SERIES UNIFORMES O ANULIDADES

Description

SERIES UNIFORMES
lcifuente13
Mind Map by lcifuente13, updated more than 1 year ago
lcifuente13
Created by lcifuente13 almost 10 years ago
28
0

Resource summary

SERIES UNIFORMES O ANULIDADES
  1. Conjunto de pagos iguales y periodicos, pueden ser mansuales, bimensuales, semestrales o anuales
    1. ANUALIDAD VENCIDA
      1. Son ejemplos de esta los salarios, los creditos de vehiculos, los creditos comerciales
        1. Serie uniforme cuyo pago tiene lugar al final de cada periodo
          1. VALOR FUTURO DE UNA ANUALIDAD VENCIDA
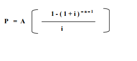
            1. VALOR PRESENTE DE UN ANUALIDAD VENCIDA
            2. ANUALIDADES ANTICIPADAS
              1. Serie uniforme cuyo pago tiene lugar al inicio de ccada periodo
                1. Son ejemplo de estas, los arriendos, los seguros entre otros.
                  1. VALOR FUTURO DE UNA ANUALIDAD ANTICIPADA
                    1. VALOR PRESENTE DE UNA ANUALIDAD ANTICIPADA
                    2. CLASES
                      1. Anualidad Vencida
                        1. Anualidad Anticipada
                          1. Anualidad Diferida
                            1. Anualidad Perpetua
                            2. ANUALIDAD DIFERIDA
                              1. Es aquella en la que el primer pago se realiza despues de trascurrido cierto numero de periodos
                              2. ANUALIDADES PERPETUAS
                                1. Son aquellas que tienen infinito numero de pagos
                                Show full summary Hide full summary

                                Similar

                                SERIES UNIFORMES
                                OLGA RODRIGUEZ
                                SERIES UNIFORMES O ANUALIDADES..
                                ualvarezbot7690
                                SERIES UNIFORMES O ANUALIDADES
                                niya1551
                                Pagos con tarjetas de crédito
                                Diego Santos
                                Valor del dinero en el tiempo
                                Alejandra Ruiz8337
                                ANUALIDADES
                                Milena Liberato
                                Tipos de anualidades....
                                Miriam Romo
                                Balanza de pagos
                                diani.db
                                Actividad de clase para 12 septiembre 2016
                                MANUEL ORTIZ GOMEZ
                                DIAPOSITIVAS SERIES CALCULO todo el trabajo
                                inoe pozo
                                Classwork 09 septiembre 2016
                                MANUEL ORTIZ GOMEZ