|
|
Created by shovanja.so
over 10 years ago
|
|
| Question | Answer |
| Womit befasst sich Finanzmanagement | Planung, Steuerung und Kontrolle aller betrieblichen Zahlungsströme zur Mittelbeschaffung (Finanzierung), Mittelverwendung (Investition) und Bewirtschaftung des Umlaufsvermögens (Liquiditätsmanagement). |
| Unternehmensziele | Postulat: Die Aktionäre / das Management verfolgen eine Wertschöpfungsstrategie und versuchen, den Unternehmenswert zu maximieren. |
| Wert der Unternehmung und Kapitalstruktur | • Der Wert einer Unternehmung bestimmt sich in erster Linie auf Grund der Aktiven - Kapital- und Finanzierungsstruktur der Unternehmung bestimmt wie der Wert auf die zwei hauptsächlichen Geldgeber, Aktionäre & Kreditgeber aufgeteilt wird. |
| Geldflüsse einer Unternehmung | |
| Finanzierungsarten | |
| Illiquidität vs. Insolvenz | |
| Zeitwert des Geldes | 1 CHF heute muss nicht gleich viel Wert haben wie 1 CHF in einem Jahr. Das Geld gewinnt und verliert an Wert. |
| Rendite R | Formel kann umgeformt werden um z.B P1 zu finden. |
| Der Zukunftswert | Konzept des Zukunftswerts (manchmal auch Aufzinsung genannt) |
| Der Gegenwartswert (Barwert) | Alternativ kann man Werte auch per heute vergleichen. |
| Der Zeitstrahl | Besser Land kaufen! |
| Nettobarwert (Net Present Value) | |
| Zusammenhang Preis & Rendite | Wenn Preis fällt, steigt Rendite und vice versa. |
| Zusammenhang Rendite - Risiko | grosses Risiko, kleine Rendite, Nachfrage klein, Preis fällt, Rendite steigt -> Rendite und Risiko wieder im GG. (vice versa) |
| Zahlungsströme (Cash Flows) | 1. Buchhalterische Gewinne sind NICHT Cash Flows. - langlebige Güter dürfen nicht als Kosten geltend gemacht werden. -> Deshalb über Perioden abgeschrieben. 2. Cash Flow = Einnahme - Ausgabe -> sagt wie viel Unternehmen aus eigener Kraft erwirtschaftet hat. 3. Um Cash Flows zu berechnen, müssen alle Positionen, die keinen monetären Wert haben aus dem Jahresüberschuss/Jahresfehlbetrag entfernt werden. |
| Zinseszins & Zukunftswert | Der Zins vom 2. Jahr wird auf dem gutgeschriebenen Zins vom 1. Jahr verdient. FV = PV (1+ R) ^t t = Anzahl Jahren |
| Zinseszins BEISPIELE | Erste Bsp. Cäsar |
| Barwert und Zukunftswert | |
| Formel BARWERTE mehrere Cash Flows | ? |
| Cash Flow replizieren | |
| Barwert des Lebenseinkommens | |
| Nettobarwertprinzip | Nettobartwert = - Barwert Cash outflows + Barwert der (zukünftigen) Cash inflows |
| Arbitrage | Gezielte Ausnutzung von Kursunterschieden über einen simultanen Kauf und Verkauf gleicher Werte (z.B. Aktien, Rohstoffe, Währungen), ohne dabei ein Risiko zu tragen oder eigenes Kapital einzusetzen. -> KEIN EIGENES KAPITAL UND KEINE RISIKO |
| Buchhalterischer GEWINN ist NICHT Wertschöpfung | |
| Ewige Rente | |
| Wachsende ewige Rente | |
| Vorschüssige Ewige Rente | |
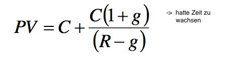
| Vorschüssige wachsende ewige Rente | |
| Barwert konstanter Annuität PVIFA | |
| Zukunftswert konstanter Annuität | Bsp. in 5 Jahren auf Weltreise (40'000). Welchen jährlichen Beitrag am Ende bei 5% Zinssatz. LÖSUNG: Formel nach C auflösen. |
| Nachschüssige Wachsende Annuitäten |
Want to create your own Flashcards for free with GoConqr? Learn more.