ELIPSE

Description

ELIPSE
emanuel nzunza
Quiz by emanuel nzunza, updated more than 1 year ago
emanuel nzunza
Created by emanuel nzunza over 9 years ago
3277
1

Resource summary

Question 1

Question
En una plaza pública se desea colocar un arco que tiene la forma de una semielipse cuyas medidas corresponden a la figura que se encuentra plasmada en el siguiente plano cartesiano.

Question 2

Question
¿Cual de las siguientes gráficas representa a la elipse con centro C (2,1) y eje menor comprendido entre (2,6) y (2,-4)?

Question 3

Question
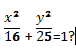
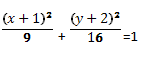
¿Cuáles son las coordenadas del centro y vértices de la elipse que tiene por ecuación: =1?
Answer
  • C (-7,7), V1 (-3,0), V2 (3,0)
  • C(-3,3),V1(-7,3), V2(-7,3)
  • C(0,0), V1(-7,0), V2(7,0)
  • C(0,0), V1(-49,9), V2(49,9)

Question 4

Question
¿Cuál es la gráfica de la elipse cuyo centro coincide con el origen, las coordenadas de los extremos del eje mayor son (-4,0) y (4,0) y las coordenadas de los extremos del eje menor son (0,-3) y (0,3)?

Question 5

Question
Un laboratorio de química tiene en su interior un horno en forma elíptica. En el foco 1 (F1) se coloca una fuente de calor y un objeto a calentar en el foco 2 (F2), como se muestra en la figura. La propiedad de reflexión de la elipse permite que el objeto adquiera el calor adecuado; por ello es necesario determinar la ecuación del contorno. Utilizando las medidas que se presentan en la gráfica, ¿Cuál es la ecuación buscada?

Question 6

Question
Dada la ecuación de la elipse identifique las coordenadas de su centro y los vértices.
Answer
  • C(-1,-2), V(-1,-6), V´(-1,2)
  • C(-1,-2), V(-5,-2), V´(3,-2)
  • C(1,2), V(-3,2), V´(5,2)
  • C(1,2), V(1,6), V´(1,-2)

Question 7

Question
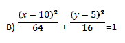
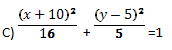
El centro de una elipse tiene como coordenadas (-2,0); los extremos del eje mayor tienen como coordenadas (-6,0) y (2,0). ¿Cuál es la gráfica que representa a la elipse descrita?

Question 8

Question
Un arquitecto lleva el trazo de la superficie del piso de una sala, que tiene forma elíptica, a un plano cartesiano, con el fin de manipular sus medidas por posibles remodelaciones. Para realizar las modificaciones se necesita conocer la ecuación de la elipse. ¿En qué opción se representa dicha ecuación?

Question 9

Question
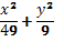
¿Qué gráfica corresponde a la ecuación
Show full summary Hide full summary

Similar

Cálculo - Secciones cónicas
Sabakibara1
Secciones cónicas
Sabakibara1
Aplicaciones de secciones cónicas.
Constanza Rojas
GEOMETRÍA ANALÍTICA
Edwin Agustin Ortega Cushqui
GEOMETRÍA ANALÍTICA
J. Rafael Cuadros Hurtado
Elipse
gff dsgsfdd
Ejemplo
Camila Ramírez
Examen Final Cuarto Periodo Geometría Decimo
Leonardo Tenjo Ramos
MATEMÁTICA -INEVAL
Luis Alvarez
Secciones cónicas
Stefani Gomez
Conicas
Flor Masson