null
US
Sign In
Sign Up for Free
Sign Up
We have detected that Javascript is not enabled in your browser. The dynamic nature of our site means that Javascript must be enabled to function properly. Please read our
terms and conditions
for more information.
Next up
Copy and Edit
You need to log in to complete this action!
Register for Free
989541
1.1 - 1.3 Check-In
Description
Quiz on 1.1 - 1.3 Check-In, created by Harmony Richman on 09/06/2014.
Quiz by
Harmony Richman
, updated more than 1 year ago
More
Less
Created by
Harmony Richman
over 11 years ago
427
0
0
Resource summary
Question 1
Question
Solve: 6 - 4(2x + 1) = 5(3 - 2x)
Answer
6 1/2
8
-6
Question 2
Question
Solve by factoring: x^2 - 5x = 6
Answer
x = - 6; x = 1
x = 2; x = 3
x = 6; x = -1
Question 3
Question
Solve by using the quadratic formula: x^2 - 6x + 12 = 0
Answer
3 + i (square root 3) 3 - i ( square root 3)
6 + i (square root 12)/2 6 - i (square root 12)/2
x = 4; x = -3
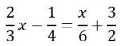
Question 4
Question
Solve
Image:
Capture.JPG (image/JPG)
Answer
x = -8/3
x = 4
x = 21/6
Show full summary
Hide full summary
Want to create your own
Quizzes
for
free
with GoConqr?
Learn more
.
Similar
Browse Library