Thermodynamik I/II

Description

Fragenteil
K G
Flashcards by K G, updated more than 1 year ago More Less
Akram Ben Dhia
Created by Akram Ben Dhia about 10 years ago
K G
Copied by K G about 10 years ago
1927
34

Resource summary

Question Answer
Wie viele Hauptsätze gibt es in der Thermodynamik? Es gibt 4 Hauptsätze.
Erläutern Sie folgende Begriffe und nennen Sie jeweils 2 Beispiele:Prozessgröße, Intensive Zustandsgroße, Extensive Zustandsgröße Prozessgröße Eine Prozessgröße hängt vom Weg ab, z. B. die Arbeit W12 oder die Wärme Q12. Intensive Zustandsgroße Intensive Zustandsgroße verändern ihren Wert nicht bei Teilung des Systems. Druck p und Temperatur T sind intensive Zustandsgröße. Extensive Zustandsgröße Extensive Zustandsgrößen ändern ihren Wert bei Teilung des Systems, weil die zu Systemmasse proportional sind. Volumen V und innere Energie U sind extensive Zustandsgrößen.
Definition eines Offenen Systems + Beispiel Bei einem offenen System können sowohl Massen, als auch Energien z. B. in Form von Wärme und Arbeit über die Systemgrenze treten. Ein Beispiel eines offenen Systems ist eine Gasflasche mit gerade geöffnetem Ventil, aus dem ein Massenstrom über die Systemgrenze tritt.
Definition eines geschlossenen Systems + Beispiel Für das geschlossene System können Energien z. B. in Form von Wärme und Arbeit über die Systemgrenze in das System ein- und austreten. Die Systemgrenze ist allerdings für Masse undurchlässig. Betrachtet man ein Gas, das sich in einem, durch einen Kolben verschlossener Zylinder befindet, so ist dies ein Beispiel für ein geschlossenes System. Diesem System wird durch die angeschlossene Heizung Wärme zugeführt, in dem die Heizung für eine gewisse Zeit angeschaltet wird. Eine Kolbenbewegung würde eine Arbeitszu- oder abfuhr am System zur Folge haben.
Definition eines abgeschlossenen Systems + Beispiel Unter einem abgeschlossenen System versteht man ein System, das mit seiner Umgebung weder Masse (m), noch Wärme (Q) oder Arbeit (W) austauscht. Abgeschlossene Systeme kann es in der Realität praktisch nicht geben, da sie eine unendlich gute Isolation voraussetzen. Hierzu gehört auch eine perfekte Wärmeisolation des Systems. Das System dürfte also keinerlei Wärme mit der Umgebung austauschen, müsste also wärmedicht (adiabat) sein. Ein näherungsweise abgeschlossenes System stellt z. B. eine Thermoskanne (Dewar-Gefäß) dar.
Erklären Sie mit Hilfe dreier Systeme A, B und C den Nullten Hauptsatz der Thermodynamik. Zwei Systeme A und B, die sich im thermischen Gleichgewicht mit einem dritten System C befinden, sind auch miteinander im thermischen Gleichgewicht, haben also die gleiche Temperatur.
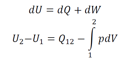
Geben Sie den 1. Hauptsatz für ein geschlossenes System in differenzieller und in integraler Form an. Es tritt Volumenänderungsarbeit und eine Wärme auf.
Was ist die zentrale Zustandsgröße im Zweiten Hauptsatz der Thermodynamik? Wie kann sie sich in einem abgeschlossenen System ändern? Die zentrale Zustandsgröße im Zweitem Hauptsatz der Thermodynamik ist die Entropie S. In einem abgeschlossenen System wird der Wert von der Entropie gleich bleiben oder zunehmen.
Was bezeichnen die Ihnen bekannten drei Koeffizienten und wie lautet der Zusammenhang zwischen ihnen?
Stellen Sie das totale Differenzial für die innere Energie U=U(S,T) auf
Zeichen Sie einen Kreisprozess in das p,v-Diagramm ein. Was gilt hierbei für jede Zustandsgröße Z?
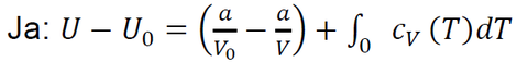
Wovon hängt die innere Energie U idealen Gases ab?
Geben Sie die Gleichung für die Entropieänderung eines geschlossenen Systems in differenzieller Form an.
Geben Sie den Inhalt des Dritten Hautsatzes der Thermodynamik wieder. Befindet sich ein thermodynamisches System am absoluten Nullpunkt der Temperatur (T=0K) im thermodynamischen Gleichgewichtszustand, so besitzt die zu diesem Zustand gehörige Entropie einen festen Wert S0, der unabhängig ist vom Volumen, Druck, Zustand, Material, usw. des Systems.
Nennen Sie die Besonderheiten der kanonischen Zustandsgleichung. Von welchen Größen hängt die kanonische Form der inneren Energie U ab? Aus den kanonischen Zustandsgleichungen oder Fundamentalgleichungen kann sowohl die thermische, als auch die kalorische Zustandsgleichung ableitet werden.
