PRESENTACION ELECTRONICA "MACROMOLECULAS"

Description

Presentacion Electronica para la la docente Veronica.
Brian Anaya
Slide Set by Brian Anaya, updated more than 1 year ago
Brian Anaya
Created by Brian Anaya almost 10 years ago
438
0

Resource summary

Slide 1

    "Presentación Electrónica"
    "MACROMOLECULAS"EQUIPO DE TRABAJO: ANAYA ORTEGA BRIAN MIGUELROCHA SOBERANIS JESUS ANTONIODOCENTE: VERONICA AGUILA ZENTENOGRADO: TERCERO       GRUPO: 5TURNO MATUTINO

Slide 2

    "MACROMOLECULAS"
    DEFINICIÓN: Las macromoléculas son moléculas que tienen una masa molecular elevada, formadas por un gran número de átomos.  Macromoléculas Naturales: Las macromoléculas naturales se encuentran en los seres vivos y poseen una elevada masa molecular, y en el caso de los carbohidratos y proteínas están constituidos por la repetición de algún tipo de subunidad estructural Importancia en el  cuidado y mantenimiento de la salud: Esta ciencia nos explica el comportamiento de los carbohidratos, las grasas y las proteínas en los procesos metabólicos. También explica la función de las vitaminas y las enzimas. Las macromoléculas naturales forman parte de los procesos vitales del ser humano.
    Caption: : La estructura de cada una de ellas permite que cumplan una función que las diferencia de las otras. Esas sustancias pueden ser encontradas en los alimentos que el ser humano consume diariamente y mediante procesos metabólicos en el interior del organismo pueden ser descompuestas en moléculas más sencillas con el objetivo de brindar la energía necesaria al cuerpo.

Slide 3

    "Macromoléculas Naturales" 
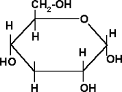
    IMPORTANCIA DE LAS MACROMOLÉULAS Y SU MANTENIMIENTO EN LA SALUD:  Son las fuentes más importantes de energía en los organismos.Los carbohidratos se conocen también como glucidos o hidratos de carbono. Se clasifican en Monosacaridos,  disacaridos, polisacaridos y mucosacaridos.Los carbohidratos están formados por carbono, hidrógeno y oxígeno; el hidrógeno y el oxígeno suelen hallarse en proporción de dos a uno, igual que en el agua. Los carbohidratos son moléculas orgánicas muy importante para la vida. Debido a esta importancia, los carbohidratos juegan un rol esencial dentro de la dieta. Conocer cuáles son sus características, ayuda a entender como funcionan y cuán beneficiosos son para el organismo.
    Caption: : Tabla donde se puede observar los tipos de Monosacaridos, Disacaridos y Polisacáridos y en donde se presentan cada una de ellas .

Slide 4

    "Características de los Carbohidratos"
    CARBOHIDRATOS: Los carbohidratos realizan muchas funciones vitales en los organismos vivos, conforman la estructura esquelética de plantas, insectos y crustáceos, y la estructura exterior de los microorganismos. FUNCIÓN: Constituyen una importante reserva alimentaria en los órganos de almacenamiento. Son las fuentes más importantes de energía en los organismos. ESTRUCTURA  DE LOS CARBOHIDRATOS:Si bien su fórmula general es (CH2O)n, la estructura química de los carbohidratos dependerá del tipo de azúcar de que se trate.                                                                                                                              PROPIEDADES: Son solubles al agua,  Cristalinos, Mutorrotación, Desvía Desvía la luz polarizada,Poco solubles en etanol,Dulces,Dan calor y Siguen la formula Cn (H2O)n.
    CARACTERÍSTICAS: Son moléculas orgánicas, esenciales para la vida, Están compuestas por carbono, oxigeno, hidrógeno, Son solubles en agua, Almacenan energía, Las plantas son las principales portadoras de Hidratos de carbono, esto se debe a que estas poseen clorofila, un pigmento responsable de captar la luz solar y a partir de ahí elaborar glucosa.

