Metodología PERT-CPM

Description

metodo pert mapa mental tarea
hugo divala
Mind Map by hugo divala, updated more than 1 year ago More Less
Fernando HM
Created by Fernando HM about 10 years ago
Daniela Sanchez 9670
Copied by Daniela Sanchez 9670 about 10 years ago
hugo divala
Copied by hugo divala over 6 years ago
5
0

Resource summary

Metodología PERT-CPM
  1. PERT
    1. Sipone una Distribución
      1. Considera tiempos
        1. Más probable
          1. Pesimista
            1. Optimista
          2. Pasos
            1. Calcular los tiempos
              1. Ruta critica
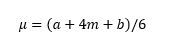
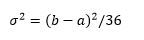
                1. Obtener la Media y Varianza
                  1. Formulas
                    1. Media
                      1. Varianza
                  2. Aplicaciones
                    1. Incertidumbre en las duraciones
                      1. Proyectos de investigacion
                        1. Desarrollo de proyectos de expansión
                        2. Program Evaluation and Review Technique
                          1. Herramientas que lo manejan
                            1. Microsoft Project
                              1. WinQSB
                                1. Excel
                                2. c
                                  1. Ventajas
                                    1. Proyectos grandes
                                      1. Camino crítico claro
                                        1. Calculo de probabilidades
                                          1. Distribucion normal
                                            1. Distribucion Normal Estandar
                                          2. Desventajas
                                            1. Graficos complejos
                                              1. Inexactitud en la prediccion
                                            2. Red con Actividades en los Nodos
                                              1. Representan eventos para puntos en el tiempo
                                                1. Inicio y Fin de actividades
                                                  1. Actividades ficticias
                                                  2. Red con Actividades en los Arcos
                                                    1. Representan actividades y su relacion de precedencia
                                                      1. Diferentes tipos de dependencia
                                                        1. Facil de comprender
                                                      2. CPM
                                                        1. Planear y controlar proyectos añadiendo costos
                                                          1. Etapas
                                                            1. 1. Definición del proyecto con partes principales
                                                              1. 2. Relacion entre actividades, cual debe seguir despues
                                                                1. 3. Diagrama conectando las actividades
                                                                  1. 4. Definir costos y tiempo de actividad
                                                                    1. 5. Identificación de la trayectoria mas larga
                                                                      1. 6. Planear, Supervisar y Controlar el proyecto
                                                                      2. Deterministico
                                                                        1. Compensación de tiempo y costos
                                                                          1. Determinación de holguras
                                                                            1. Crítical Path Method

                                                                            Media attachments

                                                                            Show full summary Hide full summary

                                                                            Similar

                                                                            1_Metodología PERT-CPM
                                                                            patty_arreguin95
                                                                            Metodología PERT-CPM
                                                                            alan leon
                                                                            1_Metodología PERT-CPM
                                                                            Jordana Noemi Lopez Pons
                                                                            Metodología PERT-CPM
                                                                            patty_arreguin95
                                                                            Metodología PERT-CPM
                                                                            Jordana Noemi Lopez Pons
                                                                            mapa mental diagramas PERT/CPM
                                                                            kristian oyarzabal
                                                                            Metodología Camino Critico de Proyetos
                                                                            marlen mtz
                                                                            Camino critico de proyectos
                                                                            marlen mtz
                                                                            CUESTIONARIO PERT/CPM
                                                                            Eduardo Castro
                                                                            Gestión hospitalaria. Macrogestión, mesogestión y microgestión
                                                                            Paty Valdez
                                                                            A walk to Mexico
                                                                            krizta diaz