Wie sind die freie Energie und die Freie Enthalpie Definiert?
Skizzieren Sie die Phasenübergänge von Wasser und von Kohlenstoffdioxid jeweils qualitativ in einem p,T-Diagramm. Kennzeichnen und beschriften Sie den Tripelpunkt, den kritischen Punkt sowie alle auftretenden Phasengebiete.
Wie lauten die thermische Zustandsgleichung und die kalorische Zustandsgleichung in allgemeiner Form?
Geben Sie die Formel der Gibbsschen Phasenregel an. Benennen Sie dabei die einzelnen Größen.
Nennen Sie die Annahmen, die bei der Betrachtung eines idealen Gases getroffen werden. Bei einem Idealen Gas werden Kohäsionskräfte und eigene Volumen von Molekülen nicht berücksichtig.
Beschreiben Sie für ein ideales Gas folgende Zusammenhänge (Formel): 1) Änderung der spezifischen inneren Energie in Abhängigkeit von der Temperaturänderung bei konstantem Volumen 2) Änderung der spezifischen Enthalpie in Abhängigkeit von der Temperaturänderung bei konstantem Druck
Wie ist der Dampfgehalt definiert? Welchen Wert nimmt der Dampfgehalt auf der Siedelinie an, welchen auf der Taulinie?
Wie wird eine Zustandsgleichung mit Potentialeigenschaften genannt? Erläutern sie diese Eigenschaften. Zustandsgleichungen mit Potentialeigenschaften werden als kanonische Zustandsgleichungen oder Fundamentalgleichungen bezeichnet. Aus den kanonischen Zustandsgleichungen oder Fundamentalgleichungen kann sowohl die thermische, als auch die kalorische Zustandsgleichung ableitet werden.
Von welchen Zustandsgroßen hängt innere Energie bzw. Enthalpie ab, wenn diese in der kanonischen Form gegeben sind?
Wie sind die Größen Cp und Cv definiert?
Wie ist der thermische Wirkungsgrad nth eines Kreisprozesses definiert? Was ergibt sich für einen Carnot-Prozess in Abhängigkeit von Tmin und Tmax?
Geben Sie die Definition der Entropie an.
Wie Lautet der erste Hauptsatz für eine stationären Fließprozess mit zwei Massenströmen (einen eintretenden und einem austretenden), wenn kinetische und potenziale Energieänderungen nicht vernachlässig werden können?
Wie lautet der Zusammenhang zwischen einer individuellen Gaskonstante R, eines idealen Gases und der universale Gaskonstante
Was ist besonderes an einer kanonischen Zustandsgleichung? Aus den kanonischen Zustandsgleichungen oder Fundamentalgleichungen kann sowohl die thermische, als auch die kalorische Zustandsgleichung ableitet werden.
Von welchen Zustandsgrößen hängt die freie Enthalpie G ab, wenn sie in der kanonischen Form eingegeben ist?
Skizzieren Sie im p,v-Diagramm die drei Zweiphasengebiete und die Tripellinie! Zeichen Sie auch die kritische Isotherme (Tk), eine Isotherme T1<Tk
Kann eine Temperatur von T=0K erreicht werden? Begründen Sie Ihre Antwort mit Hilfe einer Skizze.
Geben Sie die Gleichung für die Berechnung der Entropieänderung in einem reversiblen Prozess an!
Was entsteht bei einer irreversiblen Zustandsänderung auf Grund der Energiedissipation?
Die kalorische Zustandsgleichung lautet in: (1) allgemeiner Form (2) Sonderfall des van der Waals-Medium (3) Spezialfall des idealen Gases (Cv nicht konstant)
Eine adiabate Expansion findet von p1 auf p2 statt. Stellen Sie die Zustandsänderung für eine reversible adiabate und eine adiabat reibungsbehaftete Änderung in einem T,s-Diagramm dar.
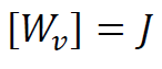
Welche Dimension hat die Volumenänderungsarbeit?
Welche Dimension besitzt der isobare Ausdehnungskoeffizient? 1/K
Die Thermische Zustandsgleichung lautet: allgemeiner Fall Für ein ideales Gas
Der erste Hauptsatz für ein geschlossenes System lautet in integrale Form:(Erläutern Sie dabei den Typ der auftretenden Grössen)
Geben Sie die Definitionsgleichungen für die Volumenänderungsarbeit und die technische Arbeit an.
Geben Sie die Definitionen der Zustandsfunktionen Enthalpie, freie Energie an:
Wie lautet die thermische Zustandsgleichung nach van der Waals? Welche physikalische Große wir durch die Konstante b repräsentiert? Was bedeutet der Korrekturterm
Zeichen Sie in einem T-S-Diagramm jeweils zwei Isobare und zwei Isochore ein und kennzeichnen Sie welche Isobare den höheren Druck und welche Isochore des Größeres Volumen beschreibt.
