Practice Questions

Description

Physics regents practice questions. Attribute: nysedregents.org
jlyn
Quiz by jlyn, updated more than 1 year ago
jlyn
Created by jlyn over 11 years ago
3738
2

Resource summary

Question 1

Question
Which term identifies a scalar quantity?
Answer
  • displacement
  • time
  • momentum
  • velocity

Question 2

Question
Two 20.-newton forces act concurrently on an object. What angle between these forces will produce a resultant force with the greatest magnitude?
Answer
  • 45°
  • 90°
  • 180°

Question 3

Question
The centripetal force acting on the space shuttle as it orbits Earth is equal to the shuttle’s
Answer
  • momentum
  • inertia
  • velocity
  • weight

Question 4

Question
An 8.0-newton wooden block slides across a horizontal wooden floor at constant velocity. What is the magnitude of the force of kinetic friction between the block and the floor?
Answer
  • 3.0 N
  • 8.0 N
  • 2.4 N
  • 5.0 N

Question 5

Question
A particle could have a charge of
Answer
  • 0.8×10^−19 C
  • 1.2×10^−19 C
  • 3.2×10^−19 C
  • 4.1×10−19 C

Question 6

Question
A rock is thrown straight up into the air. At the highest point of the rock’s path, the magnitude of the net force acting on the rock is
Answer
  • less than the magnitude of the rock’s weight, but greater than zero
  • greater than the magnitude of the rock’s weight
  • the same as the magnitude of the rock’s weight
  • zero

Question 7

Question
An object accelerates uniformly from 3.0 meters per second east to 8.0 meters per second east in 2.0 seconds. What is the magnitude of the acceleration of the object?
Answer
  • 2.5 m/s^2
  • 5.0 m/s^2
  • 5.5 m/s^2
  • 3.0 m/s^2

Question 8

Question
An object accelerates uniformly from 3.0 meters per second east to 8.0 meters per second east in 2.0 seconds. What is the magnitude of the acceleration of the object?
Answer
  • 2.5 m/s^2
  • 5.0 m/s^2
  • 5.5 m/s^2
  • 3.0 m/s^2

Question 9

Question
As a box is pushed 30. meters across a horizontal floor by a constant horizontal force of 25 newtons, the kinetic energy of the box increases by 300. joules. How much total internal energy is produced during this process?
Answer
  • 150 J
  • 450 J
  • 250 J
  • 750 J

Question 10

Question
A baseball is thrown at an angle of 40.0° above the horizontal. The horizontal component of the baseball’s initial velocity is 12.0 meters per second. What is the magnitude of the ball’s initial velocity?
Answer
  • 7.71 m/s
  • 9.20 m/s
  • 15.7 m/s
  • 18.7 m/s

Question 11

Question
As shown in the diagram, an open box and its contents have a combined mass of 5.0 kilograms. A horizontal force of 15 newtons is required to push the box at a constant speed of 1.5 meters per second across a level surface. The inertia of the box and its contents increases if there is an increase in the
Answer
  • speed of the box
  • mass of the contents of the box
  • magnitude of the horizontal force applied to the box
  • coefficient of kinetic friction between the box and the level surface

Question 12

Question
A number of 1.0-newton horizontal forces are exerted on a block on a frictionless, horizontal surface. Which top-view diagram shows the forces producing the greatest magnitude of acceleration of the block?

Question 13

Question
A car uses its brakes to stop on a level road. During this process, there must be a conversion of kinetic energy into
Answer
  • light energy
  • nuclear energy
  • internal energy
  • gravitational potential energy

Question 14

Question
When a teacher shines light on a photocell attached to a fan, the blades of the fan turn. The brighter the light shone on the photocell, the faster the blades turn. Which energy conversion is illustrated by this demonstration?
Answer
  • light → thermal → mechanical
  • light → nuclear → thermal
  • light → electrical → mechanical
  • light → mechanical → chemical

Question 15

Question
Two electrons are separated by a distance of 3.00 × 10−6 meter. What are the magnitude and direction of the electrostatic forces each exerts on the other?
Answer
  • 2.56 × 10^−17 N away from each other
  • 2.56 × 10^−17 N towards each other
  • 7.67 × 10^−23 N away from each other
  • 7.67 × 10^−23 N towards each other

Question 16

Question
Two electrons are separated by a distance of 3.00 × 10−6 meter. What are the magnitude and direction of the electrostatic forces each exerts on the other?
Answer
  • 2.56 × 10^−17 N away from each other
  • 2.56 × 10^−17 N towards each other
  • 7.67 × 10^−23 N away from each other
  • 7.67 × 10^−23 N towards each other

Question 17

Question
Moving a length of copper wire through a magnetic field may cause the wire to have a
Answer
  • potential difference across it
  • lower temperature
  • lower resistivity
  • higher resistance

