TIPOS DE MEDICION

Description

aparatos de medicion comun
romero-511
Mind Map by romero-511, updated more than 1 year ago
romero-511
Created by romero-511 about 11 years ago
68
0

Resource summary

TIPOS DE MEDICION
  1. Tipos de medida
    1. Indirectas
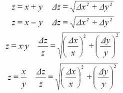
      1. Por medio de formulas algebraicas
      2. directas
        1. Con aparatos de medicion
        2. Instrumentos de Medicion comunes
          1. Balanza
            1. Mide la masa de un objeto
            2. Reloj
              1. mide un tiempo transcurrido
              2. Termometro
                1. Sirve para medir la temperatura
                2. Calibrador
                  1. El cual mide las dimensiones pequeñas, en cm y pulgadas medidas de longitud
              3. determina la magnitud de un objeto a cantidad
                Show full summary Hide full summary

                Similar

                Evaluación Sistema Internacional de Unidades
                Freddy Sanjuan Salcedo
                Evaluación micrómetro
                Freddy Sanjuan Salcedo
                fichas de estudio sobre medición
                Diego ParamoCano
                Medidores Eléctricos y Electrónicos
                Mauricio Zr
                MEDICIÓN DE RESISTENCIAS
                Alejandra30
                Mediciones eléctricas
                Yovani FR
                estimaciones de los errores cometidos en las mediciones
                juliana monje
                REVISIÓN BIBLIOGRÁFICA
                Cristian A. Herrera
                Analisis de resultados de mediciones
                juliana monje
                instrumentos de medicion electronica
                Juan Antonio Gar4834
                Instrumentos de medición dimensional
                Irving Espadas