Wie lautet der erste Hauptsatz U=(S,V) ausgedruckt mit den Zustandsgrößen p, S, V und T?
Wie lautet die kanonische Form der Zustandsgleichungen für U, H, G, und F in differenzielle Schreibweise? Welche Eigenschaften haben alle diese Zustandsgleichungen?
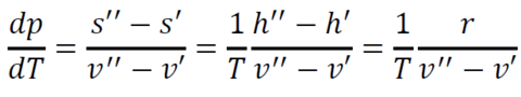
Wie lautet die Gleichung für die Steigung der Dampfdruckkurve?
Für ein ideales Gas sind die Größen
Welcher Term bleibt bei der polytropen Zustandsänderung konstant? Skizzieren Sie in einem p,V-Diagramm jeweils eine isobare, eine isochore, eine reversibel adiabate, eine isotherme und eine polytrope (1<n<k) Zustandsänderung für ein ideales Gas ausgehend vom Zustand 1.
Skizzieren Sie einen Carnot-Prozess in einem T,S-Diagramm. Kennzeichnen Sie die Zustände, die Zustandsänderungen und die abgeführte Wärme. Welchen thermischen Wirkungsgrad hat de Prozess?
Wie ist der Thermische Wirkungsgrad nth eines Kreisprozesses definiert? Was ergibt sich für einen Carnot-Prozess in Abhängigkeit von Tmin und Tmax?
Was besagt das Gibbssche Paradoxon?
Bei der adiabaten Drosselung (stationärer Fließprozess) bleiben folgende Größen konstant:(Fall 1: ideales Gas + Fall 2: realer Gas)
Skizzieren Sie die Joule-Thomson Inversionslinie für ein van der Waals-Gas im dargestellten T(barre),p(barre)-Diagramm. Kennzeichnen Sie die Bereichen der Erwärmung und der Abkühlung sowie die Bereiche, in denen für den isenthalpen Drosselkoeffizienten dh<0,dh=0,dh>0 gilt.
Wie unterscheiden sich Wasserstoff und Stickstoff bei einer adiabaten Drosselung bei 20 °C? Stickstoff wird sich abkühlen. Wasserstoff wird sich erwärmen.
Wie nennt man eine Zustandsänderung eines idealen Gases, bei der sich der Druck umgekehrt proportional zum Volumen verhält? Isotherme Zustandsänderung.
Welche thermodynamische Zustandsgröße bleibt bei einer adiabaten Drosselung im stationären Fließprozess konstant, wenn kinetische und potenziale Energie vernachlässig werden?Wie verhält sich hierbei die Temperatur im Falle eines idealen Gases? h1=h2 T=konstant
Wie sind der Molanteil und der Massenanteil eines Gasgemischt definiert? Geben Sie zusätzlich an, wie die isochore spezifische Wärmekapazität eines Gasgemisches bestimmt wird.
Skizzieren Sie in einem p,V sowie T,S-Diagramm einen Carnot-Prozess mit einem idealen Gas. Kennzeichnen Sie die Teilprozesse und zeigen Sie bei welchen Wärme zu- und abgeführt werden.
Einem idealen Gas wir auf drei verschiedenen reversiblen Prozesswegen jeweils die gleiche Wärme Q12 zugeführt. Im Fall A isobar, im Fall B isochor, im Fall C ist der Prozess isotherm. Welche Prozess hat die größte und welcher die kleinste Entropiezunahme? Begründen Sie Ihre Antwort mit Hilfe einer Skizze!
Die Entropieänderung für ein reales Gas bei einer isothermen Zustandsänderung ist definiert als...
Wie verhält sich ein Gas bei adiabaten Drosselung, wenn gilt: αT<1 αT=1 αT>1 αT<1: Erwärmung des Gases. αT=1: Temperatur bleibt konstant. αT>1: Abkühlung des Gases.
Geben Sie die Definitionen der Zustandsfunktionen Enthalpie, freie Energie, freie Enthalpie und Entropie an.
Von welchen Zustandsgrößen hängt die freie Energie F ab, wenn sie in der kanonischen Form angegeben ist? F=F(T,V)
Wie lautet die dimensionslöse Form der thermischen Zustandsgleichung für ein Van-der-Waals Gas (bezogen auf die kritischen Größen)? Nennen Sie einen Vorteil dieser Darstellung gegenüber der Formulierung von oben?
Hängt die innere Energie eines van-der-Waals Gases zusätzlich zur Temperatur auch von Volumen ab?
Erläutern Sie den Begriff „Maxwellsche Gerade“. Zeichen Sie hierfür eine p,V-Diagramm.
