null
US
Sign In
Sign Up for Free
Sign Up
We have detected that Javascript is not enabled in your browser. The dynamic nature of our site means that Javascript must be enabled to function properly. Please read our
terms and conditions
for more information.
Next up
Copy and Edit
You need to log in to complete this action!
Register for Free
7218479
METODOS NUMERICOS
Description
ESTE EXAMEN ES PARA EVALUAR LOS CONOCIMIENTOS DE MÉTODOS NUMERICOS
No tags specified
metodo motante
metodo de gauss
metodo de jacobi
metodo de eliminacion de gauss-jordan
metodo de gauss-seidel
Quiz by
Ariadna Castro Diaz
, updated more than 1 year ago
More
Less
Created by
Ariadna Castro Diaz
almost 9 years ago
533
0
0
Resource summary
Question 1
Question
Utilizando el Método de Montante, resolver el siguiente sistema de ecuaciones lineales con una precisión de 4 cifras.
Image:
b99e942a-8843-4849-9b08-21e76ff67fa6 (image/png)
Answer
x=2,y=-1,z=3,u=1
x=1,y=-1,z=2,u=1
x=-1,y=1,z=2,u=1
Question 2
Question
¿El Método de Gauss consiste en obtener la solución mediante la reducción del sistema original en otro equivalente?
Answer
True
False
Question 3
Question
Utilizando el Método de Jacobi, resolver el siguiente sistema de ecuaciones lineales con una precisión de 4 cifras.
Image:
b34dcf32-91cc-4357-ae81-f49a4c847859 (image/png)
Answer
x=0.3586;y=0.5287,z=0.6057
x=-0.3648;y=-0.0532,z=0.2667
x=0.3648;y=0.0532,z=-0.2667
Question 4
Question
Utilizando el Método de Gauss-Seidel, resolver el siguiente sistema de ecuaciones lineales con una precisión de 4 cifras.
Image:
1d28726f-2a5b-48d1-ad67-12fead44a812 (image/png)
Answer
x=2.0460;y=-3.0871;z=-7.0169
x=-1.7788;y=-3.4548,z=-0.0528
x=1.7788;y=-3.4548,z=-0.0528
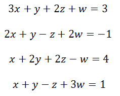
Question 5
Question
Utilizando el Método de Montante, resolver el siguiente sistema de ecuaciones lineales con una precisión de 4 cifras.
Image:
ecd3ffa3-cb76-4732-8126-9a6aac8537f1 (image/png)
Answer
x=2,y=-1,z=3,w=1
x=1,y=2,z=1,w=2
x=-1,y=1,z=2,w=1
Question 6
Question
Utilizando el Método de Jacobi, resolver el siguiente sistema de ecuaciones lineales con una precisión de 4 cifras.
Image:
ad83e85d-2c89-445f-b3fd-b1cc88ef38f6 (image/png)
Answer
x=0.3586;y=0.5287,z=0.6057
x=-0.0862;y=0.7414,z=0.1379
x=0.3648;y=0.0532,z=-0.2667
Question 7
Question
Utilizando el Método de Gauss-Seidel, resolver el siguiente sistema de ecuaciones lineales con una precisión de 4 cifras.
Image:
1e060fe3-66c1-481f-b3d2-72285a6d936d (image/png)
Answer
x=2.0460;y=-3.0871;z=-7.0169
x=2.2136;y=-1.6858,z=0.6652
x=1.7788;y=-3.4548,z=-0.0528
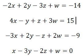
Question 8
Question
Utilizando el Método de Montante, resolver el siguiente sistema de ecuaciones lineales con una precisión de 4 cifras.
Image:
49977a21-511c-4331-9896-e4097000fcc2 (image/png)
Answer
x=-1,y=1,z=2,u=-1
x=1,y=-1,z=2,u=1
x=-1,y=1,z=2,u=1
Question 9
Question
Utilizando el Método de Jacobi, resolver el siguiente sistema de ecuaciones lineales con una precisión de 4 cifras.
Image:
4fa39602-9f3d-4154-8e67-20d472b91966 (image/png)
Answer
x=0.3648;y=-0.0532,z=-0.2667
x=-0.3648;y=-0.0532,z=0.2667
x=0.3648;y=0.0532,z=-0.2667
Question 10
Question
Utilizando el Método de Gauss-Seidel, resolver el siguiente sistema de ecuaciones lineales con una precisión de 4 cifras.
Image:
1c6ff3e3-6184-4b78-ad1e-26315b82d8a9 (image/png)
Answer
x=-19.7788;y=3.4548;z=-0.0528
x=-19.7788;y=-3.4548,z=-0.0528
x=19.7788;y=-3.4548,z=-0.0528
Show full summary
Hide full summary
Want to create your own
Quizzes
for
free
with GoConqr?
Learn more
.
Similar
Métodos Numéricos
Christian Ruiz
Métodos numéricos
vgerardo418
IMPORTANCIA DE LOS MÉTODOS NUMÉRICOS
Marco Antonio Gallardo
Raíces de ecuaciones no lineales
serg aaa
Modelación de contaminates en el Río Magdalena
María Guzmán Flórez
Ajustes de curvas
viktor.rivero
Derivación Numerica
Mairim Juliette
Teoria de Errores.
Tonatiuh JB
Método numérico de aproximación por Taylor.
Brayan Alexander Ospina Vasquez
Teoría de Errores
Miguel Ángel Carmona Ramos
ROSA EDITH
ROSA EDITH GERONIMO GOMEZ
Browse Library