null
US
Sign In
Sign Up for Free
Sign Up
We have detected that Javascript is not enabled in your browser. The dynamic nature of our site means that Javascript must be enabled to function properly. Please read our
terms and conditions
for more information.
Next up
Copy and Edit
You need to log in to complete this action!
Register for Free
3516323
conservación de energia
Description
conservacion de energia
No tags specified
oscar
bustos
conservacion de energia
Mind Map by
oscar javier bustos rodriguez
, updated more than 1 year ago
More
Less
Created by
oscar javier bustos rodriguez
about 10 years ago
36
0
0
Resource summary
conservación de energia
sucecíones con fricción cinética
cambio de la energía interna debido a la fricción
sistema aislado
la energía no cruza la frontera del sistema
cambios en energía mecánica para fuerzas no consertivas
si una fuerza de fricción actúa dentro de un sistema aislado la ecuación es
si la fuerza de fricción actúa dentro de un sistema no aislado la ecuación seria
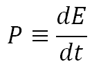
potencia
se define como la proporción de transferencia de energia en el tiempo
el sistema no aislado
es uno en que la energía cruza la frontera del sistema
métodos para transferir energía: * trabajo *ondas mecánicas *calor *transferencia de materia *transmisión eléctrica *radiación electromagnetica
Media attachments
943ef6e0-e097-4567-8442-a14c3f31c5a5 (image/png)
8347ca9e-8f95-48d3-97a6-63044baba47c (image/png)
4852cd82-85b8-47e1-9828-b112f5fe752c (image/png)
5b71d3c2-4b65-4bc2-919a-629fc4c6e3f1 (image/png)
a25f617d-efd1-4d09-96fb-b6c1b03f2bf0 (image/png)
627e37c7-a42f-49c8-8b18-5362842d2921 (image/png)
fc57a730-d079-49e5-97be-fea00f741b67 (image/png)
4d6238fa-54b0-406b-9167-85278cda2827 (image/png)
Show full summary
Hide full summary
Want to create your own
Mind Maps
for
free
with GoConqr?
Learn more
.
Similar
mecánica de fluidos
oscar javier bustos rodriguez
cantidad de movimiento lineal y coliciones
oscar javier bustos rodriguez
CLASIFICACIÓN DEL INSTRUMENTAL QUIRÚRGICO CARDIOVASCULAR.
leidykate93
PROCESO CONTABLE
Ricardo Bustos
MODELO ESPIRAL
maximo Nieto vasquez
Plan Unico De Cuentas (PUC)
Ricardo Bustos
Aritmetica 1 expo - r3-rad
Oscar Vega
mecánica de fluidos
Ariel Sanchez
economía política
lizbeth andres benjume
La educación para el Desarrollo en Uniminuto
oscar ramirez
Sistemas Operativos
Ana Camila Luna
Browse Library