Was besagt Dalton’sche Hypothese? Ein Gemisch idealer Gase wirkt so auf die Wände, als ob die Komponenten unabhängig voneinander wären. (Partialdruckrinzip)
Welche thermodynamische Zustandsgröße bleibt bei einer adiabaten Drosselung eines idealen Gases im stationären Fließprozess konstant, wenn kinetische und potenziale Energie vernachlässig werden? Temperatur T
Ein ideales Gas erfährt auf drei verschiedenen reversiblen Prozesswegen jeweils die gleiche Entropiezunahme ΔS. Im Fall A ist der Prozess isobar, im Fall B ist der Prozess isochor, im Fall C ist der Prozess isotherm. Welche Prozess muss hierfür die Größte Wärmemenge Q zugeführt werden und welchem Prozess die kleinste? Begründen Sie Ihre Antwort mittels einer Skizze.
Was ist ein System? Welche verschiedenen Arten von Systemen unterscheidet man? Ein System ist in der Thermodynamik ein Gebilde, das man betrachtet. Es ist durch eine Systemgrenze umschlossen. Außerhalb des Systems befindet sich die Umgebung. Man unterscheidet die drei Systemarten: Offenes System: Austausch von Energie und Masse über die Systemgrenze Geschlossenes System: Austausch von Energie über die Systemgrenze, keine Masse tritt über die Systemgrenze Abgeschlossenes System: Weder Masse noch Energie treten über die Systemgrenze
Was unterscheidet eine Zustandsgröße von einer Prozessgröße? Nennen Sie jeweils ein Beispiel für eine Zustandsgröße und eine Prozessgröße! Eine Zustandsgröße ist wegunabhängig und erfüllt Gl. (2.1). Beispiele für Zustandsgrößen sind, T, V. Eine Prozessgröße hängt vom Weg ab, z. B. die Arbeit W12 oder die Wärme Q12.
Betrachten Sie ein halb voll mit Whisky gefülltes Glas! Nun werfen wir einen Eiswürfel in das Glas! Betrachten wir als System den Whisky mit dem Eis! Handelt es sich hierbei um ein homogenes System? Es handelt sich um ein heterogenes System, da wir eine flüssige Phase (Whisky) und eine feste Phase (Eiswürfel) haben. Ist der Eiswürfel nach einiger Zeit geschmolzen, so haben wir es wieder mit einem homogenen System zu tun.
Warum stellt das erste und das zweite Gleichgewichtspostulat die Grundlage der Temperaturmessung dar? Bei der Temperaturmessung will man die Temperatur eines beliebigen Körpers messen. Diesen bringt man mit einem möglichst kleinen Körper (Thermoelement, Thermometer) ins Gleichgewicht. Dann haben beide Körper die gleiche Temperatur. Da man das Messgerät (Thermoelement, Thermometer) vorher mittels eines anderen Körpers (mit dem man es auch ins Gleichgewicht gebracht hat) geeicht hat, kann man so die Temperatur bestimmen.
Welche Werte nimmt die Temperatur 20 °C in der Fahrenheit, Rankine und der thermodynamischen Temperaturskala (Kelvin) an?
Was versteht man unter einer quasistatischen Zustandsänderung? Hierunter versteht man eine Zustandsänderung, die so langsam abläuft, dass zu jedem Zeitpunkt ein Gleichgewichtszustand herrscht.
Nennen Sie jeweils zwei Beispiele von extensiven Zustandsgrößen, intensiven Zustandsgrößen und spezifischen Prozessgrößen!
Wie sind die Größen Enthalpie, freie Energie, freie Enthalpie und Entropie definiert?
Wie groß ist die Volumenänderungsarbeit für eine isobare Zustandsänderung (p=konst), wenn sich das Volumen von V1 auf V2 vergrößert?
Wie groß ist die Volumenänderungsarbeit für eine isochore ( Für eine isochore Zustandsänderung ändert sich das Systemvolumen nicht und die Volumenänderungsarbeit ist nach Gl. (2.7) gleich Null.
Warum ist p keine extensive Zustandsgröße? Warum ist V eine extensive Zustandsgröße? Teilt man das System, so bleibt der Druck gleich. Er ist also nicht von der Systemgröße abhängig. Das bedeutet, dass p eine intensive Zustandsgröße ist. Das Volumen V ändert sich mit einer Systemteilung und ist deshalb eine extensive Zustandsgröße.
G sei eine Zustandsgröße mit der Einheit [J]. Welche Einheit haben dann die Größen g, Gm und G (point)?
Wodurch ist ein adiabates System gekennzeichnet? Ein adiabates System ist wärmedicht, d. h. es wird keine Energie in Form von Wärme mit der Umgebung ausgetauscht. Es kann aber sowohl Masse als auch Arbeit über die Systemgrenze übertragen werden.
Welche physikalischen Effekte müssen bei einer Bilanzierung grundsätzlich berücksichtigt werden? Bei einer Bilanzierung müssen die folgenden vier physikalischen Effekte berücksichtigt werden: konvektiver Transport, diffusiver Transport, Feldeffekte, sowie Quellen und Senken.
