Formulario Trafilado

Description

Formulas
Alejandra Bribiesca  Vega
Flashcards by Alejandra Bribiesca Vega , updated more than 1 year ago
Alejandra Bribiesca  Vega
Created by Alejandra Bribiesca Vega about 10 years ago
15
0

Resource summary

Question Answer
Fuerza de Tiro Necesaria Resistencia Media a la Deformación
Presión Transversal Área de Contacto
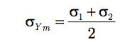
Tensión de Fluencia del Material Esfuerzo Total Longitudinal
Reducción de Sección Fuerza Proyectada que se Opone al Movimiento
Resistencia Especifica Influencia de Cillazamiento
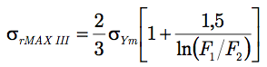
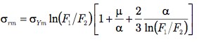
Tensiones Totales Tensión Máxima en el Centro del Alambre
Show full summary Hide full summary

Similar

Ingeniería concurrente en la industria automotriz
Ricardo Hernánde4984
identificación de funciones lineales, cuadráticas y cúbicas
Lilia Berman
MITOSIS
Jim VA
tecnicas de comunicacion en fraseologia
IVAN LOPEZ
Bases de datos gubernamentales
Ana Mdz
Design influences
NJW330
Reglamento Escolar
Antonio Carvajal0738
METROLOGÍA
Yabira Yglesias
Trafilado
Juan Mendiola
Metrología
Juan Mendiola