Geometría analítica - Triángulos

Description

Calcula los siguientes valores del triángulo: -Área -Perímetro -Ángulos -Ecuación de la recta de cada una de las medianas -Ecuación de la recta de cada una de las mediatrices
Barto Tinini
Slide Set by Barto Tinini, updated more than 1 year ago More Less
Rodolfo Dz
Created by Rodolfo Dz almost 9 years ago
Barto Tinini
Copied by Barto Tinini over 6 years ago
3
0

Resource summary

Slide 1

    Geometría analítica - Triángulos
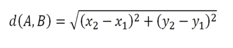
    Caption: : A (-4, 2) , B (4, 3), C (4, -4)
    Lo importante es saber calcular lo siguiente: 1. Pendientes 2. Distancias 3. Ecuación de la recta 4. Puntos medios Una vez sabiendo estimar esto lo demás es más sencillo y sólo es cuestión de seguir un buen procedimiento

Slide 2

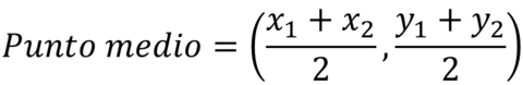
    Caption: : Coordenadas punto medio
    Fórmula punto medio
    Recuerda que las cantidades de las coordenadas se suman, en caso de que alguna coordenada sea negativa y otra positiva se restan. Si las dos son positivas o negativas se suman. El valor es absoluto, es decir que si te da un valor negativo, lo tomas como positivo ya que no hay medidas negativas.Finalmente recuerda dividir entre dos*También se vale comprobar tus resultados con las coordenadas que ya has dibujado en el plano cartesiano, ya que así podrás darte cuenta si te equivocaste

Slide 3

Slide 4

Slide 5

Show full summary Hide full summary

Similar

Geometría analítica - Triángulos
Delmy Tah
Ejemplo2
Joosh Lopez
Impronta UNADISTA
Diego Fernando Mariaca
TPG-3. DETERMINAR LAS COORDENADAS DE UN PUNTO EN UN MAPA MILITAR.
antonio del valle
Distancia entre las Notas de la Escala
mariajesus camino
LA EDUCACIÓN A DISTANCIA
Abimael Castillo
PRUEBA DE GEOMETRIA ANALITICA.
BRENDA GABRIELA CASTILLO
Glosario: Geometría básica
Rosario SantiagoPuga
La Derivada Como La Pendiente De La Recta Tangente
camila muñoz
PLANO CARTESIANO
SHARON ROBLEDO
ASPECTOS MÁS RELEVANTES DE LA EDUCACION A DISTANCIA
Carlos Quintero