Existiert eine allgemeingültige und umfassende Definition der thermodynamischen Zustandsgröße „Energie“? Wenn ja, nennen Sie diese; wenn nein, erklären Sie, warum es keine solche Definition gibt! Selbst mit dem heutigen Wissensstand der Physik wissen wir nicht, was Energie wirklich ist. Dies ist im Wesentlichen dadurch begründet, dass die Arten der Energie und deren Formen der Übertragung bzw. Umwandlung in wirklich allen Prozessen in Natur und Technik vorkommen, so dass eine allgemeingültige Definition des Begriffs Energie viel zu umfangreich und damit aussagelos würde.
Sind innere Energie und kinetische Energie Erhaltungsgrößen? Innere Energie und kinetische Energie sind keine Erhaltungsgrößen. In einem abgeschlossenen thermodynamischen System kann durch Reibungsprozesse kinetische Energie (vollständig) in innere Energie dissipiert werden, was bedeutet, dass kinetische Energie verschwindet und innere Energie erzeugt wird. In gewissen Grenzen ist es aber auch möglich, z. B. durch einen Expansionsprozess, innere Energie in kinetische Energie zu überführen.
Wie unterscheiden sich bei einem Kolbenverdichter die über einen Arbeitszyklus summierten Volumenänderungsarbeiten von der insgesamt zugeführten technischen Arbeit? Sofern Änderungen der kinetischen und potenziellen Energien zwischen Ein- und Austritt des Kolbenverdichters vernachlässigt werden können, sind bei einem reibungsfrei arbeiteten Kolbenverdichter die über einen Arbeitszyklus summierten Volumenänderungsarbeiten gleich der insgesamt zugeführten technischen Arbeit. Unterscheiden sich kinetische und potenzielle Energien im Ein- und Auslassstutzen des Verdichters und tritt zudem noch Reibung auf, so müssen diese Energieunterschiede durch eine entsprechend veränderte technische Antriebsarbeit berücksichtigt werden.
Kann die Entropie eines geschlossenen Systems abnehmen? Gemäß des zweiten Hauptsatzes der Thermodynamik nach Gl. (3.24) geht eine Wärmeabgabe mit einer entsprechenden Entropieabnahme des betrachteten Systems einher. Folglich kann die Entropie eines geschlossenen thermodynamischen Systems durch eine Wärmeabgabe abgesenkt werden.
Ist es möglich, den absoluten Nullpunkt der Temperatur zu erreichen? Theoretisch kann man sich dem absoluten Nullpunkt nur durch eine Abfolge von unendlich vielen Prozessschritten asymptotisch annähern. Praktisch kann man den absoluten Nullpunkt nicht vollkommen erreichen.
Was versteht man unter dem chemischen Potenzial und in welcher Relation steht es zu der freien Enthalpie? Das chemische Potenzial ist eine intensive Zustandsgröße, die eine Energieänderung infolge einer Mengenzu- oder -abfuhr angibt. Sie besitzt also die physikalische Einheit (Änderung der) Energie bezogen auf eine (Änderung der) Menge. Für einen Reinstoff ist das chemische Potenzial gleich der molaren freien Enthalpie.
Für welche thermodynamischen Zustandsgrößen bedeutet die Gibbs-Duhem- Gleichung eine Restriktion? Die Gibbs-Duhem-Gleichung belegt die intensiven Zustandsgrößen Temperatur, Druck und chemisches Potenzial mit einer Restriktion, so dass diese nicht mehr völlig unabhängig voneinander sind.
Erläutern Sie den Unterschied zwischen einer Fundamentalgleichung und einer Zustandsgleichung!
Wie lautet die Gibbssche Fundamentalgleichung?
Von welchen Variablen hängt die Fundamentalgleichung der inneren Energie U ab und wie lautet das zugehörige totale Differenzial?
Wie viele Freiheitsgrade hat eine Mischung aus drei Stoffen, bei der zwei verschiedene Phasen auftreten?
Nennen Sie zwei Gründe, warum man mit der Gleichung für das ideale Gas kein reales Verhalten eines Stoffs (z.B. Verflüssigung) beschreiben kann! Zwei Gründe sind z.B.: 1 In der Gleichung für das ideale Gas wird keine Interaktion zwischen den einzelnen Molekülen berücksichtigt. 2 Das Eigenvolumen der Moleküle wird in der Gleichung für das ideale Gas vernachlässigt.
Was ist eine Zustandsgleichung? Welche unterschiedlichen Formen von Zustandsgleichungen gibt es? Eine Zustandsgleichung gibt uns den Zusammenhang zwischen Zustandsgrößen für einen bestimmten Stoff an. Es gibt die folgenden Zustandsgleichungen: Kanonische Zustandsgleichung, kalorische Zustandsgleichung, thermische Zustandsgleichung. Aus einer kanonischen Zustandsgleichung lassen sich die thermische und die kalorische Zustandsgleichung ableiten.
