PRUEBA DE GEOMETRIA ANALITICA.

Description

Prueba sobre la teoría básica de la geometría analítica
BRENDA GABRIELA CASTILLO
Quiz by BRENDA GABRIELA CASTILLO, updated more than 1 year ago
BRENDA GABRIELA CASTILLO
Created by BRENDA GABRIELA CASTILLO about 9 years ago
2326
0

Resource summary

Question 1

Question
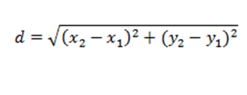
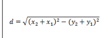
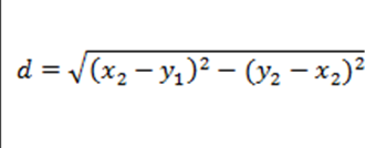
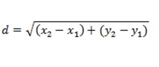
La fórmula que describe la forma correcta de como calcular la distancia entre dos puntos en geometría analítica es:

Question 2

Question
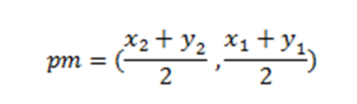
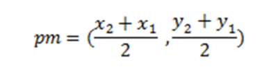
Para calcular el punto medio entre dos puntos en geometría analítica, es necesaria una fórmula, la correcta es :

Question 3

Question
Observa cada una de las imagines donde se muestran dos rectas, en cuál de las siguientes graficas muestra que el producto de sus pendientes es igual a -1

Question 4

Question
En cuál de las siguientes graficas las dos rectas tienen pendientes iguales:

Question 5

Question
Cuál de los siguientes gráficos es el que pertenece a la ecuación de la recta y= -1/3 x+2

Question 6

Question
El punto medio entre los puntos ( 1, 4) y (5, -4) es :
Answer
  • ( 0,3 )
  • ( 6,0 )
  • ( 3,0 )
  • ( 0, 6 )

Question 7

Question
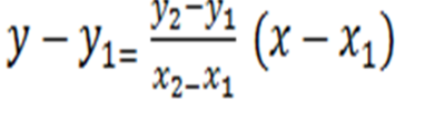
Cuál de las siguientes ecuaciones pertenece a la ecuación de la recta Punto – Pendiente.

Question 8

Question
La ecuación de la línea recta Pendiente- Intersecto es:

Question 9

Question
Ecuación de la recta que pasa por el punto P(1,2) y es pararela a 3x+4y-5=0.
Answer
  • 4x-3y+2=0
  • 3x+4y-11=0
  • 4x-3y-11=0
  • 3x+4y+2=0

Question 10

Question
Dados los puntos A(1,3) y B(-2,1) el valor del intercepto de la recta con el eje y es:
Answer
  • 3/7
  • -2/3
  • 7/3
  • 3/2

Question 11

Question
Es el radio de la circunferencia cuya ecuación es x2 +y2 +6x -14y -6=0
Answer
  • 10
  • 8
  • 6
  • 14

Question 12

Question
4. m1 y m2 son las pendientes respectivas de las rectas l1 y l2, entonces serán perpendiculares entre sí, si cumple que:
Answer
  • m1 = m2
  • m1 < m2
  • m1 X m2 =-1
  • m1 > m2

Question 13

Question
Dados los puntos A(6,0), B(3,0) y C(6,3). El triángulo que se forma con dichos puntos es:
Answer
  • Acutángulo
  • Obtusángulo
  • Rectángulo
  • Equilátero

Question 14

Question
9. Halla la distancia entre los puntos A y B según el caso: A(-7, 4), B(6, 4)
Answer
  • 13
  • 1
  • -1
  • 3

Question 15

Question
Calcula el valor de k para que la distancia de A(-1, 4) a B(k, 1) sea igual a 5.
Answer
  • k=25
  • k=3
  • =-3
  • k=5

Question 16

Question
Selecciona las coordenadas de dos puntos tales que la distancia entre ellos sea igual a 4.
Answer
  • A(-2, 2), B(1, 6)
  • A(-5, -2), B(0, 6)
  • A(6, -6), B(5, -2)
  • A(3, 5), B(3, 9)

Question 17

Question
Selecciona cuál de las siguientes ecuaciones de la recta está en forma general.
Answer
  • 4x-3y+2=0
  • y=10x+10
  • 4x-3y=110
  • 4y+2=3x

Question 18

Question
Selecciona cuál de las siguientes ecuaciones de la recta está en forma Pendiente-intercepto.
Answer
  • 4x-3y+2=0
  • y=10x+10
  • 4x-3y=110
  • 4y+2=3x

Question 19

Question
Ecuación de la recta R2:
Answer
  • a) 4x-3y+2=0
  • b) y=2x-4
  • c) y=3
  • d) y= -1/2 x – 1

Question 20

Question
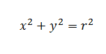
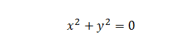
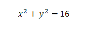
Ecuación que representa la forma Canónica de la circunferencia:

Question 21

Question
m1 y m2 son las pendientes respectivas de las rectas l1 y l2, entonces serán paralelas entre sí, si cumple que:
Answer
  • m1 = m2
  • m1 < m2
  • (m1 )(m2 )=-1
  • m1 > m2

Question 22

Question
Encuentra las coordenadas del centro y el radio de la circunferencia que corresponde a la ecuación:
Answer
  • C (0,0) r=16
  • C (0,0) r=4
  • C (1,0) r=4
  • C (0,1) r=16

Question 23

Question
29. Encuentra las coordenadas del centro y el radio de la circunferencia que corresponde a la ecuación: (x-4)2 + (y+2)2 =9
Answer
  • C (-4,2) r=9
  • C (-4,2) r=3
  • C (4,-2) r=9
  • C (4,-2) r=3

Question 24

Question
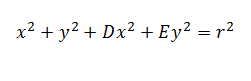
Indica cuál es la ecuación general de la circunferencia que se plantea en la siguiente ilustración:

Question 25

Show full summary Hide full summary

Similar

La Derivada Como La Pendiente De La Recta Tangente
camila muñoz
Geometría analítica - Triángulos
Rodolfo Dz
QUIZ DERIVADAS, en hoja anexa justifica las respuestas, incluyendo las de teoría.
MANUEL ORTIZ GOMEZ
Función Lineal
GUIDO SEAS
Prueba de Cálculo de la pendiente de la Función Lineal
GUIDO SEAS
Fichas Función Lineal
GUIDO SEAS
GEOMETRÍA ANALÍTICA
Edwin Agustin Ortega Cushqui
La participación social.
yahairagirl
Ecuación de la Recta y su Gráfica
Laura Cristina Rodriguez Zabala
Clase #1
manuel.fiallosc
FORMA PENDIENTE Y ORDENADA EN EL ORIGEN.
Mariana Yautentzi