null
US
Sign In
Sign Up for Free
Sign Up
We have detected that Javascript is not enabled in your browser. The dynamic nature of our site means that Javascript must be enabled to function properly. Please read our
terms and conditions
for more information.
Next up
Copy and Edit
You need to log in to complete this action!
Register for Free
953963
P5 - P6 Check - In
Description
Quiz on P5 - P6 Check - In, created by Harmony Richman on 30/05/2014.
Quiz by
Harmony Richman
, updated more than 1 year ago
More
Less
Created by
Harmony Richman
over 11 years ago
1132
0
0
Resource summary
Question 1
Question
Simplify
Image:
Capture.PNG (image/PNG)
Answer
3 / (x+4)
(x + 4) / 3
[(x + 5)(x + 4)] / [3(x - 5)]
Question 2
Question
Multiply and Simplify
Image:
Capture.PNG (image/PNG)
Answer
[x(3x + 7)] / (2x + 3)
[x(3x - 7)] / (2x + 3)
[x(3x + 7)] / (2x - 3)
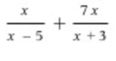
Question 3
Question
Add and simplify
Image:
Capture.PNG (image/PNG)
Answer
(8x^2 - 32x) / [(x - 5)(x + 3)]
[8x(x - 4)] / [(x - 5)(x + 3)]
[8x(x + 4)] / [(x - 5)(x + 3)]
Question 4
Question
Add (5 + 2i) + (6 - 7i)
Answer
1 - 5i
11 + 9i
11 - 5i
Question 5
Question
Rationalize the denominator (divide)
Image:
Capture.PNG (image/PNG)
Answer
(10i - 15) / 13
(10i + 15) / 13
(10i + 15) / -5
Show full summary
Hide full summary
Want to create your own
Quizzes
for
free
with GoConqr?
Learn more
.
Similar
Browse Library