Leiten Sie aus Gl. (4.9) einen Zusammenhang p(T) für die Dampfdruckkurve her, indem Sie das spezifische Volumen der Flüssigkeit gegenüber dem des Dampfes vernachlässigen und die Verdampfungsenthalpie r=konst. setzen!
Leiten Sie die Beziehung nach Gl. (4.11) her, indem Sie das totale Differenzial des Druckes als Funktion von T und V bilden. Werten Sie diesen Ausdruck dann für p=konst. aus!
Leiten Sie für einen realen Stoff je eine Beziehung analog zu Gl. (4.51) für die spezifische freie Enthalpie und die spezifische freie Energie aus den Definitionen dieser Größen her!
Warum spricht man davon, dass die van der Waals-Gleichung in reduzierten Variablen einen universellen Charakter hat? Gleichung (4.41) ist die van der Waals-Gleichung in reduzierten Variablen. Man erkennt an dieser Gleichung, dass keinerlei stoffspezifische Größen wie z.B. R,a,b in dieser Gleichung auftreten. Sie ist also für alle Stoffe gleich und hat deshalb einen universellen Charakter
Was versteht man unter van der Waals-Typ-Zustandsgleichungen? Unter van der Waals-Typ-Zustandsgleichungen versteht man thermische Zustandsgleichungen nach Gl. (4.44), bei denen es immer eine kubische Abhängigkeit von
Was beschreibt die Clausius-Clapeyronsche Gleichung? Die Clausius-Clapeyronsche Gleichung gibt die Steigung der Dampfdruckkurve dp/dT an.
Welche Zustandsgrößen bleiben jeweils bei einer isobaren, isothermen, isochoren, isenthalpen, reversibel adiabaten und polytropen Zustandsänderung eines idealen Gases konstant?
Welche Zustandsgrößen bleiben jeweils bei einer isobaren, isothermen, isochoren, isenthalpen und reversibel adiabaten Zustandsänderung eines realen Stoffes im Nassdampfgebiet konstant?
Wie groß ist der thermische Wirkungsgrad einer Carnot-Maschine, die zwischen den beiden Temperaturen 1200 K und 300 K betrieben wird?
Eine Carnot-Maschine wird reibungsbehaftet betrieben. Wie ändert sich der thermische Wirkungsgrad und warum? Wird die Maschine reibungsbehaftet betrieben, so wird der thermische Wirkungsgrad geringer, da die obere Prozesstemperatur geringer bzw. die untere Prozesstemperatur dann höher sind.
Was ist leichter: trockene Luft (Luft ohne Wasserdampf) oder feuchte Luft (Luft mit Wasserdampf)? Beide Komponenten (Luft und Wasserdampf) dürfen als ideales Gas behandelt werden. Feuchte Luft ist leichter, da die Molmasse von Wasser geringer ist als die von Luft. Man erkennt das z. B. auch daran, dass es in der Küche und im Bad immer an der Decke feucht wird und nicht am Boden.
Betrachten Sie eine adiabate Drosselung in einem mit Gas durchströmten, horizontal liegenden Rohr! Das Gas strömt mit einer hohen Geschwindigkeit durch das Rohr. Wie lautet für diesen Fall der erste Hauptsatz für dieses offene System?
Wie sind der isenthalpe und der isotherme Drosselkoeffizient definiert? Was sagt der isenthalpe Drosselkoeffizient aus?
Was beschreibt die Joule-Thomson Inversionslinie? Die Joule-Thomson Inversionslinie ist die Kurve, für die sich die Temperatur des Mediums beim adiabaten Drosseln nicht ändert.
Berechnen Sie formelmäßig für eine isenthalpe, adiabate Zustandsänderung im Nassdampfgebiet die umgesetzte spezifische Volumenänderungsarbeit!
Was versteht man unter den Begriffen Exergie und Anergie? Die Exergie ist der Anteil der Energie, der sich in einer gegebenen Umgebung durch eine reversible Prozessführung vollständig in nutzbare Arbeit umwandeln lässt. Anergie ist der Anteil der Energie, der sich unter keinen Umständen in nutzbare Arbeit umwandeln lässt. Die Energie eines Systems ist die Summe aus Exergie und Anergie.
Warum besteht unsere reale Umgebung nicht nur aus Anergie? Der Zustand unserer realen Umgebung ist nicht konstant und unveränderlich. Es treten immer wieder Veränderungen (Differenzen bzw. Gradienten) auf, wie z.B. räumliche oder zeitliche Temperaturänderungen, Tagesgänge, Wind, Gezeiten, etc., die zur Arbeitsgewinnung genutzt werden können.
Stellen Sie die Nutzarbeit, die einmalig aus einem sehr kalten Gas, das bei Umgebungsdruck vorliegt, bestenfalls gewonnen werden kann, als Fläche in einem p,V-Diagramm dar!
