|
|
Created by martinpees
over 11 years ago
|
|
| Question | Answer |
|
Image:
image (image/jpg)
|
Riboflavin |
|
Image:
image (image/jpg)
|
Ascorbinsäure Vitamin C |
|
Image:
image (image/jpg)
|
Pantothensäure B5 |
|
Image:
image (image/jpg)
|
Folsäureq B9 |
|
Image:
image (image/jpg)
|
Pyridoxin B6 |
|
Image:
image (image/jpg)
|
Cobalamin |
|
Image:
image (image/jpg)
|
Thiaminpyrophosphat B1 |
|
Image:
image (image/jpg)
|
Nicotinsäureamid B3 |
|
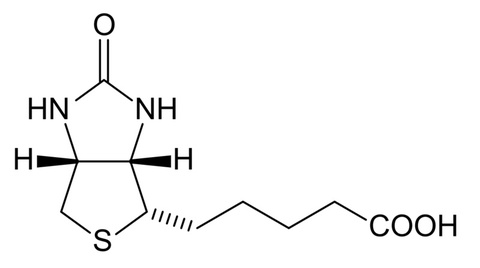
Image:
image (image/jpg)
|
Biotin B7 |
|
Image:
image (image/jpg)
|
Calciferol Vitamin D |
|
Image:
image (image/jpg)
|
a- Tocopherol Vitamin E |
|
Image:
image (image/jpg)
|
B Carotin Vitamin A |
Want to create your own Flashcards for free with GoConqr? Learn more.