Prueba de Matemática (1º Medio)

Description

Contenido: Productos Notables Objetivos: 1) Distinguir un producto notable (cuadrado de binomio, suma por su diferencia, producto de dos binomios con un término común). 2) Resolver un producto notable por simple inspección. 3) Resolver ecuaciones con productos notables.
Claudio Gutierrez
Quiz by Claudio Gutierrez, updated more than 1 year ago
Claudio Gutierrez
Created by Claudio Gutierrez about 9 years ago
372
0

Resource summary

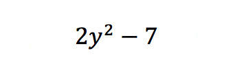
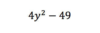
Question 1

Question
Selecciona el resultado del siguiente producto: (2y+7)(2y–7)=

Question 2

Question
[blank_start]____[blank_end]+9
Answer
  • 12x

Question 3

Question
Selecciona la alternativa que corresponde al área total de la región. Área total = [blank_start]____________________[blank_end]
Answer
  • (x+2)(x-7)
  • 2x+7x
  • 2x+14
  • (x+2)(x+7)

Question 4

Question
La expresión (m+5)(m-9) ¿corresponde a una suma por su diferencia?
Answer
  • True
  • False

Question 5

Question
El siguiente producto corresponde a una suma por su diferencia: [blank_start]________________________________[blank_end]
Answer
  • (y+2)(y–9)
  • (y–9)(y–9)
  • (5yx+2y) (2y-5yx)
  • (4x+5)(4x+5)
Show full summary Hide full summary

Similar

CÁLCULO MENTAL
JL Cadenas
ÁLGEBRA EXAMEN EN LÍNEA
Admin telefonistas
CRIPTOGRAFÍA CON MATRICES (cifrado de Hill)
Yajhana Villa
Antecedentes históricos del algebra
Christopher Epitacio
Productos notables
Carlos Saravia
Historia del Álgebra
Ericka Solano
Ramas de la Matemática
carlos ajanel saquic
Funciones - Test
sofialeone
ORIGEN DE LOS LOGARITMOS
Hugo Fernando
ÁLGEBRA
JL Cadenas
Factorización de Expresiones Algebráicas
maya velasquez