Slide 5

Slide 6

    "Características de los Lípidos"
    LÍPIDOS: Los lípidos son biomoléculas orgánicas formadas básicamente por carbono e hidrógeno y generalmente también oxigeno; pero en porcentajes mucho más bajos. Además pueden contener también fósforo,nitrógeno y azufre. FUNCIÓN: Los lípidos desempeñan cuatro tipo de funciones las cuales son: 1. Función de reserva:  Son la principal reserva energética del organismo. 2.Función estructural:  Forman las Bicapas lipídicas de las membranas. Recubren órganos y le dan consistencia, o protegen mecánicamente como el tejido adiposo de pies y manos.3. Función biocatalizadora: En este papel los lípidos favorecen o facilitan las reacciones químicas que se producen en los seres vivos. Cumplen esta función las vitaminas lipídicas, las hormonas esteroideas.                                                                                       4.Función transportadora. El transporte de lípidos desde el intestino hasta su lugar de destino se realiza mediante su emulsión gracias a los ácidos biliares y a los proteolípidos.                            
    ESTRUCTURA: Los lípidos son un conjunto de moléculas orgánicas, la mayoría biomoléculas, compuestas principalmente por carbono (C) e hidrógeno (H) y en menor medida oxígeno (O), aunque también pueden contener fósforo (P), azufre (S) y nitrógeno (N). PROPIEDADES: Carácter anfipático,  Punto de fusión, Esterificación, Saponificación y Antioxidación.CARACTERÍSTICAS: Son de estructura generalmente lineal aunque pueden contar con una serie de anillos. Su estructura química permite que cuenten con flexibilidad, en tanto otros pueden ser rígidos; algunos comparten carbonos libres y otros forman puentes de hidrógeno.Algunos lípidos refractan el agua, esto es debido a que cuentan con una “No polaridad” o hidrofobia, pero esto no se presenta en otro tipo de solventes como el thiner, acetona etc. Igualmente existe otro parámetro totalmente afín al agua (hidrofilica). A este último aspecto se le denomina “carácter anfipático”

Slide 7

Slide 8

    "Características de las proteínas"
    PROTEÍNAS: Las proteínas son los elementos que se utilizan para la construcción de nuestro organismo. Para entender y podemos pensar en ellas como los materiales de construcción de nuestro organismo.FUNCIÓN: Las proteinas determinan la forma y la estructura de las células y dirigen casi todos los procesos vitales. Las funciones de las proteínas son específicas de cada una de ellas y permiten a las células mantener su integridad, defenderse de agentes externos, reparar daños, controlar y regular funciones.ESTRUCTURA: La organización de una proteína viene definida por cuatro niveles estructurales denominados: estructura primaria, estructura secundaria, estructura terciaria y estructura cuaternaria. Cada una de estas estructuras informa de la disposición de la anterior en el espacio: 1. La estructura primaria es la secuencia de aminoácidos de la proteína. Nos indica qué aminoácidos componen la cadena polipeptídica y el orden en que dichos aminoácidos se encuentran. La función de una proteína depende de su secuencia y de la forma que ésta adopte. 
    2. La estructura secundaria es la disposición de la secuencia de aminoácidos en el espacio. Los aminoácidos, a medida que van siendo enlazados durante la síntesis de proteínas y gracias a la capacidad de giro de sus enlaces, adquieren una disposición espacial estable, la estructura secundaria.3. La estructura terciaria informa sobre la disposición de la estructura secundaria de un polipéptido al plegarse sobre sí misma originando una conformación globular.4. Esta estructura informa de la unión , mediante enlaces débiles ( no covalentes) de varias cadenas polipeptídicas con estructura terciaria, para formar un complejo proteico. Cada una de estas cadenas polipeptídicas recibe el nombre de protómero.PROPIEDADES: Solubilidad, Capacidad Amortiguadora, Especificidad, Desnaturalización y Renaturalización.CARACTERÍSTICAS: Se encuentran formadas por aminoácidos o algunos derivados, y se pueden reconocer las siguientes: Albuminas,Albumonoides, Globulinas, Glutelinas, Histonas, Prolaminas, Protaminas, Nucleoproteinas, Glicoproteinas, Fosfoproteinas y Cromoproteinas.