Wie unterscheiden sich Wärmekraftmaschine, Wärmepumpe und Kältemaschine hinsichtlich des jeweils auftretenden Exergiestromes? Die Wärmekraftmaschine gibt Exergie ab, indem sie mechanische Arbeit (pro Zeit) leistet. Dieser Exergiestrom wird ihr als Teil eines Wärmestromes zugeführt. Der Wärmepumpe und der Kältemaschine wird reine Exergie in Form von mechanischer oder elektrischer Antriebsenergie zugeführt. In Verbindung mit einer Wärmeübertragung wird diese Exergie im Fall der Wärmepumpe auf (im Vergleich zur Umgebungstemperatur) hohem Temperaturniveau zum Heizen oder im Fall der Kältemaschine auf tiefem Temperaturniveau zum Kühlen wieder abgegeben.
Einem Kühlschrank fließt durch Wandwärmeübertragung ein gewisser Energiestrom zu. Wird die Exergie des Kühlraums durch die so gewonnene Energie vergrößert oder verkleinert? Dem Kühlraum eines Kühlschranks wird von der Umgebung infolge von Wandwärmeverlusten Wärme zugeführt, welche die Exergie, die dem Kühlraum durch die Kältemaschine zugeführt wird, in einem irreversiblen Prozess (unwiederbringlich) vernichtet. Die Exergie wird in Anergie überführt und damit verringert.
Was versteht man unter dem „schädlichen Raum“ bei einem Kolbenverdichter? Der schädliche Raum ist das Volumen im Zylinder einer Kolbenmaschine zwischen Zylinderdeckel und Kolben, wenn sich der Kolben in der oberen Totpunktlage befindet. In diesem Raum wird sich immer Gas befinden, so dass das verdichtete Gas in diesem Raum zunächst expandieren muss, bevor frisches Gas angesaugt werden kann.
Wie kann man bei Großverdichtern den geförderten Volumenstrom bei konstanter Drehzahl des Antriebsmotors regeln? Durch Vergrößern oder Verringern des schädlichen Raumes über Ventile können der Füllungsgrad (Gl. (7.4) und (7.5)) und damit die Fördermenge bei gleichen Betriebsparametern und konstanter Drehzahl geregelt werden.
Wie ist der isentrope Turbinenwirkungsgrad definiert? Veranschaulichen Sie diesen in einem h,s-Diagramm!
Nennen Sie Beispiele für Arbeitsmaschinen und für Kraftmaschinen! Wie unterscheiden wir diese? Bei Arbeitsmaschinen wird Arbeit zugeführt und dadurch der thermodynamische Zustand des Arbeitsmediums geändert. Beispiele dafür sind Verdichter oder Pumpen. Bei Kraftmaschinen wird aus dem thermodynamischen Zustand des Arbeitsmediums Arbeit gewonnen. Beispiele dafür sind Turbinen oder Dampfmaschinen.
Unter welchen Annahmen können geschlossene und offene Prozesse in gleicher Weise als Kreisprozesse behandelt werden? Was kennzeichnet einen Vergleichsprozess? Wenn das Arbeitsmedium nach dem Durchlaufen der einzelnen Teilprozesse wieder in den Ausgangszustand zurückkehrt, erhalten wir einen Kreisprozess. Dies ist für geschlossene Systeme, die stationär arbeiten sollen, direkt gegeben. Wenn bei offenen Systemen der Eintrittszustand des Arbeitsmediums dem Austrittszustand entspricht (z. B. Umgebung bei offenen Gasturbinenanlagen), können diese in gleicher Weise behandelt werden. Werden die einzelnen Teilprozesse durch reversible Zustandsänderungen idealisiert, sprechen wir von einem Vergleichsprozess. Man bezeichnet diese Prozesse deshalb auch als innerlich reversibel.
Wieso entsprechen die thermischen Wirkungsgrade des Stirling- und des Ericson- Prozesses dem Wirkungsgrad des Carnot-Prozesses? Bei beiden Prozessen (Stirling und Ericson) erfolgt die Wärmezufuhr und die Wärmeabfuhr isotherm. Durch den inneren regenerativen Wärmeaustausch wird in der Summe in den anderen beiden Teilprozessen keine Wärme mit der Umgebung ausgetauscht, so dass diese reversiblen Teilprozesse summarisch reversibel adiabat sind. Dies entspricht dem Carnot-Prozess.
Welche Maßnahme reduziert bei Dampfkraftprozessen die Erosion der Turbinenbeschaufelung? Durch Zwischenüberhitzung kann bei Dampfkraftprozessen bei gleicher Maximaltemperatur der Zustandspunkt nach der gesamten Entspannung in den Turbinen zu höheren Dampfgehalten im Nassdampfgebiet oder sogar aus dem Nassdampfgebiet heraus verschoben werden. Dadurch werden mögliche Wassertropfen in ihrer Größe reduziert bzw. verhindert, was zu geringeren Erosionseffekten bei der Beaufschlagung der Turbinenschaufeln führt.
