| Question | Answer |
| 1. Womit beschäftigt sich in der Physik die Kinematik? | Die Kinematik ist die Lehre von den Bewegungen eines Körpers. Die Kinematik beschreibt die Bewegungen von Körpern ohne nach deren Ursachen zu fragen, d. h. ohne Berücksichtigung von Kräften, die die Bewegungen verursachen. Die Berücksichtigung von Kräften als Ursachen von Bewegungen ist das Thema der Mechanik. In der Kinematik werden Körper einfach als Punkte angesehen! |
| 2. Wie ist der Vektor der Momentangeschwindigkeit definiert? |
Image:
0102 (image/png)
|
| 3. Wie ist der Vektor der Momentanbeschleunigung definiert |
Image:
0103 (image/png)
|
| 4. Wie werden Ableitungen nach der Zeit in der Physik gekennzeichnet? | In der Physik werden Ableitungen nach der Zeit t häufig mit einem Punkt gekennzeichnet. |
| 5. Was ist charakteristisch für eine gleichförmige Bewegung? | V=const. |
| 6. Was ist charakteristisch für eine gleichmäßig beschleunigte Bewegung? | A=const |
| 7. Geben Sie v(t) und x(t) für eine gleichförmige Bewegung in vektorieller Schreibweise an. |
Image:
0107.PNG (image/PNG)
|
| 8. Geben Sie v(t) und x(t) für eine gleichmäßig beschleunigte Bewegung in vektorieller Schreibweise an. |
Image:
0108 (image/png)
|
| 9. Bestimmen Sie für eine geradlinige (1-dimensionale) gleichmäßig beschleunigten Bewegung durch Integration der Beschleunigungs-Zeit-Funktion a(t) die Geschwindigkeits-Zeit-Funktion v(t) und die Orts-Zeit-Funktion x(t). |
Image:
0109 (image/png)
|
| 10. Eine kleine Kugel werde senkrecht nach oben geworfen, wobei die Reibung vernachlässigt und die Kugel als Massenpunkt angesehen werden darf. a) Um welche Bewegungsart handelt sich hierbei? |
Image:
0110a (image/png)
|
| 10. Eine kleine Kugel werde senkrecht nach oben geworfen, wobei die Reibung vernachlässigt und die Kugel als Massenpunkt angesehen werden darf. b) Braucht die Kugel für den Aufstieg bis zum oberen Umkehrpunkt ihrer Bewegung mehr, gleich oder weniger Zeit als für ihren Abstieg vom Umkehrpunkt zum Abwurfpunkt? |
Image:
0110b (image/png)
|
| 12. Welche beiden Bewegungsarten sind im horizontalen Wurf enthalten? |
Image:
0112 (image/png)
|
| 13. Welche beiden Bewegungsarten sind im schiefen Wurf enthalten? |
Image:
0112 (image/png)
|
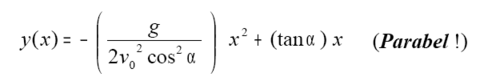
| 14. Welche Gestalt hat die Bahnkurve beim schiefen Wurf? Wie lautet deren Gleichung? |
Image:
0114_2_ (image/png)
|
| 15. Bei welchem Abwurfwinkel erreicht man beim schiefen Wurf die maximale Wurfweite? |
Image:
0115 (image/png)
|
| 1. Womit beschäftigt sich in der Physik die Dynamik im Vergleich zur Kinematik? | Die Kinematik ist die Lehre von den Bewegungen eines Körpers. Die Kinematik beschreibt die Bewegungen von Körpern ohne nach deren Ursachen zu fragen, d. h. ohne Berücksichtigung von Kräften, die die Bewegungen verursachen. Die Berücksichtigung von Kräften als Ursachen von Bewegungen ist das Thema der Mechanik. In der Kinematik werden Körper einfach als Punkte angesehen! Die Dynamik ist die Lehre von den Kräften. Die Dynamik untersucht die Wirkung von Kräften als Ursache von Bewegungen. Die Dynamik beschäftigt sich nicht mit dem Ursprung von Kräften; dies ist nach wie vor ein schwieriges Problem in der Physik. Allgemein gesprochen, sind Kräfte die Ursache von Beschleunigungen. |
| 2. Erklären Sie die drei Gesetze (Axiome) von Newton. |
Image:
01202 (image/png)
|
| 3. Was versteht man unter dem Begriff Trägheit? | Unter der Trägheit eines Objektes versteht man dessen natürliche Tendenz im Zustand der Ruhe oder der gleichförmigen Bewegung zu verharren. Ein quantitatives Maß für die Trägheit eines Objektes ist seine Masse. |
