Potencial Electrico

Description

teoría electromagnética (potencial electrico) Mind Map on Potencial Electrico, created by parquevalencia on 10/08/2013.
parquevalencia
Mind Map by parquevalencia, updated more than 1 year ago
parquevalencia
Created by parquevalencia over 12 years ago
84
1

Resource summary

Potencial Electrico
  1. El trabajo es la energia necesaria, para mover un cuerpo de un punto a otro.
    1. En física, un campo de fuerzas es conservativo si el TRABAJO realizado para desplazar una partícula entre dos puntos es independiente de la trayectoria. El nombre conservativo se debe A QUE DEBE CUMPLIR la ley de conservación de la energía.
      1. una fuerza "no" CONSERVATIVA, es un fuerza proporcion a la distancia. Ejemplo: la friccion
    2. se está usando (e0), esta es la permitividad en el vacío. Para calcular la interacción en otro medio es necesario cambiar la permitividad de dicho medio. ( e = er . e0)
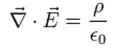
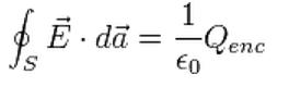
      1. un campo se describe completamente: MEDIANTE SU DIVERGENCIA Y SU ROTACIONAL
        1. ( PARA EL CAMPO ELECTRICO) LA DIVERGENCIA: ley de Gauss y ROTACIONAL: ley de Faraday
        Show full summary Hide full summary

        Similar

        Potencial Electrico
        Victor Rodriguez
        ELECTRICIDAD
        jhonerazofrv
        Propiedades de las cargas eléctricas
        jegurrola
        Potencial Eléctrico
        Erika Andrango
        Coordenadas cilindricas
        parquevalencia
        Frederick Taylor
        Miguel Calle
        Sistemas Curvilineos Ortogonales - creado desde un Mapa Mental
        Miguel Calle
        Sin título
        parquevalencia
        Física 3° Parcial
        Ari Mont
        ejercicios
        parquevalencia