Funktionen

Description

a Analysis Flashcards on Funktionen, created by Jessi K on 04/04/2015.
Jessi K
Flashcards by Jessi K, updated more than 1 year ago
Jessi K
Created by Jessi K over 10 years ago
50
0

Resource summary

Question Answer
Wie sehen der Sinus oder Cosinus aus?
Wie sieht der Sinus aus? Was sind wichtige Punkte?
Wie sieht der Tangens aus?
Arctangens
Was für eine Eigenschaft hat der Logarithmus?
Welche Funktion geht durch den Punkt (1,1)? Die Quadratwurzel
Welche Funktion geht durch (1, -1) und (1, 1)?
Wie sieht die Exponentialfunktion aus?
Absolutwert |x|
chs (Vorzeichenwechsel) -x / id (Identität) x
Reziprokfunktion 1 / x
Die Graphen von geraden Funktionen sind symmetrisch bezüglich der Ordinatenachse. Auf welche Funktionen trifft dies zu? abs, sqr, cos
symmetrisch auf beiden Seiten einer Achse ein Spiegelbild ergebend
Eigenschaften von vordefinierten Funktionen
Monoton steigend oder fallend? a) abs b) rez c) sqr d) sqrt e) sqr(-∞; 0 ] f) sin[0; π ] g) cos [0; π ] h) tan[0; π ] a. nicht monoton b. nicht monoton c. nicht monoton d. monoton steigend e. monoton fallend f. nicht monoton g. monoton fallend h. nicht monoton
umkehrbar Die Graphen von umkehrbaren Funktionen haben mit jeder hotizontalen Geraden höchstens einen Schnittpunkt. Diese Eigenschaft trifft auf die folgenden Funktionen zu: sqrt, exp, ln, arcsin, arccos, arctan, id, chs, rez
Von zwei Graphenpunkten von moton fallenden Funktionen ist der rechte stets der tiefere. arccos und chs
monoton steigend Von zwei Graphenpunkten von moton steigenden Funktionen ist der rechte stets der höhere. id, sqrt, exp, ln, arcsin, arctan
periodische Funktionen Die Graphen von periodischen Funktionen setzen sich aus unendlich vielen kongruenten Stücken zusammen, die durch eine Horizontalverschiebung aus einander hervor gehen. sin, cos, tan
Welche Funktionen sind bezüglich dem Ursprung symmetrisch? Die Graphen von ungeraden Funktionen sin, tan, arcsin, arctan, id, chs, rez, sig
Was haben die e^x und ln(x) ähnlich?
Sind die Exponentialfunktion und der Logarithmus umkehrbar? Ja, Die Exponentialfunktion ist auf ganz R definiert, der Logarithmus nur auf R+ \ {0}
injektiv Es gibt zu jedem x-Wert genau einen y-Wert. Kein y-Wert kommt mehrmals vor.
surjektiv Alle Werte des Definitionsbereichs müssen mindestens einmal getroffen werden.
bijektiv Eine Funktion f ist bijektiv (eineindeutig), falls f injektiv und surjektiv ist. Jedes Elemente des Wertebereichs ist hier Funktionswert von genau einem Element des Definitionsbereichs.
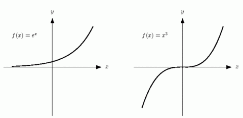
e^x injektiv aber nicht surjektiv (negative y-Werte werden nicht getroffen) x^3 bijektiv (Allen x-Werten enspricht genau ein y-Wert und umgekehrt)
sin (x) weder injektiv noch surjektiv x (x^2 - 1) surjektiv aber nicht injektiv
Show full summary Hide full summary

Similar

AG 4.1 Trigonometrie
Mathe Queen
Asymptoten
Franziska W.
Differenzialrechnung (Analysis) Zusammenfassung
Antonia C
Analysis - Abiturvorbereitung Mathe
c.aciksoez
Funktionen Einführung und Geradenfunktionen
Tahir Celikkol
Analysis - Abiturvorbereitung Mathe
Laura Overhoff
Matura Übungsaufgaben Analysis
erwin.premstalle
Integrale
sabasta
Funktionen - Erklärung von Begriffen
moodle5
Analysis: Funktionen und Lineare Funktionen
Angelika Kraus-Matejka
Grundlagen der Analysis
Laura Overhoff