Question 18

Question
A sound wave traveling eastward through air causes the air molecules to
Answer
  • vibrate east and west
  • vibrate north and west
  • move eastward, only
  • move northward, only

Question 19

Question
Which particles are not affected by the strong force?
Answer
  • hadrons
  • protons
  • electrons
  • neutrons

Question 20

Question
A photon is emitted as the electron in a hydrogen atom drops from the n = 5 energy level directly to the n = 3 energy level. What is the energy of the emitted photon?
Answer
  • 0.85 eV
  • 0.97 eV
  • 1.05 eV
  • 2.01 eV

Question 21

Question
In the diagram, a stationary source located at point S produces sound having a constant frequency of 512 hertz. Observer A, 50. meters to the left of S, hears a frequency of 512 hertz. Observer B, 100. meters to the right of S, hears a frequency lower than 512 hertz. Which statement best describes the motion of the observers?
Answer
  • Observer A is moving toward point S, and observer B is stationary.
  • Observer A is moving away from point S,and observer B is stationary.
  • Observer A is stationary, and observer B is moving toward point S.
  • Observer A is stationary, and observer B is moving away from point S.

Question 22

Question
Which graph represents the relationship between the magnitude of the gravitational force exerted by Earth on a spacecraft and the distance between the center of the spacecraft and center of Earth? [Assume constant mass for the spacecraft.]

Question 23

Question
The diagram represents a circuit consisting of two resistors connected to a source of potential difference. What is the current through the 20.-ohm resistor?
Answer
  • 0.25 A
  • 6.0 A
  • 4.0 A
  • 1.2 A

Question 24

Question
A ray of light ( f = 5.09 × 1014 Hz) travels through various substances. Which graph best represents the relationship between the absolute index of refraction of these substances and the corresponding speed of light in these substances?

Question 25

Question
A 4.0-kilogram object is accelerated at 3.0 meters per second^2 north by an unbalanced force. The same unbalanced force acting on a 2.0-kilogram object will accelerate this object toward the north at
Answer
  • 12 m/s^2
  • 6 m/s^2
  • 3 m/s^2
  • 1.5 m/s^2

Question 26

Question
When two point charges of magnitude q1 and q2 are separated by a distance, r, the magnitude of the electrostatic force between them is F. What would be the magnitude of the electrostatic force between point charges 2q1 and 4q2 when separated by a distance of 2r?
Answer
  • 2F
  • F
  • 16F
  • 4F

Question 27

Question
In a process called pair production, an energetic gamma ray is converted into an electron and a positron. It is not possible for a gamma ray to be converted into two electrons because
Answer
  • charge must be conserved
  • momentum must be conserved
  • mass-energy must be conserved
  • baryon number must be conserved

Question 28

Question
The diagram shows a series of wave fronts approaching an opening in a barrier. Point P is located on the opposite side of the barrier. The wave fronts reach point P as a result of
Answer
  • resonance
  • refraction
  • reflection
  • diffraction

Question 29

Question
Which particle would produce a magnetic field?
Answer
  • a neutral particle moving in a straight line
  • a neutral particle moving in a circle
  • a stationary charged particle
  • a moving charged particle

Question 30

Question
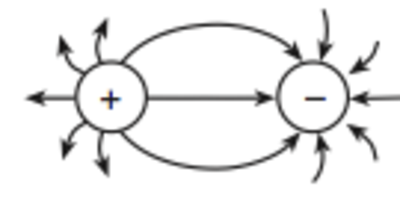
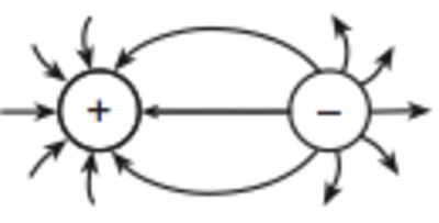
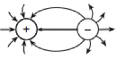
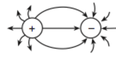
Which diagram represents the electric field between two oppositely charged conducting spheres?

Question 31

Question
Which diagram represents the electric field between two oppositely charged conducting spheres?
Show full summary Hide full summary

Similar

Forces and motion
Catarina Borges
AQA Physics P1 Quiz
Bella Statham
GCSE AQA Physics - Unit 3
James Jolliffe
Using GoConqr to study science
Sarah Egan
GCSE AQA Physics 1 Energy & Efficiency
Lilac Potato
Waves
kate.siena
Forces and their effects
kate.siena
Junior Cert Physics formulas
Sarah Egan
OCR Physics P4 Revision
Dan Allibone
P2 Radioactivity and Stars
dfreeman
Physics 1A - Energy
Zaki Rizvi