Gases Perfeitos

Description

Vestibular Exatas Flashcards on Gases Perfeitos, created by Carol Rivera on 07/05/2016.
Carol Rivera
Flashcards by Carol Rivera, updated more than 1 year ago
Carol Rivera
Created by Carol Rivera over 9 years ago
24
0

Resource summary

Question Answer
Equação Geral (Gases Perfeitos ideais) P= Pressão ( 1 ATM) V=Volume (22,4L) T=Temperatura(273 K)
Equação de Clapeyron Decorar: Por você nunca rezei tanto ou Pro vestibular nunca rachei tanto
Sistema Internacional P=1ATM N=1MOL V=22,4L T=273K (OºC) R=0,082ATM ou R=8,3 J/MOL.K (Usar regra de 3 para converter)
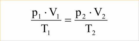
Termos Isotérmica -> Mesma temperatura Isocória ou Isovolumétrica -> Mesmo volume Isobárica -> Mesma pressão Com essa condições podemos cortadar o elemento na igualdade da equação geral (Equação Geral 1 = Equação Geral 2)
Show full summary Hide full summary

Similar

Plano de estudos ENEM - Parte 2 *Exatas/Biológicas
sarahnjife
Plano de estudos ENEM - Parte 2 *Exatas/Biológicas
GoConqr suporte .
Plano de estudos ENEM - Parte 2 *Exatas/Biológicas
Alice Sousa
Termodinâmica.
Giovanna Coelho Menezes
Simulado de Química
Marina Faria
Temas mais cobrados em Química
Marina Faria
Química Orgânica (Part. I)
lorena dorea
Quimica Inorganica
jaaziel.telles
Nomenclatura de cadeias carbônicas com Grupos Funcionais
Laura Santiago