Targeting DNA with Anti-Tumour Drugs

Description

Masters Degree Medicinal Chemistry Flashcards on Targeting DNA with Anti-Tumour Drugs, created by Valentina Valenz on 17/05/2016.
Valentina Valenz
Flashcards by Valentina Valenz, updated more than 1 year ago
Valentina Valenz
Created by Valentina Valenz over 9 years ago
11
0

Resource summary

Question Answer
STRATEGY 1 (3 points to be made) BINDING BETWEEN DNA BASES - intercalating drugs contain planar aromatic/heteroaromatic ring systems - small enough to fit between holes - once bound inhibits enzyme involved in replication + transcription
STRATEGY 1 EXAMPLE 1 Doxorubicin - naturally occurring antibiotic, anthracydines - intercalates into DNA, is a poison to topoisomerase II, stabilizes complexes, APOPTOSIS - can chelate iron from hydroxyquinone to form iron-DNA complex causing a single strand break - causes cardio toxicity side effect -inhibits DNA helicase
STRATEGY 1 EXAMPLE 2 Ditercalinium -tetracation therefore has ionic interactions with DNA phosphate ester - adds stability to adduct, too many stablised complexes leads to APOPTOSIS
STRATEGY 2 (4 points to be made) BINDING TO THE GROOVES OF DNA - small molecules will react with DNA by binding to the grooves -major groove: when DNA backbone are far apart - minor groove: when DNA backbone are close together - DNA binding occurs mostly at major groove as to avoid backbone
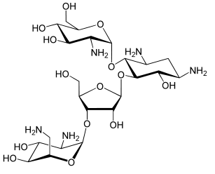
STRATEGY 1 EXAMPLE 1 NEOMYCICN -binding affinity (7.1-8.5 k.cal.mol-1) - groove binding characteristics: cyclohexane rings attached by oxygen atoms
STRATEGY 1 EXAMPLE 2 - PARMOMOYCIN (structure)
STRATEGY 3 (4 points ot be made) ALKYLATING DNA - most potent way to target cancer with natural products - strained three-membered ring "chemical warhead" heterocycles - drugs interact with DNA by forming interstrand crosslinks -highly electrophilic compounds with poor selectivity
STRATEGY 3 EXAMPLE 1
STRATEGY 3 EXAMPLE 2 DUOCARMYCIN - protonation at heteroatom, activates electrophile so can react with a weak nucleophile - dienone ir protonated reduced electron density in pi system by activating heat - alkylated by N-adenine
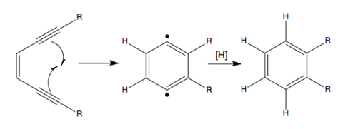
STRATEGY 4 (1 points to be made) CLEAVING OF DNA -DNA cutters cleave strands of DNA and prevent enzymes to fix it - DNA radicals appear on the structure + react with oxygen to form peroxy species which irreversibly change the DNA - "enedyiene" systems undergo Bergmann rearrangement to form a diradical
STRATEGY 4 (general)
STRATEGY EXAMPLE 1
STRATEGY EXAMPLE 2 CALICHEAMICINS - a series of Michael additions followed by the Bergmann rearrangement resulting in a diradical and thus cleaving DNA
Show full summary Hide full summary

Similar

Drug classification and targets
sophietevans
Drugs and types of bonding (what happens at the target binding site)
sophietevans
Medicinal Chemistry: Alpha and Beta Adrenergic Agonists/Antagonists
Elise Breedlove
Prodrug/Sulphanomides
Valentina Valenz
Outline Chapter 2
Shannon Grady
Definitions
Valentina Valenz
Outline Chapter 1
Shannon Grady
Outline Chapter 3
Shannon Grady
Abbreviations
Shannon Grady
ADVERSE EFFECTS
sannidhi.modi
Untitled_1
sannidhi.modi