cónicas

Description

Repaso para finalizar el semestre
camachocecytem
Flashcards by camachocecytem, updated more than 1 year ago More Less
Jasson Narvaez
Created by Jasson Narvaez almost 10 years ago
camachocecytem
Copied by camachocecytem almost 10 years ago
3237
2

Resource summary

Question Answer
PUNTO MEDIO LÍNEA RECTA
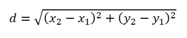
DISTANCIA ENTRE DOS PUNTOS fijese que si la la línea es recta un componente seria cero. Se cancelaria los cuadrados y solo quedaria la diferencia de su distancia
GEOMETRIA ANALÍTICA ESTUDIO DE LAS FIGURAS Y LAS TRANFORMACIONES DADAS POR ECUACIONES ALGEBRAICAS CON LA AYUDA DE SISTEMA DE COORDENADAS
LUGAR GEOMÉTRICO COJUNTO DE PUNTOS QUE CUMPLEN CON UNA CARACTERÍSTICA GEOMÉTICA COMÚN
PENDIENTE DE UNA RECTA M=tanθ tanθ=y2-y1/x2-x1
Ecuación punto pendiente de la recta Y-y1=m(X-x1)
ECUACIÓN FUNDAMENTAL DE LA RECTA Y=mX+b
Ecuación general de una recta Ax+By+C=0
Rectas coincidentes de la forma: Ax+By+C=0 Dx+Ey+F=o A/D=B/E=C/F
Rectas paralelas m1=m2
Rectas secantes de la forma: Ax+By+C=0 Dx+Ey+F=o A/D>Ó<B/E
Ángulo formado entre dos rectas
Rectas Perpendiculares M1M2=-1
Cónicas *Circunferencia *parábola*elipse *hipérbola
Secciones cónias
cónicas degeneradas
Circunferencia Lugar geométrico de los puntos de un plano que estan a una distancia constante R de un punto llamado centro
Ecuación cánonica de circufenrecia fijese que si el centro es(0,0) tenemos x²+y²=r²
Ecuacíon general de la circunferencia
Posicion relativas de una recta y de una circunferencia
Posiciones relativas de dos circunferencias
Parábola Lugar geométric de los puntos P(x,y) del plano cartesiano que equidistan de un punto fijo F(foco) y de una directriz
Foco y directriz son el punto y la recta repectivamente que equidistan de cualquier punto de la parábola
eje de simetria recta que pasa por el foco y es perpendicular a la directriz
vertice intersección de la parábola y el eje de simetría
distancia focal distancia entre el foco y el vertice
Lado recto segmento que es paralelo a la directriz y pasa por el foco
Ecuación canónica de la parábola con eje de simetria paralelo al eje y (x-h)²=4p(y-k) fijese que si el centro es (0,0) su ecuación sería:x²=4py
Ecuación canónica de la parábola con eje de simetria paralelo al eje x (y-k)²=4p(x-h) fijese que si el centro es (0,0) su ecuación sería:y²=4px
ecuación general de una parábola con eje de simetria paralelo al eje y x^2+Dx+Ey+F=0 D>0 D<0
ecuación general de una parábola con eje de simetria paralelo al eje x x²+Dx+Ey+F=0 D>0 D<0
Elipse Lugar geométrico de los puntos p(x,y) del plano cartesiano tales que la suma de las distancias a dos puntos fijos F1 Y F2(focos) es constante
Focos puntos fijos del plano
Eje focal recta a la que pertenecen los focos
Centro punto medio del eje focal
eje normal o secundario recta perpendicular al eje focal, que pasa por el centro
vértices puntos de intersepción de la elipse con el eje focal
eje mayor segmento del eje focal que une los vértices
Eje menor Segmento que une los puntos en los que se intersepro el eje secundario y la elipse
Lado recto Segmento perpendiculas al eje focal que pasa por dos punto de la elipse
eje mayor d(f1,p)+d(f2,p) d(f1,p)+d(f2,p)=2a a=distancia del vertice al extremo
longitud del lado recto 2b²/a
relación distancia a,b y c a=longitud de un vertice al centro b=longitud de extremo del eje normal al centro c=longitud de un foco al centro a²=b²+c² a>b
Longitud del eje mayor 2a
Longitud del eje menor 2b
excentricidad c/a
Ubicación de los focos F1(h-c,k); F2(h+c,k)=elipse con eje focal paralelo al eje x F1(h,k-c); F2(h,c+k)=elipse con eje focal paralelo al eje y
ubicación de los vértices V1(h-a,k); V2(h+a,k)=elipse con eje focal paralelo al eje x F1(h,k-a); F2(h,c+a)=elipse con eje focal
ubicación de los extremos del eje normal F1(h,-b+k); F2(h,k+b)=elipse con eje focal paralelo al eje x F1(h-b,k); F2(h+b,k)=elipse con eje focal paralelo al eje y
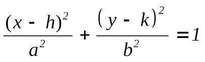
Ecuación canónica de la elipse con eje mayor paralelo al eje x a>b>0
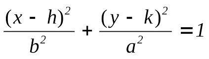
Ecuación canónica de la elipse con eje mayor paralelo al eje x a>b>0
Ecuación general de la elipse
Hipérbola es el lugar geométrico de los puntos p(x,y) del plano cartesiano tales que la diferencia de sus distancias a dos puntos fijos(focos) es constante ∥d(F1,p)-d(f2,p)∥=2a
Vertices puntos de la hipérbola que están sobre el eje focal
Eje transverso segmento de los vertices
Centro punto medio del eje transverso
Eje normal recta perpendicular al eje focal que pasa por el centro de la hipérbola
Eje conjugado Segmento perpendicualr al eje focal que pasa por el centro de la hipérbola.Cuyos extremos son B1 Y B2
Asíntontas dos rectas que pasan por el centro de la hipérbola, las cuales se aproximan a las ramas de esta sin tocarla
Lado recto segmento perpendicular al eje focal, y que une dos punto de la hipérbola
relación a,b,c a=distancia de un vértice al centro b=distancia de un extremo del eje conjugado con el centro c=distancia de un foco con el centro
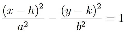
ecuación canónica de la hipérbola con eje focal paralelo al eje x
ecuación canónica de la hipérbola con eje focal paralelo al eje y
Ubicación de los focos F1(h-c,k)F2(h+c,k) paralela al eje x F1(h,k-c)F2(h,k+c)paralela la eje y
vértices v1(h-a,k)v2(h+a,k) paralela al eje x v1(h,k-a)v2(h,a+k) paralela al eje y
Ecuación general de la hipérbola *A>0 y B<0 *A<0 y B>0
Show full summary Hide full summary

Similar

las conicas en la vida cotidiana
Arturo Rosales
Cálculo - Secciones cónicas
Sabakibara1
ALGEBRA,TRIGONOMETRIA Y GEOMETRIA ANALITICA
andreitadulcey77
EVALUACION DIAGNOSTICA DIGITAL PARA GEOMETRÍA ANALÍTICA
OSWALDO CAMACHO F.
CICLOS ECONOMICOS- OSWALDO CAMACHO
Gamboa Salaza
Secciones cónicas
Sabakibara1
SECCIONES CÓNICAS
maluna_02
Secciones cónicas (UNAM)
Gustavo Alfredo Jiménez Ruiz
Problemario 3
OSWALDO CAMACHO F.
Problemario 1 Álgebra
OSWALDO CAMACHO F.
ELEMENTOS Y ECUACION DE LA PARABOLA
camachocecytem