Trabajo Primer Parcial Matematicas II

Description

Trabajo Primer Parcial
Juan Carlos Canales Cerrato
Slide Set by Juan Carlos Canales Cerrato, updated more than 1 year ago More Less
Charles De Labra
Created by Charles De Labra over 9 years ago
Juan Carlos Canales Cerrato
Copied by Juan Carlos Canales Cerrato over 7 years ago
5
0

Resource summary

Slide 1

Slide 2

    Trabajo
    El trabajo realizado por una fuerza es el producto entre la fuerza y el desplazamiento realizado en la dirección de ésta. Como fuerza y desplazamiento son  vectores y el trabajo un escalar (no tiene dirección ni sentido) definimos el diferencial de trabajo como el producto escalar dW=F.dr . El trabajo total realizado por una fuerza que puede variar punto a punto al lo largo de la trayectoria que recorre será entonces la integral de línea de la fuerza F a lo largo de la trayectoria que une la posición inicial y final de la partícula sobre la que actúa la fuerza.
    Caption: : Esquema de Trabajo

Slide 3

    Trabajo por una Fuerza Constante
    El trabajo W efectuado por una fuerza constante F que mueve un cuerpo por un desplazamiento s en dirección de la fuerza, es el producto de la magnitud de esta y del desplazamiento.                                   W=Fs (fuerza constante) La unidad de trabajo depende del que realice una fuerza unitaria, al hacer que el cuerpo recorra una distancia unitaria en dirección de la fuerza.Cuando la fuerza que actúa sobre el cuerpo no esta en la línea del movimiento se utiliza la ecuación:                                   W=Fscos(ángulo)
    Caption: : Ejemplo de Trabajo

Slide 4

    Trabajo por una Fuerza Variable
    Si un cuerpo se desplaza por el eje x de xi a xf, mientras se le aplica una fuerza F(x), se divide el intervalo en intervalos mas pequeños. Por lo que en cada subintervalo la fuerza sera constante si se obtiene un diferencial de x y se va haciendo este cada vez mas pequeño se obtendrá una mejor aproximación.De esta manera al integrar de xi a xf cada fuerza de cada subintervalo se puede obtener el trabajo de una fuerza variable.
    Caption: : Representación Grafica

Slide 5

    Presión
    La capacidad de un fluido para fluir, no le permite sostener una fuerza paralela a su superficie. En condiciones estáticas, el único componente de fuerza que es preciso considerar, es aquel actúa normal o perpendicularmente sobre una superficie.Se le da el nombre de presión, a la magnitud de la fuerza normal por superficie unitaria. La presión es una magnitud escalar, no tiene propiedades direccionales. P=F/A

Slide 6

    Densidad
    Es el valor limite de esta razón a medidas que el elemento volumétrico se vuelve infinitesimalmente pequeño. No tiene propiedades direccionales y es un escalar.Si la densidad de un objeto tiene el mismo valor en todos los puntos, sera igual a su masa dividida entre el volumen.

Slide 7

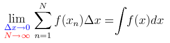
    Sumas de Riemann
    Las sumas de Riemann son un método para aproximar el área total bajo la gráfica de una curva. Llevadas al límite se obtiene la integral de Riemann.                          Sea f(x) una función continua en [a, b]. Sea un conjunto finito de puntos {x0, x1, x2,...xn} tales que a= x0<x1<x2...<xn = b.consideramos la partición de este intervalo P=  {[x0, x1), [x1, x2), ... [xn-1, xn]}.Entonces la suma de Riemann de f(x) es sumatoria de f(y1)(xi-xi-1)donde xi-1 ≤ yi ≤ xi. La elección de yi en este intervalo suele ser arbitraria. Si yi = xi-1 para todo i, entonces denominamos S como la suma de Riemann por la izquierda.  Si yi = xi, entonces denominamos S como la suma de Riemann por la derecha.

Slide 8

    Bibliografía
    Resnick Halliday Krane. (2013). Fisica Volumen 1. Mexico, D.F.: Patria. James Stewart. (2014). Calculo de una variable. Mexico, D.F.: CENGACE Learning. William Granville. (2013). Calculo Diferencial e Integral. Mexico, D.F.: Limusa.
Show full summary Hide full summary

Similar

Aplicaciones del calculo integral en las ciencias
Jose Carlos Gonz0945
CALCULO INTEGRAL
Jazlen G.A
REACCIONES QUIMICAS
cortes.arlet.2am
Esquema Del Feudalismo
irismateos
Logaritmos
fernandom99p
TERMOQUIMICA.
morado_purple
DERECHO LABORAL LINEA DEL TIEMPO
felipe cardenas
Unidad 1 acción psicosocial trabajo
Diana caceres
Cálculo Integral
Wilmer Amézquita Obando
LAS CLAVES DE LA ARGUMENTACION DE ANTHONY WESTON
revisorsur
Contrato de trabajo y modalidades
eva garrido