null
US
Sign In
Sign Up for Free
Sign Up
We have detected that Javascript is not enabled in your browser. The dynamic nature of our site means that Javascript must be enabled to function properly. Please read our
terms and conditions
for more information.
Next up
Copy and Edit
You need to log in to complete this action!
Register for Free
8943915
Logaritmos
Description
Estimados, contesta el quiz... cada pregunta tiene un valor de 2 puntos
No tags specified
contesta quiz sobre los logaritmos
segundo
Quiz by
Anita Vega-Salgado
, updated more than 1 year ago
More
Less
Created by
Anita Vega-Salgado
over 8 years ago
235
0
0
Resource summary
Question 1
Question
La respuesta de:
Image:
1 (image/jpeg)
Answer
1
0
2
3
Question 2
Question
es :
Image:
2 (image/jpeg)
Answer
True
False
Question 3
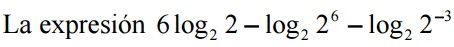
Question
Calcule la suma
Image:
3 (image/jpeg)
Answer
6
3
2
1
Question 4
Question
El logaritmos de base 2 de 1024 es 8
Answer
True
False
Question 5
Question
Logaritmo de base 2 de 0,25 es:
Answer
0,5
-2
100
1,5
Question 6
Question
Logaritmo de base 8 de 2 es 1/3
Answer
True
False
Question 7
Question
¿Cuál es la solución de la siguiente ecuación: log x = -9 log a?
Answer
Image:
4 (image/jpeg)
Image:
5 (image/jpeg)
Image:
6 (image/jpeg)
Image:
7 (image/jpeg)
Question 8
Question
, es igual a 3
Image:
8 (image/jpeg)
Answer
True
False
Show full summary
Hide full summary
Want to create your own
Quizzes
for
free
with GoConqr?
Learn more
.
Similar
ORIGEN DE LOS LOGARITMOS
Hugo Fernando
Logaritmos
fernandom99p
LOGARITMOS
javierap99
Presentación de clase-ABP
emily.quintero91
PRUEBA CORTA
Noé Arévalo
Logaritmos
Vero Alfaro
Función exponencial y logarítmica
Evitha Caroline
Base 10 Leonardo
lfernandezucsc
HISTORIA DE LAS COMPUTADORAS
oscarcruces
ALGORITMOS
Anlly Valeria Pabón García
LOGARITMOS
KarenAvendaño
Browse Library