polynomials review

Description

12th grade Math Flashcards on polynomials review, created by Lance Erickson on 22/03/2017.
Lance Erickson
Flashcards by Lance Erickson, updated more than 1 year ago
Lance Erickson
Created by Lance Erickson over 8 years ago
300
2

Resource summary

Question Answer
A polynomial of degree 4 has zeros of x = 2, x = 4i and and f(-5) < 0 Write a function in factored form. Answer f(x)= - (x-2)^2 (x-4i) (x+4i) notice the square. Since the degree is 4 and imagainary's only come in pairs….. also notice the leading coefficient is negative to ensure that f(-5) < 0. Try a quick sketch to see
A polynomial of degree 3 has zeros of x = 2, x = -6i and f(0) < 0 Write the function in standard form. f(x) = (x-2) (x-6i) (x+6i) Then FOIL. Start with the imaginary factors when foiling. x^3 - 2x^2 + 36x -72 note it is "+" to make sure f(0) < 0
Use the numerical representation of the function f(x) to answer the questions: a) Use the table to find f (f(2). b) DON'T DO:find the equation and use that to find f (f(2). put in "2" then answer back in. f(2) = 6 and f(6) = 162 equation: y = (2/3) 3^ x
What is the range of f(x) ? What is the domain of f(x) ? Range of inverse is domain of function: {-1,0, ……6} Domain of inverse is range of function {2/9……162}
DON'T DO:Does this function have an inverse? Explain why. How can you tell if it were a graph? Yes as y values do not repeat. i.e. it is one to one For a graph it has to pass the horizontal line test.
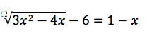
What are the steps to solve the equation: clean up ( +6 ), square both sides (FOIL right side) solve with formula since it will be x^2
What are the steps to solve the equation: clean up ( +5 ), power 4/3 each side check answer with graphical method
What are the steps to solve the equation: “= 0”, factor out x (which tells you 0 is an x intercept) then use formula or: find a zero then synthetic division continue until you have quadratic and use formula
What are the steps to solve the equation: “= 0”, factor: find a zero then synthetic division continue until you have quadratic and use formula
steps to solve? clean up ( - x ) square both sides (FOIL left) formula or factor (since x^2)
DON'T DO: what are the steps to solve this equation? clean up ( + x ), square both sides (FOIL) clean up again then square again (FOIL) solve (probably use the formula) check answer with graphical method
clean up ( -2) , power 4, then use formula since it is now a quadratic check answer with graphical method
clean up (-4), power both sides by -5 to get x alone check answer with graphical method
factor denominator multiply by x(x-9) to remove fractions solve maybe need formula. Also, watch for “minus“ in middle check answer with graphical method
a) what is the zeros and their multiplicities b) What is the degree? c) Fill in the blank with <, > , = : “a” ____ 0 d) Find f(f(3)) e) Solve for x given f(x) =5 f) Solve for x given f(x) > 5 g) write down a possible equation for the polynomial. a) x = -2 (multiplicity of 3), x = 1 (multiplicity of 2), x = 3 (multiplicity of 1) b) degree 6 c) a < 0 right side “down” d) f(3) = 0 and f(0) = 2.5 e) x =1.9 f) (1.8, 2.8)
DON'T DO: Switch x and y and solve for y! Subtract 4, power both sides by -5. inverse is = ( x - 4)^ -5
Switch x and y and solve for y! Cube both sides, add 4, divide by 2 inverse is = (x^3 + 4)/2
the function f(x) is shown. Sketch g(x) = 3f(x) -1 g(x) = 0.5f(x-1) g(x) = 0.5 + f(3x) g(x) = 7f(0.5x) take points from the graph and then: 1) 3 times y then – 1 2) 1 + x then .5 times y 3) 1/3 times x then 0.5 plus y 4) 2 times x and 7 times y
Sketch the function if a < 0, b = 2, and d = 1 There are x intercepts at 0 (bounces here!) and 2. right side is negative ( since a < 0). VA (wall) at x = 4. Sketch and make points when needed. use calculator or desmos to check!
Sketch the function if a > 0, b = 1, and d = 2 There are x intercepts at 0 and 2 (bounces here!). right side is positive. VA (wall) at x = - 4. Sketch and make points when needed. use calculator or desmos to check!
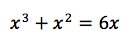
Algebraically: solve: x = 0, 2 and x = -4. Use these on number line and check. Graphically: graph y = 0 and and see where is the function higher than y = 0
How would you solve both graphically and algebraically Algebraically: solve: x = 0, 2 and VA at x = 4. Use these on number line and check. Graphically: graph y = 0 and and see where is the function higher than y = 0
The digdogit is inversely proportional to the square of slippitdoodah. If 5 slippitdoodahs produce 17 digdogits, then how many digdogits come from 12 slippitdoodah Kyx, pt, sub su: d = k / s^2 then put in point (17 into d and 5 into s) solve for k and sub back in sub in to finish
The digdogit is proportional to the square root of slippitdoodah. If 5 slippitdoodahs produce 17 digdogits, then how many digdogits come from 12 slippitdoodah Kyx, pt, sub su: d = k sqrt( s ) then put in point (17 into d and 5 into s) solve for k and sub back in sub in to finish
The digdogit is inversely proportional to the cube root of slippitdoodah. If 5 slippitdoodahs produce 17 digdogits, then how many digdogits come from 12 slippitdoodah Kyx, pt, sub su: d = k / s^1/3 then put in point (17 into d and 5 into s) solve for k and sub back in sub in to finish
This is asking about end behavoir: Degrees: 3/1 so end behavior y goes to negative infinity .
This is asking about end behavoir: that is, the HA = -2
This is asking about end behavoir: that is HA = 0 (the x axes)
Write down a function that has an x intercept x = 1 and x = 0, a vertical asymptote x =2 and horizontal asymptote y = 10.
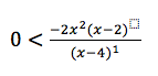
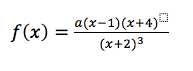
Write down a function that has an x intercept x = 1, x = - 4 , a vertical asymptote x = - 2 and horizontal asymptote y = 0. Note, the cube (or more) in the denominator!
DON'T DO:Describe how you can find the equation of an exponential function from it’s graph
DON'T DO:Describe how you can find the equation of an exponential function from a table.
DON'T DO:Describe how you find the inverse of a function from a) a table b) a graph c) an equation a) switch x and ys b) reflect over the line y = x (NOT the axes!) c) switch x and y and solve for y. You should change f(x) to y!
DON'T DO:how can you determine if a function has an inverse from: a) it’s graph b) the table c) a function a) it passes the horizontal line test b) no y’s are repeated. c) if degree is even then not. Otherwise, graph and see
how to solve an equation graphically? Graph "both sides" of the equation. find the x coordinate of point of intersection
Show full summary Hide full summary

Similar

Pythagorean Theorem Quiz
Selam H
Geometry Vocabulary
patticlj
Algebra 2 Quality Core
Niat Habtemariam
GRE Study Precalc
Marissa Miller
Radicals
Clayton Gregory
Factors
Clayton Gregory
Factoring
Terra Hedgecock
Factors and Factorization
Terra Hedgecock
Factors Cards
Ronald De La Cruz
Factors and Divisors
Anahi Espinoza