Metodología PERT-CPM

Description

metodo pert mapa mental tarea
patty_arreguin95
Mind Map by patty_arreguin95, updated more than 1 year ago More Less
Fernando HM
Created by Fernando HM almost 10 years ago
patty_arreguin95
Copied by patty_arreguin95 almost 10 years ago
10
0

Resource summary

Metodología PERT-CPM
  1. PERT
    1. Sipone una Distribución
      1. Considera tiempos
        1. Más probable
          1. Pesimista
            1. Optimista
          2. Pasos
            1. Calcular los tiempos
              1. Ruta critica
                1. Obtener la Media y Varianza
                  1. Formulas
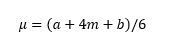
                    1. Media
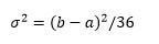
                      1. Varianza
                  2. Aplicaciones
                    1. Incertidumbre en las duraciones
                      1. Proyectos de investigacion
                        1. Desarrollo de proyectos de expansión
                        2. Program Evaluation and Review Technique
                          1. Herramientas que lo manejan
                            1. Microsoft Project
                              1. WinQSB
                                1. Excel
                                2. Ventajas y Desventajas
                                  1. Ventajas
                                    1. Proyectos grandes
                                      1. Camino crítico claro
                                        1. Calculo de probabilidades
                                          1. Distribucion normal
                                            1. Distribucion Normal Estandar
                                          2. Desventajas
                                            1. Graficos complejos
                                              1. Inexactitud en la prediccion
                                          3. CPM
                                            1. Características
                                                1. Relación secuencian de actividades
                                                  1. Combinación de actividades
                                                Show full summary Hide full summary

                                                Similar

                                                1_Metodología PERT-CPM
                                                patty_arreguin95
                                                Metodología PERT-CPM
                                                alan leon
                                                Metodología PERT-CPM
                                                Daniela Sanchez 9670
                                                1_Metodología PERT-CPM
                                                Jordana Noemi Lopez Pons
                                                Metodología PERT-CPM
                                                Jordana Noemi Lopez Pons
                                                mapa mental diagramas PERT/CPM
                                                kristian oyarzabal
                                                Metodología Camino Critico de Proyetos
                                                marlen mtz
                                                Metodología PERT-CPM
                                                hugo divala
                                                Camino critico de proyectos
                                                marlen mtz
                                                CUESTIONARIO PERT/CPM
                                                Eduardo Castro
                                                Gestión hospitalaria. Macrogestión, mesogestión y microgestión
                                                Paty Valdez