Slide 9

Slide 10

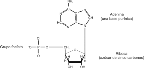
    "Características de los ácidos nucleicos"
    ÁCIDOS NUCLEICOS: Son biopolímeros, de elevado peso molecular, formados por otras subunidades estructurales o monómeros, denominados nucleótidos.FUNCIÓN: Entre las funciones principales están: La duplicación del ADN, Transcripción del ADN para formar ARNm y otros y la traducción, en los ribosomas, del mensaje contenido del ARNm a proteínas.ESTRUCTURA: Su estructura se divide en en cuatro1. La estructura primaria, que es la secuencia de bases nitrogenadas de cada una de las cadenas que componen el ADN.2. La estructura secundaria, que es el conjunto de interacciones entre las bases nitrogenadas, es decir, qué partes de las cadenas están vinculados uno al otro.3. La estructura terciaria, la ubicación de los átomos en el espacio tridimensional, teniendo en cuenta las limitaciones geométricas y estéricas.4. La estructura cuaternaria, que es la organización de más alto nivel del ADN en la cromatina, o las interacciones entre las unidades de ARN en el ribosoma o espliceosoma.
    PROPIEDADES: Densidad, Desnaturalizacion, Absorbancia, Renaturalizacion e Hibridacion.CARACTERÍSTICAS: Almacenamiento de la información genética, replicación de su propia molécula,Síntesis de ARN (transcripción),Transferencia de la información genéticaLa replicación o duplicación de la molécula de ADN se produce en la interfase de la división celular, más precisamente en la fase S, con el objetivo de conservar la información genética. Los puentes de hidrógeno que unen las dos hileras de polinucleótidos se rompen, con lo cual ambas cadenas se separan.

Slide 11

Slide 12

    "Enlaces"
    GLUCOSÍDICO: El enlace  llamado O-glucosídico, es el enlace mediante el cual se unen monosacáridos para formar disacáridos o polisacáridos.  En este tipo de enlace, un grupo OH de  un carbono anomérico de un monosacárido reacciona con un grupo OH de otro monosacárido, desprendiéndose una molécula de agua. Se puede decir entonces que en este tipo de reacción ocurre condensación o deshidratación. Los monosacáridos quedan unidos por un átomo de oxígeno, de ahí el nombre del enlace (O-glucosídico).
    PEPTÍDICO: El enlace peptídico es un enlace amida que se establece entre dos aminoácidos. En la formación del enlace amida se produce una reacción química entre el grupo amino (-NH2) de un aminoácido y el grupo carboxilo (-COOH) del otro, formándose un enlace covalente entre el átomo de carbono y el de nitrógeno (-OC-NH-), con la pérdida de un grupo OH y un H para forman una molécula de agua. El ribosoma cataliza la formación sucesiva y ordenada de una serie de enlaces peptídicos entre distintos aminoácidos en el proceso de la síntesis de proteínas. Esta sucesión de enlaces peptídicos fija la secuencia primaria de una proteína y su configuración. Cualquier variación de esta secuencia requiere de la rotura del enlace peptídico.

Slide 13

Slide 14

    METODOS DE FABRICACION POR ADICION: Ocurre en monómeros que tienen al menos un doble enlace, y la cadena polimérica se forma por la apertura de este, adicionando un monómero seguido de otro. El polímero es sintetizado por la adición de monómero insaturado a una cadena de crecimiento. Por este procedimiento se sintetizan el polietileno (PE), y las distintas poli olefinas, polímeros vinílicos y acrilicos; los poliésteres o polióxidos, como el POMMETODO DE FABRICACION POR CONDENSACION: En este proceso, la unión química de dos moléculas sólo se consigue mediante la formación de una molécula secundaria (usualmente pequeña) con átomos de las dos moléculas para crear la unión (de las moléculas), con lo cual la polimerización puede continuar. En estas reacciones el producto secundario residual se extrae inmediatamente del polímero porque puede inhibir la polimerización subsiguiente o permanecer como impureza indeseable en los productos terminados.
    "Polímeros Sintéticos"
    Caption: : EJEMPLOS DE POLIMEROS SINTETICOS

