null
US
Sign In
Sign Up for Free
Sign Up
We have detected that Javascript is not enabled in your browser. The dynamic nature of our site means that Javascript must be enabled to function properly. Please read our
terms and conditions
for more information.
Next up
Copy and Edit
You need to log in to complete this action!
Register for Free
3289282
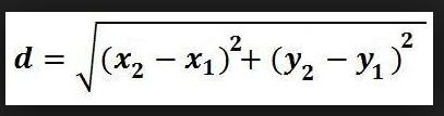
Distancia entre dos puntos
Description
MAPA MENTAL DE LA DISTANCIA ENTRE DOS PUNTOS
No tags specified
oswaldo camacho flores
cecytem chimalhuacan
geometría analítica
Mind Map by
OSWALDO CAMACHO F.
, updated more than 1 year ago
More
Less
Created by
Leidy Alexandra Romero Malavera
about 10 years ago
Copied by
OSWALDO CAMACHO F.
about 10 years ago
25
1
0
Resource summary
Distancia entre dos puntos
Triángulo rectángulo
Tiene una ángulo de 90°
Desarrolló el Teorema de Pitágoras.
Pitágoras
Plano Cartesiano
Es un plano generado por dos ejes perpendiculares.
Media attachments
4fe14df9-f756-42c4-b1d4-20dbdf7d482f.JPG (image/JPG)
20017d0b-3eae-4fc4-96a1-cfdec21e278c (image/png)
d7d44d19-8698-42e5-8311-82bbe04ea968 (image/jpg)
9d6f624e-1532-4ed6-b1c7-6ed06106e405.gif (image/gif)
7810f367-15d2-4748-aa80-3943f12b3fb3 (image/png)
fed0f809-076f-42e9-aacd-5786532cb6bb (image/jpg)
Show full summary
Hide full summary
Want to create your own
Mind Maps
for
free
with GoConqr?
Learn more
.
Similar
Problemario 3
OSWALDO CAMACHO F.
ELEMENTOS Y ECUACION DE LA PARABOLA
camachocecytem
LA ELIPSE
camachocecytem
INTRODUCCIÓN A LA ECONOMÍA
Gamboa Salaza
ALGEBRA,TRIGONOMETRIA Y GEOMETRIA ANALITICA
andreitadulcey77
EVALUACION DIAGNOSTICA DIGITAL PARA GEOMETRÍA ANALÍTICA
OSWALDO CAMACHO F.
Ecuaciones de segundo grado
tama_futbol
cónicas
camachocecytem
CICLOS ECONOMICOS- OSWALDO CAMACHO
Gamboa Salaza
Problemario 1 Álgebra
OSWALDO CAMACHO F.
ECUACIONES LINEALES
Juan Sebastian Tobar Segura
Browse Library