Welche fünf verschiedenen Arten von Kälteprozessen kennen Sie, die sich insbesondere durch die unterschiedlichen Formen der zugeführten Antriebsenergie unterscheiden? Es können die folgenden fünf verschiedenen Arten von Kälteprozessen unterschieden werden: 1. Kompressionsprozess, dem mechanische Arbeit zum Antrieb eines Verdichters zugeführt wird. 2. Sorptionsprozess, dem thermische Energie zugeführt wird. 3.Thermoelektrischer Prozess, bei dem ein aufgeprägter elektrischer Strom eine Temperaturdifferenz entstehen lässt. 4. Thermoakustischer Prozess, bei dem durch einen Lautsprecher eine stehende Schallwelle erzeugt wird. 5. Thermomagnetischer Prozess, bei dem ein magnetisierbarer Stoff einem zu- und abschaltbaren Magnetfeld ausgesetzt wird.
In welchem Bereich liegen die typischen Kühlraumtemperaturen für Kaltluft- und Kaltdampfprozesse? Liegen die Temperaturen des zu kühlenden Raumes oberhalb von ca. −40°C, werden oft Kaltdampfprozesse eingesetzt, da diese im Vergleich zu Kaltluftprozessen in diesem Temperaturbereich normalerweise günstigere Leistungszahlen erreichen. Im Temperaturbereich zwischen −40°C und −80°C sind die Leistungszahlen von Kaltdampf- und Kaltluftprozess etwa ähnlich. Bedingt durch eine innere Wärmeübertragung ist die Leistungszahl des Kaltluftprozesses relativ konstant und unabhängig von der Temperatur des zu kühlenden Raumes, während die des Kaltdampfprozesses mit der Temperatur stark absinkt. Daher wird bei noch tieferen Kühlraumtemperaturen üblicherweise der Kaltluftprozess verwendet.
Anhand welcher Kennzahl lassen sich Unter- und Überschallströmungen unterscheiden?
Warum wird bei einer Lavaldüse sowohl der konvergente Kanalteil als auch der divergente Kanalteil als Düse bezeichnet? Als Düse bezeichnen wir eine Kanalform, in der eine Strömung beschleunigt wird. Bei einer Lavaldüse wird die Strömung zunächst im Unterschallbereich durch eine konvergente Kanalform beschleunigt und nach dem Schalldurchgang (푀푎=1) im engsten Querschnitt der Düse im Überschallbereich durch eine divergente Kanalform weiter beschleunigt.
Unter welcher Voraussetzung kann in einer Lavaldüse eine Überschallströmung erreicht werden? Wie groß ist dann die Geschwindigkeit an der engsten Stelle der Lavaldüse? Wird eine Strömung in einer Lavaldüse zunächst im Unterschallbereich beschleunigt und erreicht im engsten Querschnitt eine Geschwindigkeit, die der dort vorliegenden Schallgeschwindigkeit entspricht, so kann die Strömung weiter beschleunigen und Überschallbedingungen erreichen. Dazu muss der Druck am Austritt der Lavaldüse gegenüber dem Kesseldruck klein genug sein, so dass ein möglicher Verdichtungsstoß nicht den engsten Querschnitt erreicht.
Warum steigt feuchte Luft nach oben? Infolge des kleineren Molekulargewichts von Wasser gegenüber Luft hat Wasserdampf eine geringere Dichte als trockene Luft. Demzufolge hat auch feuchte Luft als Gemisch aus Wasserdampf und trockener Luft eine geringere Dichte als reine trockene Luft und steigt nach oben. Dies erkennt man auch schön an Gl. (7.114) für steigende Wassergehalte.
Warum werden beschlagene Fensterscheiben im Auto ganz schnell frei von ihrem Beschlag, wenn man die Autoklimaanlage einschaltet? In einer Fahrzeugklimaanlage wird zuerst die Luft entfeuchtet, bevor sie im anschließenden Heizungswärmeübertrager wieder erwärmt wird. Im Vergleich zur reinen Frischluft-Lüftung wird die Frontscheibe im Klimabetrieb also mit wesentlich trockener Luft angeblasen, was normalerweise zu einem deutlich schnelleren Verschwinden des Scheibenbelags führt.
Was versteht man unter der Kühlgrenztemperatur? Die Kühlgrenztemperatur ist die Gleichgewichts-Endtemperatur einer endlichen Wassermenge, die sich durch Wechselwirkung (infolge eines Verdunstungsprozesses) mit einem über das Wasser hinwegströmenden ungesättigten feuchten Luftstrom einstellt.
Show full summary Hide full summary

Similar

Thermodynamik I/II_1_1
jonas5322
Thermodynamik I/II
N H
Grundlagen Biochemie
Saskia Hoffmann
Thermodynamik I/II
Gregor Keil
Thermodynamik I/II
Gregor Keil
Thermodynamik I/II
b990462
Thermodynamik I/II_1
Yassine Karoui
Thermodynamik I/II
Toni bussmann
Thermodynamik I/II
Phips Baba
Thermodynamik I/II_1_1
Mirela Akrapovic
Thermodynamik I/II_1_1
Sane Sane1