null
US
Sign In
Sign Up for Free
Sign Up
We have detected that Javascript is not enabled in your browser. The dynamic nature of our site means that Javascript must be enabled to function properly. Please read our
terms and conditions
for more information.
Next up
Copy and Edit
You need to log in to complete this action!
Register for Free
3518463
cantidad de movimiento lineal y coliciones
Description
cantidad de movimiento lineal y coliciones
No tags specified
oscar
bustos
cantidad de movimiento lineal y coliciones
Mind Map by
oscar javier bustos rodriguez
, updated more than 1 year ago
More
Less
Created by
oscar javier bustos rodriguez
about 10 years ago
54
0
0
Resource summary
cantidad de movimiento lineal y coliciones
cantidad de movimiento lineal y su conservacion
se define como el producto de masa "m" y la velocidad "v" de la particula
siempre ques o mas interactuan dos o mas particulas, la cantidad de movimiento permanece constante
impulso y cantidad de movimiento
impulso de una fuerza
teorema impulso cantidad de movimiento
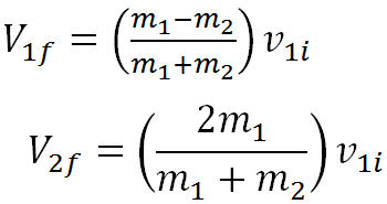
colisiones en una dimension
inelasticas
elásticas partícula 2 en reposo
colisiones en dos dimensiones
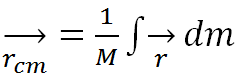
centro de masa
se halla mediante la ecuación
movimiento de un sistema de particulas
se mueve bajo la influencia de la fuerza neta del sistema
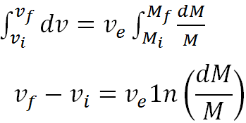
propulcion de cohetes
su ecuacion
Media attachments
a5a80054-4820-40ae-a0a0-922320ef1641 (image/png)
719fe76c-7d7b-4718-932b-1eb75662bfb1 (image/png)
d97916b5-fd1b-4f6d-adcf-75674727e838 (image/png)
548141ee-5b41-4e8b-aafc-2edaf1eb4a85 (image/png)
c0709325-245a-40e3-be13-36f093704876 (image/png)
f9e1d0b8-0e73-4a89-aa03-7b73f413f01e (image/png)
d81e9c21-0177-4191-8368-941a97e4acd0 (image/png)
4f361bc3-5d04-46ce-ad42-2c01e946132f (image/png)
719b69da-376a-4926-862c-316c9471355f (image/png)
1433e3fd-7e08-4b02-821c-5664474f5d17 (image/png)
6570c5e2-c6c0-48d2-9a18-32ef70d5d291 (image/png)
Show full summary
Hide full summary
Want to create your own
Mind Maps
for
free
with GoConqr?
Learn more
.
Similar
mecánica de fluidos
oscar javier bustos rodriguez
conservación de energia
oscar javier bustos rodriguez
CLASIFICACIÓN DEL INSTRUMENTAL QUIRÚRGICO CARDIOVASCULAR.
leidykate93
PROCESO CONTABLE
Ricardo Bustos
MODELO ESPIRAL
maximo Nieto vasquez
Plan Unico De Cuentas (PUC)
Ricardo Bustos
Aritmetica 1 expo - r3-rad
Oscar Vega
mecánica de fluidos
Ariel Sanchez
economía política
lizbeth andres benjume
La educación para el Desarrollo en Uniminuto
oscar ramirez
Sistemas Operativos
Ana Camila Luna
Browse Library