Slide 15

    "Beneficios y usos de los polímeros"
    La obtención, invención y fabricación de polímeros, ha desarrollado nuevas maneras de construir, generar, ensamblar y producir diferentes productos industriales, en distintos campos, tales como la industria automotriz, de alimentos, textil y electrónica.Algunas ventajas pueden ser:Bajo costo, Fácil maleabilidad, Fácil fabricación en la mayoría de los polímeros, Buena resistencia mecánica, Buena resistencia a la corrosión, Amplia variedad de polímeros con distintas propiedades.
    Caption: : Polimeros

Slide 16

    CERAMICAS: Se entiende por materíal cerámico el producto de diversas materias primas, especialemnte arcillas, que se fabrican en forma de polvo o pasta (para poder darles forma de una manera sencilla) y que al someterlo a cocción sufre procesos físico-químicos por los que adquiere consistencia pétrea. Dicho de otro modo mas sencillo, son materiales solidos inorgánicos no metálicos producidos mediante tratamiento térmico. Todos ellos se obtienen al hornear materiales naturales.CRISTALES LÍQUIDOS: El  cristal liquido es un tipo especial de estado de agregación de la materia que tiene propiedades de las fases liquida y solida. Dependiendo del tipo de cristal líquido, es posible, por ejemplo, que las moléculas tengan libertad de movimiento en un plano, pero no entre planos, o que tengan libertad de rotación, pero no de traslación.POLIMEROS: Los polimeros se definen como macromoléculas compuestas por una o varias unidades químicas (monómeros) que se repiten a lo largo de toda una cadena. 
    PLASTICOS: Es uno de los tipos de materiales sintéticos obtenidos mediante fenómenos de polimerizacion o multiplicación semi-natural de los átomos de carbono en las largas cadenas moleculares de compuestos orgánicos derivados del petroleo y otras sustancias naturales.SUPERCONDUCTOR: Un superconductor es un material que no opone resistencia al flujo de corriente eléctrica por él.Los superconductores también presentan un acusado diamagnetismo, es decir, son repelidos por los campos magnéticos.
    "Definiciones a partir de las Tecnologías"

Slide 17

Slide 18

Slide 19

    "FUENTES BIBLIOGRÁFICAS"
    http://www.monografias.com/trabajos16/lipidos/lipidos.shtml http://modelode.com/modelos/ld-propiedades-de-los-carbohidratos.php http://vekajuluchin.blogspot.mx/ http://www.innatia.com/s/c-carbohidratos/a-importancia-carbohidratos.html http://www.ejemplode.com/36-biologia/3441-caracteristicas_de_los_lipidos.html http://cb10laura.blogspot.mx/2011/05/1-lipidos-estructura-clasificacion.html http://cb10laura.blogspot.mx/2011/05/1-lipidos-estructura-clasificacion.htmlhttp://www.um.es/molecula/anucl04.htm
    http://www.aula21.net/nutricion/proteinas.htm#5http://www.astromia.com/glosario/superconductor.htmhttps://es.wikipedia.org/wiki/Pl%C3%A1sticohttp://www.losadhesivos.com/definicion-de-polimero.htmlhttps://es.wikipedia.org/wiki/Cristal_l%C3%ADquidohttp://pelandintecno.blogspot.mx/2013/02/materiales-ceramicos-propiedades.htmlhttp://medmol.es/glosario/76/http://quimica.laguia2000.com/conceptos-basicos/enlace-glucosidicohttp://hnncbiol.blogspot.mx/2008/01/acidos-nucleicos.htmlhttp://macrosinteticas.blogspot.mx/p/polimeros-de-condensacion.html
Show full summary Hide full summary

Similar

Macromoleculas,polimeros y monomeros
Juan Manuel Sanc0072
compuestos
Marcos Solito
Sales Oxisales Dobles
Skarleth Gonzalez
ASFIXIANTES SIMPLES Y QUIMICOS
Jessika URREA MOGOLLON
Formulación oxoácidos
Raquel San Martín
LOGARITHMS
pelumi opabisi
atoms and elements
Danoa400
cells
joesmith20
atoms and elements
c.kennedy
Rectificadora Examen 3
angelldelgado69