| 4. Geben Sie ein quantitatives Maß für die Trägheit eines Objektes an. | Ein quantitatives Maß für die Trägheit eines Objektes ist seine Masse. Einheit der Masse: [m] = kg. |
| 5. Erläutern Sie die "relativistische" Massenformel. |
Image:
01205 (image/png)
|
| 6. Was ist ein Inertialsystem in der Physik? | Ein Inertialsystem ist ein Bezugssystem, in dem das 1. Newtonsche Gesetz gilt. Inertialsysteme befinden sich im Zustand der Ruhe oder der gleichförmigen Bewegung. Inertialsysteme sind physikalisch äquivalent und können nicht durch Experimente voneinander unterschieden werden. |
| 9. Nennen Sie die vier grundlegenden Wechselwirkungen (Kräfte) der Physik. |
Image:
01209 (image/png)
|
| 10. Geben Sie das Newtonsche Gravitationsgesetz in vektorieller Form an. Fertigen Sie eine Skizze der Situation an. |
Image:
01210 (image/png)
|
| 11. Wie groß ist der Betrag der Gewichtskraft für ein Objekt der Masse m auf der Erde? |
Image:
01211 (image/png)
|
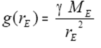
| 12. Wie hängt die Gravitationsbeschleunigung (Fallbeschleunigung) g vom Abstand r zum Massenmittelpunkt der Erde ab? |
Image:
01212 (image/png)
|
| 13. Was ist eine Normalkraft? |
Image:
01213 (image/png)
|
| 14. Geben Sie die Definitionsgleichung für die Haft- und Gleitreibungskraft in der Mechanik an. |
Image:
01214 (image/png)
|
| 15. Zeichnen Sie eine schiefe Ebene (Neigungswinkel α) auf der ein quaderförmiger Klotz (Masse m) hinab gleitet. Tragen Sie in die Skizze die Normal-, Hangabtriebs- und die Reibungskraft ein. |
Image:
01215 (image/png)
|
| 1. Was ist der Unterschied zwischen einer gleichförmigen und einer gleichmäßig beschleunigten Drehbewegung? | gleichförmige Drehbewegung: Ein Objekt bewegt sich mit konstanter Geschwindigkeit auf einer Kreisbahn. (gleichmäßig) beschleunigte Drehbewegung: Ein Objekt bewegt sich mit veränderlicher Geschwindigkeit auf einer Kreisbahn. Bei der gleichförmigen Drehbewegung handelt es sich um eine beschleunigte Bewegung, da, obwohl der Geschwindigkeitsbetrag konstant bleibt, sich die Richtung des Geschwindigkeitsvektors ständig ändert. |
| 2. Zeichnen Sie für eine gleichförmige Drehbewegung den Geschwindigkeits- und den Beschleunigungsvektor für einen beliebigen Zeitpunkt der Bewegung ein. |
Image:
01302 (image/png)
|
| 3. Was gilt bei einer gleichförmigen Rotationsbewegung stets für die gegenseitige Orientierung von Geschwindigkeits- und Beschleunigungsvektor zueinander? |
Image:
01303 (image/png)
|
| 4. Wie lautet der Betrag von Geschwindigkeits- und Beschleunigungsvektor bei einer gleichförmigen Drehbewegung? |
Image:
01304 (image/png)
|
| 5. Wie lautet der Ausdruck für den Betrag der Zentripetalbeschleunigung? In welche Richtung zeigt die Zentripetalbeschleunigung stets? |
Image:
01305 (image/png)
|
| 6. Geben Sie die Definitionsgleichung für die Zentripetalkraft an? |
Image:
01306 (image/png)
|
| 7. Leiten Sie den Ausdruck für den Betrag der Bahngeschwindigkeit v für einen Satelliten in einer kreisförmigen Erdumlaufbahn (im Abstand r vom Massenmittelpunkt der Erde) aus der Kräftebilanz von Zentrifugalkraft und Gravitationskraft (Anwenden des zweiten Newtonschen Gesetzes) ab. |
Image:
01307 (image/png)
|
| 8. Wie lautet der Ausdruck für die Periode eines Satelliten in einem kreisförmigen Orbit um die Erde? |
Image:
01308 (image/png)
|
| 9. Wie ist die Winkelgeschwindigkeit und wie die Winkelbeschleunigung definiert? |
Image:
01309 (image/png)
|
| 10. Wie hängen der Vektor der Bahngeschwindigkeit und der Vektor der Winkelgeschwindigkeit zusammen? |
Image:
01310 (image/png)
|
Want to create your own Flashcards for free with GoConqr? Learn more.