Core 4 flashcards

Description

A2 level Maths Flashcards on Core 4 flashcards, created by J000D97 on 24/02/2015.
J000D97
Flashcards by J000D97, updated more than 1 year ago
J000D97
Created by J000D97 over 10 years ago
93
10

Resource summary

Question Answer
Define an impartial fraction A fraction whose degree of numerator is equal to, or larger than, the degree of the denominator.
ʃ y dx of a set of parametric equations can be found using what formula? ʃ y x \(\frac{dx}{dt}\) dt
ʃ y² dx of a set of parametric equations can be found using what formula? ʃ y² x \(\frac{dx}{dt}\) dt
What what values of x is this binomial expansion valid? √(1-3x) I-3xI<1 I3xI<1 IxI<\[\frac{1}{3}\]
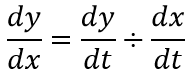
What is the differentiation formula for parametric equations?
What is the implicit differentiation formula? f(x).g(y) f(x).g'(y) (dy/dx) + g(y).f'(x)
What is the differential of \(a^x\)? \(a^x\)lna
If a rate is proportional to x then it can be said that the rate expression = ... kx
A vector quantity has both.... magnitude and direction
What is a scalar? A single number with only magnitude/size but no direction.
What is the triangle law? A law for adding vectors
Adding the vectors PQ and QP gives... 0
The modulus of a vector gives its... Magnitude
How do you find the unit vector of a vector a? a ---- I a I
If \(\ambda\)a + \(\mu\)b = \(\alpha\)a + \(\beta\)b and the non-zero vectors a+b are not parallel... \(\ambda\) = \(\alpha\) \(\mu\) = \(\beta\)
The distance from the origin to point (x, y, z) is... √x²+y²+z²
THe distance between 2 points: ₂₃₁ (x₁, y₁, z₁) and (x₂, y₂, z₂) is... √[ (x₁-x₂)² + (y₁-y₂)² + (z₁-z₂)² ]
What is a.b called? The scalar product
What is the formula for the scalar product of 2 vectors? a.b = I a I I b I cos \(\theta\)
If two vectors are perpendicular then a.b = ... a.b = 0
If 2 vectors are parallel a.b = ... a.b = I a I I b I
What is the sec²x identity?
What is the Cot²x identity?
What is the sine double angle identity?
What are the 2 forms of the cosine double angle identity?
What is the integration by recognition formula for a fraction?
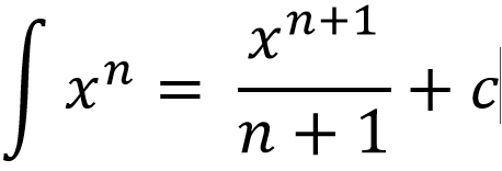
What is the integration by recognition formula for functions with powers?
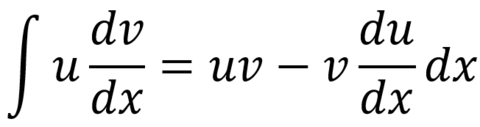
What is the integration by parts formula?
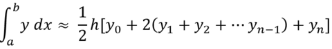
What is the trapezium rule?
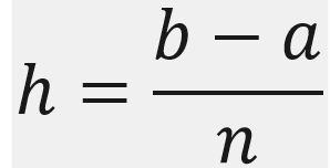
What is the formula for calculating h in the trapezium rule?
What is the formula for solids of revolution 360 degrees of f(x)?
Which method can you use to solve this and what is its formula? Separating of variables
Show full summary Hide full summary

Similar

Statistics Vocab
Nabeeha Yusuf
Statistics, Data and Area (Semester 2 Exam)
meg willmington
HISTOGRAMS
Elliot O'Leary
TYPES OF DATA
Elliot O'Leary
FREQUENCY TABLES: MODE, MEDIAN AND MEAN
Elliot O'Leary
Statistics Key Words
Culan O'Meara
CUMULATIVE FREQUENCY DIAGRAMS
Elliot O'Leary
GROUPED DATA FREQUENCY TABLES: MODAL CLASS AND ESTIMATE OF MEAN
Elliot O'Leary
Fractions and percentages
Bob Read
GCSE Maths Symbols, Equations & Formulae
Andrea Leyden
GCSE Maths: Geometry & Measures
Andrea Leyden