Formeln zur Körperberechnung

Description

Lernkarten zu Volumen, Mantel Oberfläche für Würfel, Quader, Kegel, Zylinder, Kugel
Eva Maria Popp
Flashcards by Eva Maria Popp, updated more than 1 year ago
Eva Maria Popp
Created by Eva Maria Popp over 9 years ago
315
2

Resource summary

Question Answer
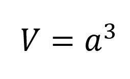
Würfel Volumen a = b = c <-> Kanten sind gleich lang!
Würfel Oberfläche (hier ausgebreitet als Würfelnetz) a = b = c <-> Kanten sind gleich lang!
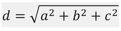
Raumdiagonale im Würfel a = b = c <-> Kanten sind gleich lang!
Quader Volumen
Quader Oberfläche
Raumdiagonale
Prisma Volumen
gerades Prisma (Ansicht: Körpernetz) Oberfläche und Mantel
gerade Pyramide Volumen die Grundfläche kann ein beliebiges n-Eck (n für 3, 4, 5 ... ) sein. Danach richtet sich der Inhalt der Grundfläche (Flächenformel)
gerade Pyramide Oberfläche die Grundfläche besteht aus dem n-Eck, der Mantel aus der Anzahl n * Dreicksflächen
gerader Kegel Volumen
gerader Kegel Oberfläche
gerader Kegel Mantel
Zylinder Volumen
Zylinder Grundfläche Mantel Oberfläche
Kugel Volumen
Kugel Oberfläche
Show full summary Hide full summary

Similar

Mathe Quiz
JohannesK
Geometrie
Tahir Celikkol
Statistik Theorie
Clara Vanessa
Geometrie
M. Heimann
Mathematik '16 Bayern
JFK24
WH Unterstufe: geometrische Körper
Mathe Queen
Geometrie
Robert Mairginter
Geometrie
Jessica Lorenz
WH Geometrie
Mathe Queen
WH Geometrie
Mathe Queen