U4 T1 Conic Sections Review

Description

U4 T1 Conic Sections Review
Cassidy Paine
Quiz by Cassidy Paine, updated more than 1 year ago
Cassidy Paine
Created by Cassidy Paine over 8 years ago
333
0

Resource summary

Question 1

Question
Classify the conic section.
Answer
  • ellipse
  • hyperbola
  • circle
  • parabola

Question 2

Question
Classify the conic section.
Answer
  • parabola
  • hyperbola
  • ellipse
  • circle

Question 3

Question
Classify the conic section.
Answer
  • circle
  • ellipse
  • parabola
  • hyperbola

Question 4

Question
Classify the conic section.
Answer
  • circle
  • parabola
  • hyperbola
  • ellipse

Question 5

Question
Determine the center and radius of the circle: Center: ([blank_start]-11[blank_end], [blank_start]16[blank_end]) Radius: [blank_start]2[blank_end]
Answer
  • -11
  • 16
  • 2

Question 6

Question
Determine the center and radius of the circle: Center: ([blank_start]11[blank_end], [blank_start]-9[blank_end]) Radius: [blank_start]2[blank_end]
Answer
  • 11
  • -9
  • 2

Question 7

Question
Identify the center, vertices, co-vertices, and foci. Center: ([blank_start]8[blank_end], [blank_start]7[blank_end]) Vertices: ([blank_start]18[blank_end], [blank_start]7[blank_end]) and ([blank_start]-2[blank_end], [blank_start]7[blank_end]) Co-vertices: ([blank_start]8[blank_end], [blank_start]15[blank_end]) and ([blank_start]8[blank_end], [blank_start]-1[blank_end]) Foci: ([blank_start]14[blank_end], [blank_start]7[blank_end]) and ([blank_start]2[blank_end], [blank_start]7[blank_end])
Answer
  • 8
  • 7
  • 18
  • 7
  • -2
  • 7
  • 8
  • 15
  • 8
  • -1
  • 14
  • 7
  • 2
  • 7

Question 8

Question
Identify the center, vertices, co-vertices, and foci. Center: ([blank_start]8[blank_end], [blank_start]1[blank_end]) Vertices: ([blank_start]8[blank_end], [blank_start]11[blank_end]) and ([blank_start]8[blank_end], [blank_start]-9[blank_end]) Co-vertices: ([blank_start]16[blank_end], [blank_start]1[blank_end]) and ([blank_start]0[blank_end], [blank_start]1[blank_end]) Foci: ([blank_start]8[blank_end], [blank_start]7[blank_end]) and ([blank_start]8[blank_end], [blank_start]-5[blank_end])
Answer
  • 8
  • 1
  • 8
  • 11
  • 8
  • -9
  • 16
  • 1
  • 0
  • 1
  • 8
  • 7
  • 8
  • -5

Question 9

Question
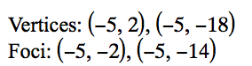
Identify the vertices, and foci. Vertices: ([blank_start]7[blank_end], [blank_start]3[blank_end]) and ([blank_start]-17[blank_end], [blank_start]3[blank_end]) Foci: ([blank_start]8[blank_end], [blank_start]3[blank_end]) and ([blank_start]-18[blank_end], [blank_start]3[blank_end])
Answer
  • 7
  • 3
  • -17
  • 3
  • 8
  • 3
  • -18
  • 3

Question 10

Question
Identify the vertices, and foci. Vertices: ([blank_start]13[blank_end], [blank_start]-2[blank_end]) and ([blank_start]-3[blank_end], [blank_start]-2[blank_end]) Foci: ([blank_start]15[blank_end], [blank_start]-2[blank_end]) and ([blank_start]-5[blank_end], [blank_start]-2[blank_end])
Answer
  • 13
  • -2
  • -3
  • -2
  • 15
  • -2
  • -5
  • -2

Question 11

Question
Identify the vertex, focus, axis of symmetry, and directrix. (do not use spaces in your solution) Vertices: ([blank_start]-8[blank_end], [blank_start]-5[blank_end]) Focus: ([blank_start]-7[blank_end], [blank_start]-5[blank_end]) Axis of Sym.: [blank_start]y=-5[blank_end] Directrix: [blank_start]x=-9[blank_end]
Answer
  • -8
  • -5
  • -7
  • -5
  • y=-5
  • x=-9

Question 12

Question
Identify the vertex, focus, axis of symmetry, and directrix. (do not use spaces in your solution) Vertices: ([blank_start]-2[blank_end], [blank_start]-8[blank_end]) Focus: ([blank_start]-3[blank_end], [blank_start]-8[blank_end]) Axis of Sym.: [blank_start]y=-8[blank_end] Directrix: [blank_start]x=-1[blank_end]
Answer
  • -2
  • -8
  • -3
  • -8
  • y=-8
  • x=-1

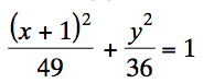
Question 13

Question
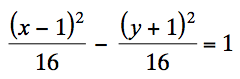
Use the information provided to write the standard form equation of the circle.

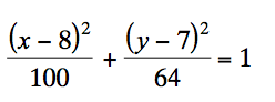
Question 14

Question
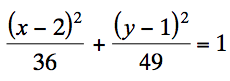
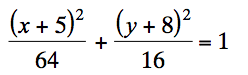
Use the information provided to write the standard form equation of the ellipse.

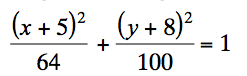
Question 15

Question
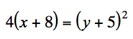
Use the information provided to write the standard form equation of the hyperbola.

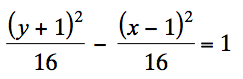
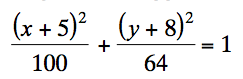
Question 16

Question
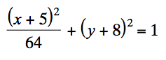
Use the information provided to write the standard form equation of the ellipse.
Show full summary Hide full summary

Similar

Unit 3 RQA Review
Cassidy Paine
Quadratic
Kensi Laube
Mathsgater parts of the circle
cclay
Locus and the parabola
cooky_1234
Circumference/Area 2D
Cassidy Paine
Math - Area yr 8
BaiMcd
Important formulae
pramila bisht
Equation of Circle Review #1
Cassidy Paine
Circle Facts
Rich Wells
Quadratic
Rachel Mitchell
Mathsgater parts of the circle
Ross Moody